Gimnazije Šentvid, NEKATERA POGLAVJA IN POJMI IZ ASTRONOMIJE.
NEKATERA POGLAVJA IN POJMI IZ ASTRONOMIJE
Vsebina te strani se v okviru časa in ustreznega gradiva dopolnjuje.
-
NALOGE_astronomija_povezave
-
- SEMINAR 11. maj 2001, v sodelovanju s FMF
-
Astrofotografija iz roke za 100 eur
- VRTLJIVA ZVEZDNA KARTA, osnove opazovalne astronomije
-
GEOMETRIJA NA SFERI, KOORDINATNI SISTEMI, PRETVORBE MED SISTEMI,
PARALAKSA, REFRAKCIJA, ABERACIJA, PRECESIJA, KOLEDAR ...
STRAN NAD KATERO BOSTE NAVDUŠENI ŠTUDENTJE, UČITELJI IN AMATERJI, SKRATKA VSI, KI
VAS ZANIMA RESEN GEOMETRIJSKI OPIS IN RAZLAGA VESOLJA.
- Nekateri svetlejši megličasti nebesni
objekti primerni za opazovanje iz vseh okolij (tudi iz svetlih mest).
- OPTIKA: nastanek slike, optične naprave ...
- OKULARJI
- TELESKOPI

- osnovni tipi teleskopov (princip), povečava, okularna projekcija,
koma, sferna aberacija, barvna napaka, ...

Testiranje enega izmed teleskopov, ki so jih šole prejele v MLA2009
(Airyjev disk, Strehlovo razmerje, ločljivost,
kontrast, primerjava teleskopov),
opazovanje in slikanje Saturna s spletno kamero, 7. in 8. april 2010
(Spika, mesec junij -6, leto 2010, strani 276 - 279)
-
»Žepni« teleskopi za otroke in odrasle – II. del,
- koliko poznamo ponudbo in uporabnost daljnogledov, tudi z vidika pomoči slabovidnim
( strani 230 - 234, Spika 5, 2012 )
-
Primerjava treh daljnogledov
- OPREMA ASTRONOMSKE SKUPINE
- ASTROFOTOGRAFIJA, HTML JAVA maske za izračun časov,
če poznamo zaslonko in občutljivost filma ...
.
- Kratke informacije o planetih.
- Merjenje razdalj v vesolju (osnove, seminar: maj 2001)
- Nastanek plimovanja, vpliv plime na daljšanje
dolžine dneva.
-
Arheoastronomija, Vučedolski Orion
-
Prehodi Merkurja in Venere čez Sonce, ocene trajanja in ponovitev

Ali se upočasnjuje vrtenje Zemlje okrog lastne osi
in ali se Luna oddaljuje od Zemlje?
(Spika, marec 2000)
-

Popolni Sončev mrk, 21. avg. 2017, ZDA
(slike, razlage, ocene temperatur, časa ko bo mrk iz Zemlje
še viden ...)
-
Ladijski kronometer,
povej mi koliko je ura in povem ti, kje si.
- Preberi članek Vega in mase planetov (Janez S.).
-
nekatere_dvojne_zvezde.html
, opazovanje dvojnih zvezd
Akrecija, dvojni sistem, potencial,
Lagrangeve točke, izvor rentgenskega sevanja.
-
*Zeemanov efekt na belih pritlikavkah
(merjenje močnih magnetnih polj).
- Članek o gibanju kometov, elementi tira.
-
Antika in mrki, kako sta Aristarh in Hiparh
določila razmerja med Zemljo in Luno.
-
Mrki skozi zgodovino
- Kitajci,
Egipčani,
Babilonci,
Grki,
Maji,
KLASIČNI MRKI V ZGODOVINI,
Biblija,
Arhiloh,
Lidijci in Medejci (Tales),
Križanje,
Prerok Mohamed,
Odkritje helija,
Kolumb in mrk, ...
- KRATKA ZGODOVINA ASTRONOMIJE
-
Dilema o Betlehemski zvezdi
- KOLIKO TEHTAMO NA NEKATERIH PLANETIH IN LUNI?
- ASTRONOMSKI MRAK, VZHOD IN ZAHOD SONCA ...
- Izračun gostote svetlobnega (energijskega) toka iz magnitude
in obrnjen račun.
- Kefeide, zvezde, ki utripajo, so hkrati
standardni "svetilniki", ki nam pomagajo meriti razdalje v vesolju.
-
Edwin Hubble določi razdaljo do Andromedine meglice
- s pomočjo kefeid (zahvaljujoč delu Harvardske astronomke Henriette Leavitt)
-
Koliko časa mine med ponovnim srečanjem dveh planetov? - kratka nalogica
- Valovanje, Sonce, uklon, ločljivost, preprosto snemanje spektrov ...
- Nekateri podatki o planetih, razdalje, masa ...
- Obdelava CCD-posnetkov, osnovni pojmi
iz življenja zvezd, HR-diagram ...
- Helijev blišč - življenje Sonca.
-
Človeške napake, zmote, nedoslednosti, napuh in zamere v astronomiji
-

Koestler o Galileju in Keplerju -
zelo človeško (Mesečniki, Lunatiki)|
- Življenje v vesolju
- N = R* x f_p x n_e x f_l x f_i x f_c x L (enačba Dr. Frank Draka).
Zemlja in voda - izjemno poučna primerjava
Jožef Stefan - temperature zvezd in planetov
- Oglej si tudi nekaj
površne teorije o povratnih dobah, verjetnosti, itn.
-
Temperatura tal - enačba letnega hoda na različnih globinah (JS kalkulator)
-
Komet C/2002 C1 Ikeya-Zhang in elementi tira (Spika, junij 2002)
- KRATKA ZGODOVINA ASTRONOMIJE (- delno tudi naravoslovja nasploh)
- Isaac Newton in njegovo delo
-
KRATKA ZGODOVINA ASTRONOMIJE (- delno tudi
zgodovina naravoslovja nasploh)
- Ena izmed verzij kozmologije
- kozmologi se veliko motijo, a nikoli ne dvomijo v svoje teorije
-
Modeli vesolja – Kuzanski, Kepler, Newton, Einstein, Friedmann, de Sitter, ...
- toliko žensk (čeprav samo dve) ni omenjenih in predstavljenih s portretoma,
v nobenem pregledu zgodovine kozmologije, kot v tem,
- tudi nas Jožef Stefan je vključen, z zakonom o sevanju črnega telesa je
bistveno vplival na razvoj kozmologije, astronomije nasploh ...
-
Relativnost in vesolje, nekaj primerov
...
_
-.-
-
Precesija pri dvojnem sistemu teles - relativnost, animacija:
*problem_dveh_teles_zv.html
-
Sistem dveh teles, klasični pristop - animacija:
*Programming a two-body problem simulator in JavaScript
-

Zakaj astronomija
- in zakaj tudi v šoli? (XIII)
-

Eksplozije supernov tipa la
naj NE bi bile vse enake po začetni energiji
- Supernove - Spika - marec 2013, Janez S.
- Vizualna določitev mejne magnitude
- IMO trokotniki (IMO je kratica za International Meteor Organization)
-
A) Pot sence zaradi
navideznega gibanja Sonca - moderni koledar iz 1582
B) Alternativna izpeljava -
Pot sence zaradi
navideznega gibanja Sonca (zasuk koordinatnega sistema)

Cas na Blejskem otoku
-

"Tractatus de Sphaera" -
astronomski učbenik za 400 let,
koščki zgodovine in kaj vse hranijo slovenski samostani
( strani 463 - 467, Spika 11, 2010 )
( strani 510 - 513, Spika 12, 2010 )
*
Tractatus de Sphaera - an astronomy textbook for 400 years
/ Fragments from the history of celestial mechanics
( angleška verzija / text in english )
-
Generalni_polozaj_sonca_izracun.txt
iz:
http://www.srrb.noaa.gov/highlights/sunrise/program.txt
http://www.srrb.noaa.gov/highlights/sunrise/calcdetails.html
http://www.srrb.noaa.gov/highlights/sunrise/solareqns.PDF
solarna konstanta:
j0 = 1367 * (1 + 0.03344 * cos(gama - 0.048869))
izračun ekstraterestričnega sevanja:
jE = cos(zenitni_kot_sonca) * j0
-

Svetloba predstavlja prstne odtise sveta - osnove, animacije, itn
- ASTRO_SLO_LITERATURA

Zvezdno nebo v mitih (M. Prosen)
-

Opoldanska senca
Raziskovanje dolžine opoldanske sence, ki jo od Sonca osvetljena
ravna palica meče v meridianski ravnini
Marijan Prosen - Majo (2017)
-
Imena nekaterih zvezd po ozvezdjih (imena_zvezd1.doc), sestavil
ljubiteljski astronom Davorin Bešvir iz Ormoža, leto 2004
- Grška abeceda, pride prav pri branju zvezdnih kart
(Doc fajl).
- Slovar astronomskih pojmov
- Slovar astronomskih pojmov (vzorčni primeri:
A, ---- B).
- Nekateri ostali astronomski slovarji.
- Mednarodne (SI) merske enote.
- Stare merske enote (pariška linija, klaftra, čevelj, poalec - cola ...) in nekatere pretvorbe.
-

Hubble, predstavitev izjemnega teleskopa - ppt
-

Optimalna oblika zleba - Uni. L., parcialni odvodi in ekstremi - ponovitev,
- Didonin problem maks. površine pri danem obsegu lika.
.
-
Nebesna mehanika skozi zgodovinski pregled (serija člankov):
Velika konjunkcija Saturna in Jupitra 21. dec. 2020
-

Oglej si animacijo zahoda Sonca
Ena izmed verzij kozmologije

Galilei skicira Sonce vsak dan, od 2. do 26. junija 1612.
Danes smo njegove skice animirali, res prepričljiv dokaz,
da se Sonce premika, vrti. Iz:
http://www.thursdaysclassroom.com/index_03feb00.html
http://www.law.umkc.edu/faculty/projects/ftrials/galileo/galileo.html


Kje je orbita Zemlje - poglavje 24 v "The New Astronomy" - Kepler J. (1609).
Prispodoba ukrivljenosti prostor-časa zaradi mase izražene
s prvim členom (T00 = ρ*c2)
napetostnega tenzorja iz Einsteinovih enačb polja.
V zapisu zraven 8πG/c4 pa sta
naravni konstanti, prirejeni k enačbam polja tako,
da upoštevajo relativnost časa v ukrivljenem prostor-času in pri
majhnih masah ter hitrostih
pripeljejo do klasičnega gravitacijskega zakona (F = GMm/r2).
V bistvu so Einsteinove enačbe polja v nekem smislu posplošitev znane
enačbe E = mc2 na pojav, ki ga večinoma poznamo pod pojmom gravitacija
(na ukrivljenost prostor-časa), kjer se tudi upošteva, da je čas odvisen od hitrosti
sistema in ukrivljenosti prostora.

