![]()
vizuelna metoda
|
ULTRAZVOČNA
KONTROLA
|
![]() |
PREPROST ODBOJNI MODEL |
Ultrazvočno valovanje se odbija po valovnem zakonu
Pri drugi metodi merimo zvok po izstopu iz materiala. Aparatura je v tem primeru sestavljena iz odbojnika in sprejemnika.

Sistem oddajnik-sprejemnik z večimi glavami
Pri pregledu zvarov največkrat uporabljamo
impulzno-odbojni postopek, ki združuje oddajnik in sprejemnik, redkeje pa sistem z dvema
glavama, pri katerih je ena oddajnik, druga pa sprejemnik. Za prvi način impulz traja
okrog 2 m s in ga oddajnik ponovi 50 krat na sekundo. Ultrazvok se odbije od napake ali od
nasprotne strani preizkušanca. Strojni del lahko kontroliramo samo z ene strani in
določimo mesto in tudi globino razpoke.
Normalne ultrazvočne glave proizvajajo longitudinalne valove.
![]() |
Uporaba normalne (pravokotne) ultrazvočne glave |
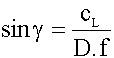
Zvočni oddajnik premera D in frekvence f pošilja v preizkušance s hitrostjo


Pri preskušanju z ultrazvokom je bistveno obnašanje zvoka na meji dveh snovi. Pri prehodu trdna snov-zrak je skoraj 100% odboj.
Čimbolj pravokotno zadene ultrazvočni snop oviro, ki je lahko napaka ali skrajni rob preizkušanca, tem več zvočne energije se odbije in nato zajame z normalno sondo pri impulznem načinu vzbujanja ultrazvoka, prav tako pa vpliva tudi material preizkušanca. Ultrazvočno valovanje se širi v preizkušancu pod kotom divergence g . Ko zadenejo ultrazvočni valovi površino preizkušanca, se delno odbijejo pod kotom
Odboj longitudinalnega vala in nastanek transverzalnega
Vpadni kot:
=90° -g
Odbojni kot:
=
'

Odboj UZ valov in pretvorba longitudinalnega vala v transverzalni val
Tretja metoda je za merjenje tanjših materialov, tako da spreminjamo frekvenco zvoka vse dotlej, dokler ne dosežemo lastne frekvence materiala (resonance).
Danes se uporablja računalniško podprta tehnologija preskušanja z ultrazvokom.
Primer računalniško povezanega sistema za ultrazvočno kontrolo materialov
Za umerjanje in kontrolo UZ glav uporabljamo posebno merilno napravo, ki nam da izpis karakteristik UZ glav.

Merilna naprava za merjenje karakteristik UZ glav

Izris karakteristike UZ glave
V praksi se velikokrat kontrolira pravilnost materiala gredi ali osi, kjer dobimo odboje od robov in od eventuelne razpoke.

Oblika gredi za železniško lokomotivo

Dejanski signali pri kontroli gredi

Železniška gred pripravljena za pregled z normalnimi in kotnimi UZ glavami
Za merjenje debeline cevi, pločevin, tanjših delov se uporabljajo merilci debelin.
|
Enostaven aparat za merjenje debelin |