Slika prikazuje preprost eksperiment inducirane napetosti,
pri premikanju s hitrostjo (v) dela žice v sklenjeni električni
zanki pravokotno na magnetne silnice (B). Premikajoča žica dolžine
d v magnetnem polju povzroči, da se v žici začnejo premikati električni
delci - pojavi se električni tok I, ki ga poganja napetost v žici (U = Ed).
Inducirana napetost pa je tudi enaka (negativni) spremembi magnetnega pretoka
(Φ = BS), deljeni s časom spremembe (inducirana napetost zmeraj nasprotuje
spremembi magnetnega pretoka, recimo sila na induciran tok, zavira gibanje
žice, to je Faradayev zakon indukcije:
U = -BΔS/Δt = -BΔS/Δt = -BΔxd/Δt = -vBd).
Razmerje med električnim poljem E in magnetnim poljem B je kar hitrost potovanja
žice: E/B = v (absolutna vrednost). Eletrično in magnetno polje sta pravokotni,
hitrost pa je pravokotna na ravnino obeh.. To je »preprost« eksperiment,
ki pa je dodobra spremenil ta svet. V teoriji nas je pripeljal do posodobljene
mehanike.
V življenju pa danes večino tehnologij temelji na inducirani napetosti,
električni energiji. Najprej smo preko žabjih krakov prišli do baterije
in ta je omogočila stabilen vir napetosti in s tem eksperimentiranje.
Omenimo še za večino neznanega Williama Sturgeona, ki je leta 1824 kot
samouk (veliko je bral) izumil elektromagnet. Njegov prvi elektromagnet
je bila stara železna podkev (pa naj kdo reče, da podkev ne prinese sreče),
ki jo je ovil s približno 18 ovoji bakrene žice (izolirane žice takrat še
ni bilo). Železo je polakiral, da ga je izoliral od navitja žiče. Ko je z
baterijo pognal tok skozi tuljavo, je železo postalo namagneteno; to je bil
korak v električne generatorje, elektromotorje, transformatorje, v električni
nihajni krog kondenzatorja in tuljave – oddajnike in sprejemnike, v svet
izjemnih novih tehnologij, računalnikov, gospodinjskih pripomočkov ...,
ki so danes temelj moderne družbe – moderne znanstvene metode, tudi astronomije.
Ali nas ta preprost eksperiment z indukcijo pripelje tudi do hitrosti svetlobe?
Tuljava in kondenzator (levo) in iskrni brezžični
telegraf z uporabo električnega nihajnega kroga na
kondenzator in tuljavo podaljšano v oddajno anteno (desno).
Nekaj podobnega je počel tudi Marconijev telegraf na
Titaniku in na drugih ladjah - to je bil res velik napredek v komunikaciji.
Izkazalo se je, s podobnimi napravami in meritvami,
da je hitrost elektromagnetnega valovanja (svetlobe) v
vakuumu kar:
c = 1/(ε0μ0)1/2 =
1/(8,854187817*10-12As/Vm*4*π*10-7Vs/Am)1/2
c =
(m/s)109/(8,854187817*0,4*π )1/2 = 299792458 m/s
To je maksimalna hitrost potovanja energije - in bistveno določa naravo, energijo
vesolja in s tem čas.

Origami - prepogibanje papirja in matematika -
povzel Zorko V.
*****
Grška abeceda, simboli, ... za html4 (pomoč pri pisanju html kode - glej in uporabi
kolono "Entity" - deluje v FF in IE) - koda & lambda ; & asymp ;
ℋ*** Praktično vsi simboli - tudi integral po zaključeni poti ...
https://www.w3schools.com/charsets/ref_html_entities_h.asp
ℋn & HilbertSpace ; ali ∳ & awconint ; ℏ & planck ; ...
M☉ = M <sub> & #9737 ;</sub> ali ∭ & iiint ;
± ali & plusmn ;
∝ ali & prop ; ≈ ali & asymp ; ℏ ali & planck ;
...
ref_emoji_smileys.asp
🙁 = & #128577 ;
🙂 = & #128578 ;
ref_utf_technical.asp
⌠ = & #8992 ; Top half integral in še ऐ = & #2320 ;
Grška abeceda in nekateri ostali znaki (pomoč pri pisanju html kode).
Ukazi za nekatere simbole, potence, indekse (iz http://www.barzilai.org/math_sym.htm)
* * * POVEZAVE NA RAZLIČNE SPLETNE VSEBINE (!!!)
.
Od septembra 1999 je stran obiskalo
ljudi.
Za astronomski krožek: ZORKO Vičar
Komentarji so zaželjeni.
E-POŠTA, RFC-822: Zorko.Vicar@guest.arnes.si
Nazaj na domačo stran.
Cikel prispevkov na temo:
"Nazaj pod zvezdno nebo"
Pomen in vloga astronomije, neba, za človeštvo
Orionova pot – ali so v Sloveniji ostanki neolitskih »observatorijev«
(ali jih samo v Sloveniji ne sme biti – previdnost ni odveč,
to velja za vse kraje sveta)
Nekaj vprašanj na temo astronomije.
Skozi grede - bivanje in svet, slika sveta, ... -
avtor Marjan Divjak, ki sledi izreku:
"Verba volant, scripta manent." ("Besede odletijo, napisano pa ostane").
Einsteinova najsrečnejša misel v življenju.
A. Einstein je skozi okno svoje pisarne na Patentnem uradu v Bernu
opazoval krovca na sosednji strehi (leto 1906).
Pomislil je, kaj bi se zgodilo, če bi možak padel v globino.
"Če človek prosto pada, ne čuti teže. Postal sem razburjen.
Ta preprosta misel je name naredila globok vtis. Približala me je
teoriji gravitacije." Kasneje je Einstein svoj miselni poskus
s krovcem označil kot najsrečnejšo misel svojega življenja.
Nič težnosti, nič gibanja. Tudi moderni "krovec", astronavt,
prosto pada in zato zanj ni težnosti, poleg tega pa lahko povsem
utemeljeno trdi, da miruje. Drugi opazovalci lahko vidijo dogajanje
drugače, toda to na astronavtova opažanja in meritve ne
vpliva.
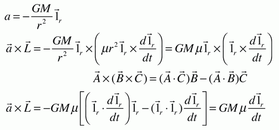
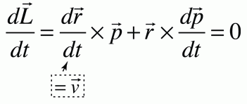
Laplace-Runge-Lenz vektor D - ohranja smer.
Svetilnost, svetlobni tok, svetlost, osvetljenost.
http://rsagencies.co.za/lumens-for-the-laymen/
Johann_Dietrich_Worner_16feb2017_ljubljana_38.jpg
Protoplanetarni disk okoli mlade zvezde podobne Soncu - model.
Mlada zvezda osvetli diskovno atmosfero (akrecijski disk), kar vodi do žareče strukture in
močnih gradientov - razlik v temperaturah, gostotah, tlaku.
Prašna zrna velikosti okrog µm so pomešana s plinom, kar ima
za posledico neprozornost samega diska. Prašna zrnca okrog mm premera se gravitacijsko premaknejo
proti srednji ravnini diska, kjer lahko še naprej rastejo in se spuščajo proti notranjim
območjem diska - tudi proti centralni zvezdi.
S kemijskega vidika lahko disk razdelimo na tri plasti: (1) hladna srednja
plošča v kateri molekule zamrznejo v prašne ledene delce (tukaj, na razdalji
več kot 2 AE od centralne zvezde, nastanejo
planeti, ki jih imenujemo plinski velikani, recimo Saturn, Jupiter ...), (2) toplejši vmesni
sloj, kjer se tvorijo molekule in ostanejo v plinski fazi, in (3) topla direktno
obsevana atmosfera
sestavljena iz različnih atomov. Vir: https://www.europhysicsnews.org/articles/epn/pdf/2020/01/epn2020-51-1.pdf
Protoplanetarni diski so neke vrste kozmične drevesnice,
kjer mikroskopska prašna zrna prerastejo v kamenčke, planetesimale in tudi planete.
Planeti, ki nastanejo od meje zmrzali proti centralni zvezdi, s časom postanejo
kamniti planeti (recimo Zemlja), saj jim centralna zvezda večino lažjih atomov odpihne.
Protoplanetarni disk HL Tauri - izjemen posnetek ESO sistema
radijskih teleskopov "Atacama Large Millimeter Array" (ALMA).
V disku se vidijo sledi nastajajočih planetov.
Sonce, Zemlja: fotosinteza, kisik, glukoza, celično dihanje, oksidacija
glukoze, ATP - energija celic ...
Ocena atomov po velikosti (periodni sistem) delno določa njihove lastnosti.
Fluor je najbolj elektronegativen (na drugi orbitali ima le
en elektron manj od popolne zasedenosti in je zato zelo majhen)
in zato tudi najraje reagira z atomi,
ki imajo zadnjo orbitalo le delno polno (en ali dva elektrona),
recimo iz prve ali druge skupine. Ker je fluora malo in je že ves vezan, je
drugi atom po elektronegativnsoti (rad veže zunanje elektrone
ostalih elementov) kisik. Ker je kisika veliko (v zrak ga sproščajo
cianobakterije in rastline preko fotosinteze), in ker se pri oksidaciji
sprosti veliko energije (premestitev elektronov), je to najpomembnejši
elemet, ki je omogočil razvoj velikih vretenčarjev na Zemlji,
tudi človeka - aerobno dihanje.
Oksidanti so lahko tudi nekateri ostali atomi - anaerobno dihanje - a je
sproščene energije celo 20x manj, kot pri dihanju kisika.
Zato je razvoj velikih živali omogočil šele kisik iz ozračja ...
V rdečem okvirčku je tudi vodik, skupaj s kisikom se veže v vodo
H2O. To sta torej atoma življenja - seveda so pomembni
tudi ostali atomi (C, N, P, Ca, Fe ...).
SLIKA: Kako pa je z definicijo velikosti atomov? V kemiji, fiziki ni čisto dobro
definirana velikost atomov. Obstaja teoretična velikost elektronskega oblaka atoma in
seveda tudi različne meritve, metode (in pričakovano smo teoretični model velikosti
atomov »našraufali« do te mere, da meritve in izračuni še kar sovpadajo). Recimo – da
je polmer polovica minimalne razdalje med jedroma dveh atomov istega elementa, ki
nista vezana v isti molekuli, potem je tukaj razdalja med atomskimi jedri v
molekuli – recimo za kovalentno vez, ionsko vez ... Zato so tudi podatki o
velikosti atomov precej različni, odvisno od metode. Graf prikazuje izmerjen
(preko kovalentnih vezi v molekulah), izračunan in Van der Waalsov polmer
atomov. Van der Waalsov polmer se določi z merjenji medatomskega prostora
med pari vezanih atomov v kristalih.
Pred 2,4 milijarde let
Ata, kako bomo
živeli na tem planetu,
to je vendar ledena
krogla?
Danes
Ata, super si
izbral ta modri
planet, tukaj
bomo živeli.
Pred 2,4 milijardami let
pa si se zmotil!
Najbrž trenutno zdaleč najstarejši odkriti astronomski observatorij – star
vsaj 12000 let - Göbekli Tepe (v jugovzhodni Anatoliji, danes
jv Turčija - izkopavala je nemška arheološka skupina pod vodstvom
Klausa Schmidta od leta 1996 do njegove smrti leta 2014). Na stebrih
prepoznamo ozvezdja Laboda, Škorpijona, lahko tudi Orla (Labod je
takrat bilo cirkumpolarno ozvezdje). To svetišče, observatorij, po
starosti do 6000 let presega čas piramid, Stonehanga ... Kamen s
podobo Laboda z odprtino, ki kaže proti severu – ve pa se, da je
pred 18000 leti bil Deneb blizu osi vrtenja Zemlje (takratna »severnica«).
Severne usmeritve zgodnjih neolitskih kultnih zgradb so pogoste v Anatoliji.
To je izjemen dokaz, da so ljudje iskali orientacijo (in koledar - čas)
na nebu že skoraj pred 20000 leti. Deneb bo spet skoraj »severnica« čez
približno 8000 let (okrog leta 10000). Precesija Zemlje ima periodo približno
25771,5 let (Zemljina rotacijska os opiše plašč stožca, zato se del neba,
ki leži v smeri osi spreminja – trenutno je blizu Severnica – spreminjata
pa se tako tudi točka pomladišča in jesenišča). Ob tem se ne moremo več
čuditi, kako to, da je precesijo enakonočij poznal že Grk Hiparh (ogromno
znanja so nam torej zapustila že ljudstva zgodnjega neolitika, po novem
celo mezolitika – srednje kamene dobe, seveda v navezavi s paleolitikom,
ki se konča pred približno 12000 leti, konec ledene dobe – dokaz je zagotovo
astronomski observatorij Göbekli Tepe - Trebušasti hrib na Jutrovem
ali tam nekje).
Štiri osnovne sile narave.
Kozmični delci, žarki.
Slika prikazuje Bohrov model vodikovega atoma, ki je geometrijsko sicer napačen,
a diskretnost energijskih nivojev (barvni spekter vodika) je pravilno
razložil in izpeljal korektno enačbo energijskih stanj elektrona
vodika (eden večjih uspehov človeštva). Rdeča spektralna črta
je znamenita H-alfa črta (valovne dolžine 656,28 nm - prehod
elektrona iz tretjega na drugi energijski nivo),
v kateri opazujemo podrobnosti sonca (izbruhe, protuberance ...)
s teleskopi z H-alfa filtri.
Razvojne faze lahkih in masivnejših zvezd so precej različne.
Masivnejše zvezde tudi veliko prej (manj kot v 5 milijardah let)
pridejo do končne faze - supernove (nevtronske zvezde ali črne
luknje) - zato masivnejše zvezde niso primerne za planetne sisteme
primerne za razvoj visoko razvitega življenja. Dolgožive zvezde
(10 milijard let in več) podobne Soncu pa so tozadevno veliko
obetavnejše, kar se tiče naseljivih kamnitih planetov. Masivnejše
zvezde pa so z nukleosintezo težjih elementov in izmetom le teh med
eksplozijami (med eksplozijami nastajajo tudi težji elementi od železa),
omogočile nastanek zvezd prve generacije, recimo kot je Sonce, bogatih
s težkimi elementi, kar omogoča nastanek kamnitih planetov.
Klasifikacija spremenljivih zvezd!
Vir: https://chandra.harvard.edu/graphics/edu/earth_scientist_stars.pdf
Nastanek emisijskega in absorpcijskega spektra – emisijski spekter se lahko posname preko planetarne meglice M57 (tudi za različne pline v šolskem laboratoriju). Absorpcijske črte pa lahko učenci zelo enostavno opazujejo pri Soncu – dovolj je že ozka reža in uklonska mrežica, ter zatemnjena soba.
Barve planetarne Obročaste meglice (M57 v Liri) proti zvezdam ali kako enostavno določiti kemijsko sestavo meglice. To izjemno poučno in hkrati enostavno vajo lahko naredi vsak učitelj s pomočjo učencev in z uporabo uklonske mrežice, teleskopa in navadnega fotoaparata. Razklonjena Obročasta meglica je na sliki vidna le nekajkrat, saj oddaja svetlobo zgolj v nekaj barvah (kor recimo vzbujen plin v laboratoriju – take vaje so se včasih delale v naravoslovnih oddelkih). Dve najizrazitejši barvi meglice sta rdeča (zaradi vodika) in modra (zaradi kisika). Ti se na levi strani od središča slike pojavita kot skoraj prekrivajoči se sliki v rdeči in modri barvi. Slika desno od sredine pa prikazuje meglico v kombinaciji barv, kot jo vidimo običajno. Spektri zvezd pa so skoraj zvezni (opazijo se absorpcijske črte), saj oddajajo večino svoje svetlobe v barvah po vsem vidnem spektru (sevajo kot črno telo). Te barve torej ustvarjajo skoraj neprekinjeno črto, zato se zvezde pojavijo v spremstvu večbarvnih črt. Razklon (disperzija) svetlobe objekta v barve je znanstveno zelo koristna metoda, ki lahko razkrije kemijsko sestavo objekta, njegovo hitrost in oddaljenost. To vajo pa lahko naredi tudi vsak učenec.
Čudovito planetarno meglico M57 lahko z učenci tudi opazujemo v Liri, s teleskopi premera 150 mm ali več, od pozne pomladi pa do zime. Na sredi meglice je bela pritlikavka – tak konec čaka tudi naše Sonce.
Vir slike: apod.
Čudovito planetarno meglico M57 lahko z učenci tudi opazujemo v Liri, s teleskopi premera 150 mm ali več, od pozne pomladi pa do zime. Na sredi meglice je bela pritlikavka (ki se v amaterskih teleskopih ne zazna) – tak konec čaka tudi naše Sonce. Spodaj je shema najpreprostejšega spektrografa na uklonsko mrežico (t. i. »slitless spectrograph«), ki zmore didaktično tako izjemne slike, kot je recimo ta iz strani APOD.
Shema in izračun "slitless spectrographa", pred leti izdelanega na Šentvidu. Naredi ga lahko vsakdo, ki ima možnost namestiti digitalni fotoaparat na teleskop, pred detektor svetlobe (recimo nekaj cm) pa namestimo uklonsko mrežico (mi smo uporabili 100 rež na mm – ima jo vsaka šola v fizikalnem kabinetu) – in to je vse kar rabimo. Mi smo pred leti uporabili CCD kamero. Seveda se prej poučimo o gostoti svetlobnih elementov foto čipa, malo poračunamo, testiramo in v pol ure izjemno učinkovit in praktično zastonj spektrograf že deluje. Z njim lahko posnamemo spektre zvezd (emisijske spektre nekaterih meglic). Kot bomo videli spodaj, lahko potrdimo tudi Planckov in Wienove zakon. Zagotovo si šole ne morejo privoščiti dragih astronomskih spektrografov - "slitless spectrograph" pa za pedagoške namene čisto zadostuje.

S preprostim spektrografom zgolj na uklonsko mrežico (t. i. »slitless spectrograph«) potrjena Planckova porazdelitev sevanja
(dj/dλ = (2πhc2/λ5)(ehc/(λkT)-1)-1)
pri različnih temperaturah (tipih zvezd)
in hkrati potrditev Wienovega zakona:
λ*T=2897Kµm.
Seveda je v spektrih zvezd zaznati izrazite absorbcijske črte, a zamik spektrov proti desni, glede na padajočo površinsko temperaturo zvezd, je očiten. Posneto s CCD kamera ST7 med raziskovalim delom leta 2002. Vesolje se tukaj izkaže kot idealen laboratorij za take vaje, če bi namreč na šoli v laboratoriju hoteli doseči temperature 50 000 K, najbrž takih meritev ne bi bilo. S pomočjo zvezd pa tak graf posnamemo relativno hitro in enostavno.
Astronomija in orientacije zgradb. Slika prikazuje sončni kompas
Vikingov – v resnici metodo, kako so naši predniki določali smeri neba.
Ta metoda je bila osnova za gradnjo hiš, templjev, observatorijev v
smeri vzhod – zahod, sever – jug. Pot vrha sence navpične palice
(gnomona) se označi s kamenčki, s kredo ali kako drugače. Krivulja
vrha sence je pri nas hiperbola; senca vrha palice pa je v splošnem,
glede na geografsko širino, če pade na ravno površino, stožčasti presek -
hiperbola, elipsa ali na severnem, oz. južnem polu krog. Kako pa določimo
smeri neba iz poti (krivulje) sence? Iz središča, ki ga določa palica,
z vrvico narišemo krog, ki 2x preseka pot sence. Smer obeh presečišč,
kroga in poti sence, je smer vzhod – zahod. Pravokotnica na premico
EW pa določa smer sever – jug. Vemo, da so mnoge največje in najstarejše
zgradbe (piramide, katedrale, observatoriji ...) usmerjene v smeri vzhod –
zahod pod stopinjo natančno (res občudovanja vredno).
Emisijski spektri različnih atomov:
vodik H - 1 elektron
helij He - 2 elektrona
ogljik C - 6 elektronov
dušik N - 7 elektronov
kisik O - 8 elektronov
neon Ne -10 elektronov
argon Ar - 18 elektronov
železo Fe - 26 elektronov
kripton Kr - 36 elektronov
ksenon Xe - 54 elektronov
živo srebro Hg - 80 elektronov
VIR: http://www.astronomy.ohio-state.edu/~pogge/Ast350/Labs/Lamps/index.html
TheGreatFamine_of_the1870s_had_devastating_effects_in_India.jpg
Od leta 1875 do 1878 so sočasne večletne suše v Aziji, Braziliji in Afriki, imenovane Velika suša, povzročile ekstremno skromne pridelke, pomanjkanje hrane, kar je povzročilo tako imenovano globalno lakoto, ki je imela za posledico do 50 milijonov smrtnih žrtev in dolgotrajne družbene posledice.
Primer kaže, da je naš planet, že pred brutalnimi posegi človeka v okolje
bil globalno podnebno zelo ranljiv - a po letu ali dveh poruštve vremenskih ciklov,
se utečeni vzorci po nekaj letih spet vrnejo v "utečene" vzorce
(oceanski tokovi se stabilizirajo). To kažejo tudi vzorci poselitev -
kjer ni padavin ni civilizacij.
A na skali nekaj 1000 let se vremenski vzorci lahko radikalno spremenijo -
poznamo primere recimo iz severne Afrike, Grenlandije, Južne Amerike. Velik del vplivov pripisujemo nebesni mehaniki, izsevu Sonca in zmeraj bolj življenju - človeku (obdobje antropocena, holocen naj bi se že končal).
Oceanski površinski tokovi (so posledica vetrov, Coriolisove sile, temperaturnih razlik ...)
– so poleg Sonca, glavni generatorji vremenskih dogajanj na Zemlji (zaradi vpliva vetra segajo
200 m globoko, zaradi Coriolisove sile tudi do globine 1000 m in več – obstajajo
pa tudi globinski termohalinski tokovi do globine 3 km - hladna, težja voda potone
in se večinoma premika proti tropom). Če se površinski tokovi zgolj rahlo spremenijo,
lahko, zaradi suše v prej deževnih pokrajinah, trpi do 4 milijarde ljudi.
Posledice
nihanj oceanskih cirkulacij so bile včasih pogubne za desetine milijonov ljudi
(recimo
od leta 1876 do 1878 je umrlo do 50 milijonov ljudi - zgodba se lahko seveda še ponovi).
Voda nam lahko vse da, a tudi vse vzame ...
Osnove optike - konveksna in konkavna leča, nastanek slik!
Leče so optične naprave, ki izkoriščajo lom svetlobe. Pri vpadu svetlobe
iz zraka na steklo ali katero drugo snov, kjer je hitrost širjenja svetlobe
manjša od hitrosti v zraku (ali brezzračnem prostoru) se žarek lomi proti
vpadnici - pravokotnici na mejno ploskev zrak - snov.
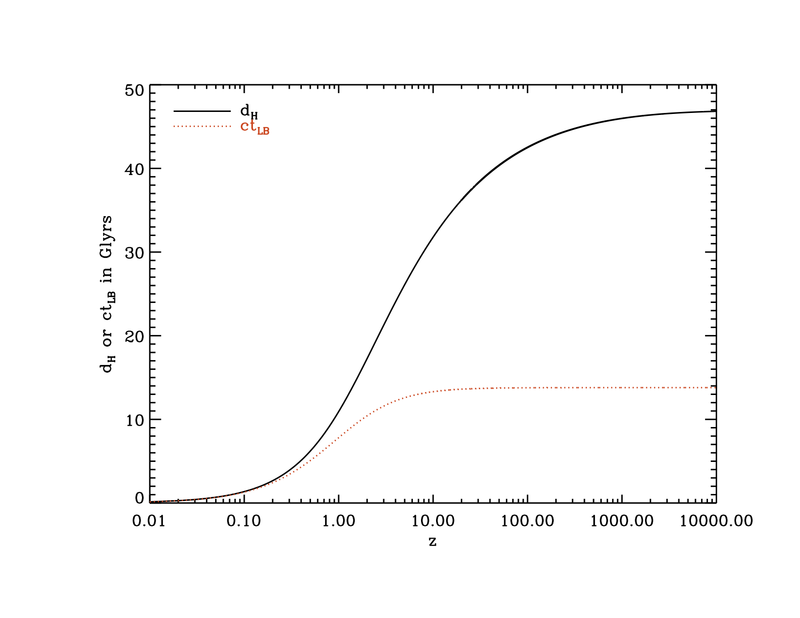
Graf razdalje (v giga – ali milijardah - svetlobnih letih) v primerjavi z rdečim premikom
po modelu Lambda-CDM. dH (v črni barvi – približno velja izpeljava
dH = Ro(t/to)2/3,
kjer Ro in to veljata za starost vesolja 380 000 let) je razdalja premikanja vidnega vesolja
od Zemlje do lokacije s
Hubblovim rdečim premikom z, medtem ko je ctLB (LB pomeni »lookback«, graf v pikčasto
rdeči barvi) hitrost svetlobe, pomnožena s časom pogleda nazaj (lookback) na Hubblov
rdeči premik z. Razdalja je podoba vesolja med zdaj in oddaljeno lokacijo,
ki trenutno limitira velikost opazljivega vesolja na približno 47 milijard
svetlobnih letih (od tam še dobivamo informacije o mladem vesolju, a nikakor
ne današnjega stanja snovi na tej razdalji). Čas nazaj (lookback) pa je razdalja,
ki jo je prešel foton od trenutka, ko je bil oddan, deljena s svetlobno hitrostjo,
pri čemer največja razdalja 13,8 milijard svetlobnih let ustreza starosti vesolja.
Zgolj ocene za ta dva grafa
(ctLB = ct in dH = Ro(t/to)2/3) dobimo,
če za čas vstavimo približno enačbo v odvisnosti od rdečega premika
(velja le za z>1):
t = (2/(3HΩo1/2))(1 - 1/(1 + z) 3/2)
Pojasnilo
ΛCDM (lambda in hladna temna snov) ali Lambda-CDM model,
je parametrizacija kozmološkega modela velikega poka, v katerem vesolje vsebuje tri
glavne komponente: prvič, kozmološko konstanto, označeno z lambda (grško Λ), povezano
s temno energijo, ki pospešeno širi vesolje; drugič, domnevna hladna temna snov
(skrajšano CDM); in tretjič, navadna snov iz masnih delcev. Pogosto ga imenujemo
standardni kozmološki model velikega poka. Je najpreprostejši model, ki razmeroma
dobro pojasnjuje trenutne razmere v vesolju in preteklo dogajanje, ki ga zaznamo
preko meritev oddaljenih galaksij, zvezd, supernov, preko valovnih dolžin oddane
svetlobe in Dopplerjevega pojava. Mi smo ta model opisali s srednješolko matematiko
in se v veliki meri približali jedru razlage preko interpretacije meritev
(Doppler in širjenje vesolja, fenomen nastanka osnovnih delcev in atomov,
zvezd planetov, galaksij in preko temperature vesolja, ki se odraža v
mikrovalovnem sevanju ozadja - s pomočjo gravitacije smo še ocenili
časovno odvisnost razdalje trenutno še vidnega vesolja – od koder seveda
dobivamo zgolj še signale iz preteklosti - 13,8 milijard let starega
vesolja, sama enačba vidnega horizonta pa nam je pomagala še pri
časovni odvisnosti temperature vesolja). Temna snov (nismo je veliko
omenjali), je odgovorna za tvorbo galaksij in jo zaznamo preko tretjega
Keplerjevega zakona (v = (GM/r)1/2) – ko hitrost z razdaljo od centra
galaksij večinoma ne pada (kot bi pričakovali po gostoti vidne snovi),
ampak dolgo ostaja skoraj konstantna, zaradi prisotnosti temne snovi.
Ko je vesolje bilo staro 380000 let (vrednosti se nekoliko razlikujejo, recimo 379000 let, itn),
so se pojavili prvi atomi (rekombinacija) in mikrovalovno sevanja ozadja je začelo tedaj
skoraj neovirano pot skozi prostor in čas. Vidno vesolje je bilo takrat veliko približno
42 milijonov svetlobnih let. Rezultat za R še vidnega vesolja
bomo ocenili iz enačbe za širjenje vidnega horizonta -
velja
R = Ro(t/to)2/3 = 4.2*107 sv. let(13.8*109/380000)2/3
= 46058835150 sv. let = 46 109
sv. let. V tem razmerju ( R/Ro = 1100 ) se je tudi povečala valovna dolžina mikrovalovnega sevanja
ozadja (temperatura je v tem času padla od T1 = 3000 K na sedanjo T2 = 2,72548 K,
saj velja Wienov zakon T = b/λ, od koder sledi
z + 1 = λ1/λ2 = T1/T2 = 3000 K/2,72548 K =
1100 – rdeči premik, trenutna točnejša vrednost je z = 1089. Če se vzame gostota
na enoto valovne dolžine (Planckov zakon), bo danes (T2 = 2,72548 K) po
Wienovem zakonu vrh pri valovni dolžini λ2 = 1,062 mm, kar odgovarja
frekvenci 282,2 GHz. Pri starosti vesolja 380 000 let in temperaturi
3000 K pa je bil vrh Planckovega sevanja pri valovni dolžini
λ1 = λ2/(z +1) = 1,062 mm/(1089 + 1) = 0,000974312 mm =
974,3 nm ≈ 970 nm (bližnja infrardeča svetloba) – v spektru je bilo
takrat še tudi veliko vidne svetlobe. Ta temperatura je precej blizu
temperature žarilne nitke volframove žarnice
(če bi se takrat rodili - 380 000 let po velikem poku – bi se rodili v okolje svetlobe
volframove žarnice – »'Fiat Lux!' Bodi svetloba!« drugič, prvič pa velja ta
resnica ob velikem poku).
Približno
velja d ≈ R (glejte graf) za mlado vesolje.
Razdalje v vesolju ocenjujemo z znano povezavo d = zc/H, recimo
za rdeči premik telesa z = v/c okrog 0,003,
za 1/H privzamemo kar starost vesolja 1/H = 13.8 109 let, je razdalja
do objekta d = zc/H = 0.003*3*108 m/s*13.8 109 let = 42 106
sv. let. Enačba d =
zc/H velja zgolj za v/c < 0,1, splošna enačba pa je
d = v/H = (c/H)*((z+1)2-1)/((z+1)2+1).
Spekter prasevanja izmerjen z inštrumentom FIRAS na satelitu
COBE je najbolj točno izmerjen spekter absolutno črnega telesa v naravi.
Podatkovne točke in napake v grafu zakriva teoretična krivulja po Planckovem zakonu.
Spekter za črno telo pri temperaturi T2 = 2,72548 K. Vrh spektra je
v mikrovalovnem delu s frekvenco 160,4 GHz, kar odgovarja valovni dolžini
1,870 mm. Če pa upoštevamo gostoto na enoto valovne dolžine, bo po Wienovem
zakonu vrh pri valovni dolžini 1,062 mm, kar odgovarja frekvenci
282,2 GHz.
Pri starosti vesolja 380 000 let in temperaturi
3000 K pa je bil vrh Planckovega sevanja pri valovni dolžini
λ1 = λ2/(z +1) = 1,062 mm/(1089 + 1) = 0,000974312 mm =
974,3 nm ≈ 970 nm (bližnja infrardeča svetloba) – v spektru je bilo
takrat še tudi veliko vidne svetlobe. Ta temperatura je precej blizu
temperature žarilne nitke volframove žarnice.
Meritve prasevanja z različnimi inštrumenti (slika levo): Holmdelska rogasta antena
(1965), COBE (1992) in WMAP (2003). Primerjava rezultatov prasevanja na 10 ° delu
neba (slika desno) s satelitov COBE, WMAP in Planck, 21. marec 2013. Odkrita so bila
tudi zelo majhna nihanja (odstopanja od povprečja – zato vzorci v sevanju ozadja)
temperature (1/100 000), ki kažejo na začetke današnje strukture vesolja.
Tako majhna nihanja so tudi dokaz kozmološkega načela - ki pravi, da je
vesolje enako v vseh smereh. Ta nihanja so znana kot "valovanje na robu
vesolja". Temperaturna nihanja se razlaga kot razlike v gostoti snovi v
tistem obdobju, kar je delno vzrok današnji strukturi vesolja. Danes vemo,
da so te fluktuacije najbrž premajhne in za tvorbo galaksij je imela najbrž
odločilno vlogo temna snov.
Vizualizacija celotnega vidnega vesolja.
Merilo je takšno, da drobna zrna predstavljajo zbirke
velikega števila galaktičnih superjat. Superjata Device -
dom Rimske ceste - je označen na sredini, vendar je premajhen,
da bi ga lahko videli. Polmer vidnega vesolja je 46,6 milijard
svetlobnih let (torej premer okrog 93 109 sv. l. ali 28 milijard parsekov).
Rob je torej vidna preteklost iz časov začetka vesolja, približno
13,8 milijard let nazaj. A v tem času se je vesolje napihnilo
z rdečim premikom z + 1 = λdanes/λoddana
= 1,062 mm/0,000974312 mm =
Tnekoč/Tdanes =
R/Ro = 46,6 109 sv. l./ 42 106 sv. l. ≈ 1100.

NOČNA MORA
Mature, ki sledi normalnemu obisku šole, nimam samo za nepotrebno, ampak
celo za škodljivo. Za nepotrebno jo imam, ker brez dvoma lahko učitelji
kake šole ocenijo zrelost mladega človeka, ki je več let obiskoval šolo.
Vtis, ki so ga učitelji med časom šolanja dobili o učencu, in zagotovo
veliko število pisnih izdelkov, ki jih je moral izdelati vsak učenec,
dajo skupaj dovolj obširno podlago za oceno učenca, boljšo, kot jo lahko
da še tako skrbno izveden izpit.
Za škodljivo imam maturo iz dveh razlogov. Strah pred izpitom in velik
obseg snovi, ki jo je treba zajeti s spominom, v znatni meri škodujeta
zdravju številnih mladih ljudi. To dejstvo preveč dobro poznamo, da bi ga
bilo treba na dolgo utemeljevati. Vseeno pa bi rad omenil znano zadevo,
da številne Ijudi v zelo različnih poklicih, ki so v življenju uspeli in
za katere ne moremo reči, da imajo šibke živce, do pozne starosti v sanjah
muči strah pred maturo.
Matura je škodljiva še zato, ker zniža raven poučevanja v zadnjih šolskih
letih. Stvarno zaposlitev s posameznimi predmeti prerado nadomesti nekakšno
bolj ali manj zunanje urjenje učencev za izpit, poglobitev pa nadomesti
nekakšen bolj ali manj zunanji dril, ki naj razredu pred izpraševalci
podeli določen sijaj. Zato proc z zrelostnim izpitom!
A. Einstein
Zapis je bil objavljen v časopisu Berliner Tageblatt 25. decembra 1917.
Zgornji zapis (prevod) je bil zavrnjen (okrog leta 2002) v neki strokovni
slovenski reviji, čeprav ga je za objavo predlagal zelo eminenten
naravoslovec (prof. dr. Janez Strnad - prof Janez se je poslovil leta 2015).
Če se strinjamo z zapisanim ali ne,
neobjava Einsteinovega razmišljanja
veliko pove o (ne)svobodi in kritičnosti duha naše dežele.
Globalna cirkulacija
zraka in vreme na Zemlji.
Coriolisova sila je sistemska sila - na rotirajoči plošči se
recimo pot kotleče žoge ukrivi.
Poti ciklonov na planetu Zemlja
Avtorstvo slike:
National Hurricane Center,
NOAA,
NASA;
obdelava:
Nilfanion (via Wikipedia)
Pojasnilo:
Kje na Zemlji potujejo cikloni?
Znani kot orkani, ko so v Atlantskem oceanu in tajfuni v Tihem oceanu,
karta prikazuje poti vseh večjih neviht od
1985 do konca 2005.
Zemljevid grafično prikazuje, da se
cikloni
običajno pojavljajo nad vodo, kar je smiselno, saj jim izhlapevanje tople vode
daje energijo.
Karta tudi kaže, da
cikloni nikoli ne prečkajo in se le redko približajo
Zemljinemu ekvatorju, saj se tam
Coriolisova sila zmanjša na ničlo, cikloni pa za gibanje Coriolisovo silo potrebujejo.
Coriolisova sila tudi povzroči, da gredo
ciklonske poti proč od ekvatorja.
Čeprav dolgoročni trendi ostajajo
predmet raziskav, dokazi kažejo, da so
orkani v zadnjih 30 letih v severnem Atlantiku v povprečju
postali močnejši,
njihova moč pa naj bi se še stopnjevala.
Vir: apod
Shema kroženja vode v naravi - Sonce je glavni vir energije za ta izjemen proces,
ki ohranja naš planet v modrini življenja.
SN rekviem: supernova, videna trikrat do zdaj
Avtorstvo slike:
NASA,
ESA,
Hubble;
podatki: S. A. Rodney (U. South Carolina)
et al.;
obdelava slik:
J. DePasquale
(STScI)
Pojasnilo:
To isto supernovo smo videli trikrat - kdaj jo bomo videli četrtič?
Ko oddaljena zvezda eksplodira kot
supernova, imamo srečo, če jo vidimo vsaj enkrat.
V primeru AT 2016jka ("SN rekviem"),
se je eksplodirajoča zvezda slučajno nahajala za središčem
jate galaksij (v tem primeru MACS J0138) in primerjava slik
vesoljskega teleskopa Hubble pokaže, da smo jo videli trikrat.
Te tri slike supernove so označene v krogih blizu spodnjega roba leve slike, posnete leta 2016.
Na desnem posnetku, narejenem leta 2019, so krogi prazni, ker so vse tri slike ene supernove zbledele.
Vendar računalniško modeliranje učinka leče jate kaže,
da bi se morala na koncu v zgornjem krogu na desni sliki pojaviti četrta slika iste
supernove.
Toda kdaj?
Najboljši modeli predvidevajo, da se bo to zgodilo leta
2037, vendar je ta datum negotov za približno dve leti zaradi nejasnosti v porazdelitvi mase
jate in zgodovine svetlosti zvezdne eksplozije.
Z izpopolnjenimi
napovedmi in pozornim spremljanjem bodo
Zemljani, živeči čez 16 let,
morda lahko ujeli to četrto sliko – in morda naenkrat izvedeli več o jatah galaksij in supernovah.
Vir: apod
Supernova rekviem (AT 2016jka - oddaljena okrog 10 milijarde sv. let), vidna 2016 v treh preslikavah
gravitacijskega
lečenja jate galaksij MACS J0138 (4 milijarde sv. let daleč) - četrtič bi naj bila vidna
okrog leta 2037 (daljša pot). Čakamo!
Entropija: S = kB ln P
Leta 1865 Rudolf Clausius vpelje entropijo kot količnik med izmenjano
toploto in temperaturo: (δS=δQ/T), ki se pri reverzibilnih (ponovljivih)
spremembah ohranja, pri ireverzibilnih (nepovratnih) spremembah pa se veča
(tako se zdi, da se v vesolju entropija veča). Ena izmed razlag entropije trdi,
da ker se s časom entropija veča, se veča tudi nered in s tem zmanjšuje zmožnost
opravljanja dela. Okrog interpretacije entropije se med znanstveniki krešejo vroče razprave,
a drugi zakon termodinamike vsekakor še ni bil preklican - zmeraj znova se izkaže za enega najpomembnejših
fizikalnih opisov dogajanja v vesolju in v vsakdanjem življenju.
Entropijo zaobjema
2. zakon termodinamike, ki govori o spremembi entropije sistema pri
dovajanju (odvajanju) toplote (razpršenosti energije in lege delcev – o zmožnosti sistemov
za opravljanje dela; entropija – nered – bi se v vesolju naj samo še večala ...).
Termodinamika je tako pripomogla tudi k razvoju razlage kemičnih procesov (Clausius, Gibbs, Nernst) -
do matematične formulacije koncepta entropije (po domače – (ne)urejenosti - zmožnosti sistema za
opravljanje dela).
Beseda entropija je vzeta iz grščine in pomeni pretvorbo. Pri reverzibilnih
spremembah (recimo adiabatno stiskanja idealnega plina – sistem svoji okolici ne odda nobene toplote
niti je od nje ne prejme, spreminjajo pa se temperatura, prostornina in tlak – kdaj so to lokalni
procesi v ozračju, a zadaj je zmeraj energija Sonca, ki poganja vodni krog) se entropija ne spremeni,
pri ireverzibilnih spremembah pa se poveča (recimo prevajanje toplote, kurjenje …). Sprememba entropije
sistema je (kot smo že omenili)
definirana kot količnik med izmenjano toploto in temperaturo, če je krožna sprememba reverzibilna
(povratna), je tudi sprememba ΔS enaka nič:
V resnici so v naravi vse spremembe v daljšem časovnem obdobju več ali maj ireverzibilne.
V statistični mehaniki je entropija sistema S določena z naravnim logaritmom število
mikroskopskih stanj, oziramo z verjetnostjo stanj P:
S = kB ln P.
Zgornjo definicijo bomo osvetlili in razložili na primeru idealnega plina.
Skica za preprosto razlago entropije kot mere za (ne)urejenost in potenciala za opravljanje
dela. Entropija se v zaprtem realnem sistemu s časom lahko samo veča – zmožnost za delo pa je
s tem manjša. Koliko časa se bo vetrnica vrtela (bo recimo sistem, predstavljen na skici, lahko
opravljal neko delo – »mlel žito« …)? Dokler se tlak v obeh delih sistema ne bo izenačil, se
bo vetrnica vrtela in (žito) moka se bo mlela. Entropija se bo tako na koncu povečala (v obeh delih
sistema bo enak tlak, enaka temperatura, torej nobenih razlik, ki bi urejeno poganjale plin
in s tem vrtele vetrnico) – sistem tako sam ne bo več sposoben opravljati dela (brez zunanjega
posega - dovedenega dela ali toplote).
Poglejmo še izvor enačbe S = kB ln p preko idealnega plina.
Po definiciji je delo W (work) pri
razpenjanju idealnega plina pri konstantni temperaturi W = -∫PdV (integriramo od volumna
V1 do V2). Po Boylovem zakonu pa velja za tlak P = nRT/V. Tako, da je delo kar
W = - nRT∫dV/V = - nRT ln(V1/V2). Toplota pa je pri izotermni spremembi enaka negativnemu
delu: Q = -W (saj po IUPAC konvenciji o spremembi notranje energije
velja ΔE = ΔU = Q + W = 0, v tem primeru se notranja energija sistema
ni spremenila, saj je temperatura ostala enaka, povečala pa se je entropija
in zato zmanjšala sposobnost sistema za opravljanje dela). Sprememba entropije
pa je definirana kot:
ΔS = ∫dQ/T = nR ln(V1/V2) = (N/NA)(NAkB) ln(V1/V2) = kB ln(V1/V2)N, kjer je n = N/NA in kB = R/NA.
Kaj pa predstavlja izraz (V1/V2)N ?
To je v resnici verjetnost (probability p), da se recimo plin iz volumna Vx skrči na volumen V:
p = (V/Vx)N
Tako pridemo do Boltzmannove definicije entropije:
ΔS = kB ln((V1/Vx)/(V2/Vx))N = kB ln(p1/p2) = kB ln(p2) - kB ln(p1).
R = NAkB = 8.3144598 J K-1 mol-1 je plinska konstanta, n = N/NA je število molov,
NA = 6.022 140 76 × 1023 mol-1 je Avogadrovo število.
Pri adiabatnem procesu se torej spremeni notranja energija, ker se spremeni temperatura
(PV/T = konst.), a se ne spremeni zmožnost sistema za opravljanje dela (entropija sistema ostane
enaka, ker ni dovajanja ali odvajanja toplote). Pri izotermni spremembi pa se ohranja notranja
energija (T = konst), a se entropija (nered) poveča. To je lep primer, zakaj je entropija
še kako relevantna količina in nam veliko pove o stanju nekega sistema.
Poglejmo izotermno spremembo idealnega plina (Boylov zakon, spreminjata se tlak in volumen,
temperatura ostaja konstantna), PV/T = konst., oziroma PV = nRT.
Sledi tabla verjetnosti, da se N molekul idealnega plina hkrati spet znajde recimo v
levi polovici prostora in se tako entropija spet postavi na začetno vrednost (za eno
molekulo je verjetnost P = 1/2, za N molekul pa velja produkt verjetnosti za vsako od
njih, ker so dogodki neodvisni):
N P = (1/2)N
1 0.5
2 0.25
3 0.125
4 0.0625
5 0.03125
10 0.00098
100 7.9×10–31
1000 9.3×10–302
6×1023 ~ 0
Kot lahko razberemo iz tabele, je verjetnost za eno molekulo sicer pričakovano 50 %,
a za več molekul hkrati je celotna verjetnost kar produkt verjetnosti za posamezno
molekulo in ta je že za 10 molekul komaj p = (1/2)10 ×100 % = 0.098 %.
V primeru, da bi pričakovali, da se ena molekula spet pojavi, recimo v četrtini prostora,
je za en delec verjetnost p = (1/4)1 ×100 % = 25 %, za dva delca v isti četrtini pa je
verjetnost p = (1/4)2×100 % = 6,25 %
- glej sliko. Splošna enačba za N molekul je torej p = (1/4)N.
Verjetnost, da se plin sestavljen iz N molekul iz volumna Vx premakne v manjši volumen V,
je torej kar splošna enačba:
P = (V/Vx)N
Če se idealni plin razširi iz volumna V1 na V2, je po Boltzmannu sprememba entropija za N molekul
kar enaka izrazu:
ΔS = kB ln P2 - kB ln P1 = kB ln (V2/Vx)N - kB ln (V1/Vx)N
= N kB ln ((V2/Vx)/(V1/Vx))
ΔS = N kB ln (V2/V1) = n R ln (V2/V1)
Torej – ko se je plin iz enega dela prostora razširil v celoten prostor, lahko čakamo dlje od starosti
vesolja in plin se nikoli ne bo v celoti sam od sebe vrnil nazaj v manjši del prostora – čeprav celo
obstaja za to neka majhna verjetnost …
To je poučen izračun in je konceptualno veljaven za večino nepovratnih (ireverzibilnih) dogodkov.
Recimo tudi, zakaj se staramo in zakaj se ne moremo pomladiti, bolje rečeno – ostati zdravi …
A narava je na nek zvit način ponudila boljšo rešitev – to so otroci, ki so
(po logiki genetike) večinoma boljši od predhodnih
generacij - glede preživetja seveda.
Saj tako so tudi nastale mnogotere izjemne življenjske oblike,
tudi človek – čeprav mnogi te resnice
nočejo sprejeti, a tudi to je del logike narave. Ni pa rešeno vprašanje – zakaj so se lahko tvorile
take oblike in združbe molekul (recimo celice …), ki zmorejo kopirati same sebe. Seveda pri danih
energijskih in okoljskih pogojih – ki so dokaj strogo določeni in zato življenje, vsaj v razviti
obliki, ni kar tako posejano po vesolju. Kaj je že zapisal Leibniz, da je naš svet najboljši možni
svet, ki je sploh lahko bil ustvarjen.
Slika kaže razširitev idealnega plina iz volumna V/4 v volumen V (iz stanja A v B).
Molekule se termično gibljejo, prožno trkajo, in ko se odstrani stena volumna V/4,
tako le te napolnijo celoten volumen V. Koren povprečnega kvadrata hitrosti (rms ali
kpkh) molekul je sorazmeren korenu kvocienta med absolutno temperaturo in maso molekul
(hitrost vkpkh = (3kT/m)1/2).
Vse smeri gibanja so enakovredne. Da bi se vse molekule spet spontano zbrale v začetnem stanju,
v začetnem volumnu V/4, je praktično nič, že pri tridesetih molekulah je ta verjetnost le
p = (1/4)30 = 8.67362 10-19.
To kaže, da je sama mehanska ponovljivost nekega začetnega stanja, brez zunanjih vplivov
(recimo, da v našem primeru od zunaj posežemo v sistem in z batom stisnemo molekule spet
v začetni volumen), v realnem svetu praktično enaka 0 (izjema je vesolje - zgolj
lokalno lahko gravitacija entropijo
spet zmanjša). Zato je samodejni prehod iz stanja
B v C prečrtan (če je število delcev veliko), se realno ne zgodi. Seveda je vsak trk,
sprememba smeri, pospešeno gibanje – zato vsak sistem električnih delcev oddaja tudi
elektromagnetno valovanje – toplotno sevanje.
Z meritvijo toplotne prevodnosti plinov je Slovenec Jožef Stefan spoznal,
da je le absolutna temperatura lahko merilo za kinetično energijo delcev ( mv2/2 = 3kT/2 ).
Bil je tudi prvi, ki je sprevidel, da brez absolutne temperature ni moč razumeti toplotnega
sevanja teles, kar je leta 1879 rezultiralo v njegov znameniti zakon o sevanju črnega telesa
(j = σ*T4).
Brez njegovega zakona o sevanju ni moderne astronomije. Svoje razumevanje kinetične teorije
atomskih delcev v povezavi s temperaturo, je prenesel tudi na svojega imenitnega učenca
L. Boltzmanna, ki je uspešno nadaljeval Stefanovo delo. Na Boltzmannovi nagrobni plošči
je vklesana njegova enačba, ki povezuje entropijo S in stopnjo neurejenosti sistema:
S = kB ln P (originalno je oznaka W - Die Wahrscheinlichkeit: S = kB ln W). Po gospe
Emmy Noether pa je ohranjanje energije posledica dejstva, da se zakoni fizike s časom
ne spreminjajo. V začetku 20. stoletja pa je relativnostna teorija povezala maso
in energijo ter energijo in čas.
------------------------------------------------
Kaj pa vesolje?
Kot smo že omenili - se v vesolju lahko lokalno entropija tudi zmanjša (globalno pa
zmeraj poveča).
In kaj je razlog za zmanjšanje entropije v posameznih delih vesolja?
Na Zemlji lahko plin, ki se je razširil v večji prostor (plinu se je tako entropija povečala),
vrnemo nazaj le (zmanjšamo entropijo),
če ga recimo z nekim batom stisnemo - primer opisan zgoraj.
A lahko kaka sila kaj podobnega stori v vesolju - recimo hladen plinski oblak, ki oddaja komaj kaj sevanja -
stisne in mu s tem zmanjša entropijo ...?
Seveda - to zmore lastna gravitacija dovolj velikega in ohlajenega plinskega oblaka (večinoma je to vodik,
okrog četrtina pa helija, pa še kakšen element bi se recimo kot posledica eksplozije
supernov lahko znašel v takem oblaku).
In če je masa plina dovolj velika, recimo podobna masi Sonca, se bo ta plin pod lastno težo stisnil v zvezdo -
ko bo v jedru oblaka temperatura narasla na milijone kelvinov in se bo tam začelo zlivanje atomskih jeder (fuzija),
ki bo tako s sproščeno energijo fuzije gravitaciji s primerno temperaturo,
tlakom preprečevala nadaljnje krčenje plina, ki se je tako
preobrazil v zvezdo (zvezda se rodi s fuzijo).
Ta reakcija zlivanja protonov, nevtronov (krajše
nukleonov) v večja atomska jedra omogoča torej, da izjemno vroče zvezde lahko
živijo stabilno tudi milijarde let. Zakaj – ker je masa združenih protonov
in nevtronov novega jedra nekoliko manjša od mase delcev pred združitvijo
(pri fuziji velja
Δm = mzač_nukleonov - matom-jedra)
in posledično se sprosti
energija, ki ohranja temperaturo in tlak na vrednosti, ki onemogoča lastni
teži zvezde, da bi se zvezda takoj skrčila sama vase. Ta sproščena energija
se izračuna iz znamenite Einsteinove enačbe, razlika mase delcev pred in
po fuziji krat hitrost svetlobe na kvadrat (E = Δmc2
). Zakaj se pri nukleosinteznem dogodku sprosti tudi elektromagnetno
valovanje, svetloba - pri fuziji gre za izjemno hitre spremembe –
recimo pospeške protonov (v resnici gre za kvantni prehod), ki se
vežejo zaradi močne sile v večja jedra in od tod tudi elektromagnetno
valovanje – vsako pospešeno gibanje električnih delcev namreč povzroča
oddajanje elektromagnetnih valov. Tako zvezda lahko sveti, dokler ji ne
zmanjka nukleonov (v sredici) za fuzijo in s tem zvezda delno izgublja
tudi na masi – ki se pretvori (v veliki meri) v oddano svetlobo vsake
aktivne zvezde. Del mase gre tako torej v elektromagnetno valovanje,
svetlobo. Torej - nič ni večnega v vesolju, le energija ostaja,
se ohranja v različnih oblikah delcev, materije, elektromagnetnega
valovanja, v gibanju
(temperaturi, saj velja povezava med absolutno temperaturo in kinetično
energijo delcev
T ∝ mv2/2
), v gravitaciji (ukrivljenosti) – v gravitacijskih valovih ...
Tako smo pred dobrimi 100 leti (1905) razrešili na videz nerešljivo uganko,
od kod zvezdam enormne količine energije, katero lahko (recimo take
kot Sonce) dokaj stabilno oddajajo v prostor tudi milijarde let,
nam omogočajo celo življenje.
Tako je gravitacija omogočila lokalno zmanjšanje entropije
plina, ki se je sedaj zbral v zvezdo in zvezda oddaja preko sevanja enormne količine
energije v prostor - del te energije so deležni tudi morebitni planeti v orbitah okrog zvezd
(recimo Zemlja). Preden se je plin pod vplivom lastne gravitacije združil
v zvezdo, ni mogel okolici (recimo nekemu x planetu) dovajati dovolj energije,
da bi se lahko tam razvilo življenje. Po tvorbi zvezde, zmanjšanju entropije plina,
pa se je to radikalno spremenilo. Ko se torej tvori zvezda, je ta
sposobna v okolico dovajati velike količine konstantne svetlobe
(sevalne energije) - ki lahko recimo na primernem planetu
(ravno prav oddaljenem in velikem) omogoča tvorbo vzorcev, to je
urejenosti iz prvotnega "kaosa" delcev. Ta proces lahko privede tudi do razvoja življenja,
tvorbe večjih molekul, ki se lahko podvajajo.
Kaj mislimo s tem prehodom
iz prvotnega kaosa v urejene vzorce gibanja?
Vsi, ki z odprtimi očmi opazujemo
naravo, vemo, kaj se recimo zgodi v tekočinah, ki jih segrevamo (morja, zrak, lonec v katerem kuhamo juho ...).
Kmalu po dovajanju toplote se tvori vzgon (topla redkejša tekočina se zaradi vzgona dviga,
s tem ohlaja in spet spušča),
kar privede do tvorbe konvekcijskih celic (kroženja tekočine),
ki so napram prvotnemu stanju dokaj urejena gibanja
snovi (recimo t. i. Benardove celice,
vrtinci in šesterokotni stabilni vzorci v olju,
ki ga v ravni posodi segrevamo). Tudi samo Sonce, njegova površina se zdi na nek način dokaj urejena
preko konvekcijskih celic (granulacija).
Zdi se, da se je tako
entropija lokalno celo nekoliko zmanjšala - pod vplivom dovedene (kvalitetne konstantne) energije,
ki sicer generalno entropijo veča, a se praktično ne poveča pri urejenih strukturah.
Te vzorce imenujemo disipativne strukture - konstantno črpanje energije v nek snovni prostor
in hkrati odvajanje energije (naš planet "črpa" energijo iz Sonca
in jo hkrati večinoma s sevanjem odvaja v vesolje), tvori določeno urejenost,
ki se lahko kar nekaj časa ohranja - recimo globalna cirkulacija zraka in oceanov, sama
urejenost celic življenja in kompleksnih živih bitij, razmnoževanje, delitev celic.
Nekaj podobnega bi naj veljalo tudi za tvorbo molekul in njihovo obnašanje pod vplivom svetlobe - rastlinske
celice,
fotosinteza (recimo
na Zemlji). Ali je to tudi dober model za opis tvorjenje aminokislin in naprej beljakovin,
dednega zapisa molekule DNK
(DNK spada med nukleinske (jedrne) kisline - ima obliko dvojne vijačnice)
in RNK ... Ne vemo, lahko samo ugibamo - a zdi se (trenutno) dokaj logično ...
Tako smo prišli preko gravitacije (ki na račun krčenja plina zmanjša entropijo lokalni materiji v vesolju,
ki se sicer segreje, a bilančno se v zvedi entropija vseeno zelo zmanjša) in fuzije, ki dodatno sprosti
konstantno jedrsko energijo
v okolico zvezde, prišli do mehanizma - kako lahko tako sproščena toplota (sevanje),
tudi v smeri x planeta (morebiti x lune),
omogoča potrebne in nujne pogoje za razvoj življenja, ponovljivih mehanskih in biokemičnih
vzorcev ...
Izračun zmanjšanja entropije za idealni plin pod vplivom gravitacije je izveden
v naslednjem poglavju. Tam se lepo razbere, da je zmanjšanje entropije zaradi krčenja plina
absolutno veliko večje od povečanja entropije zaradi povišane temperature
(za idealni plin velja namreč povezava PV/T = konst.).
Na tem mestu pa moramo povedati (poudariti), da se pa seveda skupna entropija zvezde in njene
širše okolice poveča
(2. zakon termodinamike torej velja). Entropija (plina) zvezde se res zmanjša, a se še
za več poveča entropija okolice (recimo preko sevanja v okolico, kjer je ostanek lupine prvotnega
plina iz katerega je nastala zvezda - le ta lupina se dodatno razprši in ohladi).
A ravno ti otočki lokalnega zmanjšanja entropije zaradi gravitacije in fuzije
v zvezdah naredijo vesolje zelo pestro, polno "lučk". V našem primeru je ta entropični ples pripeljal tudi
do nastanka Sonca, Zemlje in življenja - nas samih ...
Ali znamo kaj konkretneje povedati, izračunati o entropičnem toku Sonca in entropiji vesolja?
Tukaj bo najprej analizirana proizvodnja entropije
povezana s pretvorbo termonuklearne in mehanske energije v toplotno energijo
med ireverzibilnimi procesi, ki potekajo znotraj zvezde.
Gravitacijska entropija in njena sprememba (kot tudi druge posplošitve Clausiusove klasične entropije)
sledijo po fuzijski obravnavi.
Notranja energija U fotonskega plina (po Stefanu) je odvisna od volumna V in temperature T:
U = aVT4
Kjer a je: a = 4σ/c
dU = 4aVT3dT - pri konstantnem volumnu
V splošnem velja energijski zakon za spremembo notranje energije, ki se lahko spreminja z dovajanjem
(odvajanjem) toplot
(Q = TdS) ali dela (W = -pdV):
dU = -pdV + TdS
Sprememba notranje energije U pri konstantnem volumnu (izohorna sprememba)
je za fotonski plin (recimo v zvezdi):
dU = TdS
dS = dU/T
dS = 4aVT2dT - po integriranju dobimo entropijo sevanja črnega telesa:
S = (4/3)aVT3 + konstanta
Velikokrat se torej zapiše entropija (časovni tok entropije Σ) s fotosfere zvezde v prostor kot:
Σ = 4L/(3Tef)
Kjer je L po Stefanu izsev zvezde:
L = SσT4.
Gostota
časovnega toka entropije z zvezde pa se kdaj poenostavi kar neposredno iz Stefanovega zakona o toplotnem sevanju
( L/S = j = σT4 ):
j/T = σT4/T = σT3
ali kar:
L/T = SσT3
Oba rezultata sta si blizu.
Za Sonce z maso Mo = 2.0×1030 kg, kje je izsev P = L = 3.828×1026 W
in površinska temperatura T = 5772 K, znaša (sekundni) entropični tok v okolico:
L/T = 3.828×1026 W/5772 K = 6.63 1022J/(sK)
To je primerljivo s prvotno Boltzmannovo definicijo entropije preko stanja delcev v Soncu S=kBln p,
kjer
je kB Boltzmannova konstanta. p je ocena števila mikroskopskih stanj v Soncu in znaša:
1.19×1057 -
kar da za entropijo Sonca vrednost
S = 1.81×1021m2kg/(s2K)
-----------------------------------------------------
In še bistven prispevek gravitacije k lokalnemu zmanjšanju entropije idealnega plina - nastanek zvezde.
Na strani: https://en.wikipedia.org/wiki/Orders_of_magnitude_(entropy)
najdemo
podatek, da je v grobem celotna sprememba entropija Sonca -1035 J/K
(zaradi krčenja, od prvotne zmesi protonov, nevtronov ...
pri starosti vesolja okrog 300 000 let do začetka fuzije).
Ta je torej posledica zmanjšanja entropije zaradi gravitacijskega krčenja prvotnega plina,
izračun je naslednji.
Zgolj z uporabo termodinamike lahko naredimo veliko pri določanju
entropije idealnega plina.
To je pomemben korak, saj v skladu s teorijo termodinamičnih potencialov,
v katerih je notranja energija označena z U, lahko izrazimo entropijo kot funkcijo U in volumna V.
Tako lahko tudi ocenimo termodinamično obnašanje idealnega plina.
S to osnovno predpostavko bomo izpeljali tako zakon o stanju idealnega plina
kot tudi izraz za notranjo energijo.
Izhajamo iz kinetične teorije plinov, ko velja za
notranjo energijo U = Ek = (3/2)NkT = CvT, kjer je Cv = (3/2)Nk
in dela pri spremembi volumna,
ko velja pV = NkT. N je število molekul, velja tudi ∂P/∂T = Nk/V in še diferencial
entropije dS = dQ/T (Q je oznaka za toploto). Seveda je diferencial notranje energije U
idealnega plina kar dU = (3/2)NkdT.
Velja energijski zakon
za spremembo notranje energije dU = -pdV + TdS. V spremembo entropije ds vstavimo že zapisane
izraze za dU in p in dobimo naslednji izraz:
∫dS = ∫dU/T + ∫pdV/T
ΔS = (3/2)Nk∫(1/T)dT + Nk∫(1/V)dV
Koreknejši matematični zapis je spodaj s parcialnima odvodoma entropije pri konstantnem volumnu
in temperaturi ter integrala spremembe entropije od T1 do T2 in od V1 do V2. Rezultat je seveda enak.
ΔS = ∫dS = ∫(∂S/∂T)vdT + ∫(∂S/∂V)TdV
ΔS = ∫(Cv/T)dT + ∫(∂P/∂T)dV = (3/2)Nk∫(1/T)dT + Nk∫(1/V)dV
Integrala sta kar naravna logaritma.
Wallacova entropija idealnega plina s temperaturo T in prostornino V,
ki je sestavljen iz N molekul, je torej v splošnem:
S = Nk((3/2)lnT + lnV) + C = (N/2)k*ln(T3*V2) + C
Nastanek zvezde preko gravitacijskega krčenja plinov, prahu ... Poleg gravitacije na krčenje
delno vplivajo s sevanjem zvezde z okolice, udarni valovi eksplozij supernov ...
Spremembo entropije snovi, ki se sesede v zvezdo, lahko ocenimo na naslednji način.
Približno 300 000 let po velikem poku je obstajala skoraj homogena kozmična plazma z gostoto
ρ1 ≈ 1014 barionov/m3 (v glavnem protoni, nevtroni in
še dokaj znaten delež ioniziranega helija) in
temperatura T1 ≈ 104 K.
V Soncu je približno 1057
barionv.
Povprečna gostota in temperatura Sonca
danes sta ρ2 ≈ 1030 barionov/m3
in T2 ≈ 107 K. Masa se (skoraj) ohranja (m = ρV, oziroma V = m/ρ,
Boltzmannova konstanta kB ali kar k = 1.38065 10-23 J/K
).
Sprememba entropije, ko se je snov Sonca spremenila iz stanja skoraj homogenega vesolja iz
plazme v starosti 300 000 let po velikem poku, v zvezdo, se lahko izračuna (bolje oceni) iz že
omenjene
(preoblikovane) Wallacove enačbe.
ΔS = (N/2)k ln( (T23ρ12)/(T13ρ22) )
≈ - 3 * 1035 J/K
Zapišimo še ločeno entropiji zaradi segrevanja in zaradi krčenja, katera prevlada
(za volumen vstavimo V = m/ρ)?
ΔS = (N/2)k ln( T23/(T13)
+ (N/2)k ln( ρ12/ρ22 ) =
1.91*1035 J/K - 5.09*1035 J/K
Prevlada torej drugi člen z negativno entropijo ( -5.09*1035 J/K) zaradi krčenja!!!
Gre za ocene - a zmeraj pa bo pri gravitaciji prevladal negativen člen entropije zaradi krčenja,
kar daje zvezi moč pošiljanja kvalitetne sevalne energije v okolico (pred krčenjem plina to ni bilo možno)!
Hkrati se torej s fuzijo (tvorbo masivnejših atomskih jeder od vodika - vse do železa)
v sredicah zvezd sprošča se energija nukleosinteze. Masivnejši elementi pa tvorijo kamnite
planete, njihove atmosfere in, vsaj na Zemlji, tudi življenje.
Če pa našo oceno Sončevega entropijskega toka (zaradi fuzije) v prostor
[ L/T = 3.828×1026 W/5772 K = 6.63 1022J/(sK) ]
pomnožimo z življenjsko
dobo Sonca na glavni veji HR diagrama (to je čas fuzije v sredici Sonca - 10 milijard let =
3.1536 1017 s )
pa pridemo do velikostnega
reda S ≈ 2 1040 J/K.
Samo zmanjšanje entropije zaradi krčenja plina v zvezdo pa je torej precej manjše (-1035 J/K).
Sklep.
To pomeni, da je večino povečane entropije okolice zvezde posledica
fuzije (zlivanje lažjih v težja atomska jedra) v sredicah zvezd in prevlada nad zmanjšanjem entropije
samega krčenja plina zaradi gravitacije. A proces je pomemben, ker tako dobimo dolg konstanten
izsevalni vir energije zvezde v okolico, tudi na planete.
Del tega toka entropije s Sonca zadane torej tudi naš planet in Zemlji omogoča raznolike
stabilne vzorce, recimo stabilno atmosfero (globalno cirkulacijo) in seveda
življenje, vzorce dolgih molekul življenja
- lokalno na Zemlji se živim bitjem entropija začasno celo zmanjša ..., urejene
celice, genski zapis ...
Procesi v vesolju težijo k večji neurejenosti, k naraščanju entropije S.
Pri procesih gravitacijskega krčenja plinov v zvezde, se lokalno entropija sicer zmanjša,
a se na koncu vseeno entropija poveča z ohlajanjem okolice in razpršitvijo fotonov fuzije,
izhlapevanja črnih lukenj (spodnja slika).
Zgornja slika: ko so gravitacijske interakcije zelo šibke, difuzija poveča volumen in s tem
entropijo snovi (npr. molekule parfuma v prostoru).
Spodnja slika: ko so predmeti veliki in so
gravitacijske interakcije močne, se vrtilna količina prenese na nekatere zunanje plasti.
Njihov izmet in gravitacija omogočata
gravitacijski kolaps notranjih delov snovi, zvezd v črne luknje.
Če je Hawkingova temperatura črne luknje višja od
okolje, bo črna luknja izhlapela kot fotoni in drugi delci.
V vseh teh nepovratnih (ireverzibilnih) procesih,
se mora entropija povečati. Temna energija se ne kopiči,
zato ne more prispevati k povečanju gravitacijske entropije
vesolja.
Graf entropije vesolja skozi čas - toplotna smrt je desno zgoraj, ΔS = 0.
ENTROPIJA (ZGODNJEGA) VESOLJA
Ocena entropije (iz wiki) vesolja je 4.3 × 1081 J K-1 in tja do okrog
10100 J K-1.
Gremo po vrsti.
Na začetku velikega poka, ko sta bili energija in materija ustvarjeni iz nič (?), če to drži
(zdi se malo verjetno) - lahko rečemo,
da je imelo vesolje entropijo nič.
Kvantne fluktuacije tudi ne morejo prenašati entropije, saj so popolnoma naključni procesi ...,
a kot bomo videli, so prisotni tudi drugačni argumenti.
Zgornja trditev o ničelni entropiji pa je lahko sporna iz dveh razlogov -
saj velja tretji zakon termodinamike, ki pravi,
da absolutne ničle,
popolnega mirovanja ni moč doseči (zmeraj so zadaj kvantne fluktuacije vakuuma,
ki lahko tvori določen pritisk,
neke vrste kozmološki Casimirjev efekt).
Tretji zakon termodinamike tudi pravi: "Entropija sistema se približa konstantni vrednosti,
ko se njegova temperatura približa absolutni ničli."
Problem je tudi, da ne poznamo dovolj dobro fizike začetnega stanja vesolja, delcev, sevanja, sil.
Tudi če ne moremo zapisati entropije delcev (klasičnih barionov ...), ker jih na začetku ni bilo,
pa vendar lahko potem entropijo zapišemo še s konstanto, ki je ne poznamo, a nam pripoveduje, da je najbrž še
pred rojstvom
našega vesolja vendar bila neka porazdelitev energije (energija bi se naj ohranjala) - z določeno entropijo.
Torej naj bo začetna entropija vesolja kar S = 0 + CVP.
V konstanti velikega poka CVP se skriva prvotna entropija začetka
(ali so to kvantne fluktuacije v smislu
odbojnega tlaka - kozmološki odboj, neke vrste Casimirjeva entropija,
paketi Heisenbergovega načela nedoločenosti,
prvotna struna ...?).
Prispodoba z glasbo ni odveč - imamo godala, ki počivajo z napetimi strunami, a ko loki godcev zavibrirajo strune,
se pojavi vesolje glasbe, tonov, ki se širi ...
Torej tudi pred glasbo, razširjajočimi toni (prispodoba vesolja) obstaja stanje, napete strune
(podobnost s konstanto CVP),
ki nato omogočajo glasbo ...
Ne vemo, kakšen je bil osnovni proces, ki je povzročil nastanek materije in energije,
toda (glede na današnje razumevanje) če so bile 4 sile (gravitacija, EM, šibka in močna)
ustvarjene sočasno z ali v kratkem čas po
nastanku snovi
in energije, potem je entropija v tem trenutku ustvarjanja vesolja bila nič zaradi dejstva, da ni
bilo prisotnih sil ali energijskih interakcij, ki bi povzročile "naključje" - interakcije
med delci.
A lahko, da ne poznamo vseh sil zgodnjega vesolja - in zato so uvodni pomisleki o ničelni entropiji
začetka vesolja upravičeni. Sploh, ker je vedno več indicev,
da je povečanje entropije v termodinamičnih sistemih verjetno
mogoče pojasniti z naključnim delovanjem vakuumskega sevanja.
P
Prvi atomi, ki so nastali v zgodnjem vesolju, so bili atomi vodika (protoni) in seveda prosti nevtroni,
ki so nastali približno
3 minute po velikem poku. Za določitev entropije zgodnjega vesolja, v katerem so nastali
nukleoni, predpostavimo, da so bili ti delci enakomerno razporejeni po vsem prostoru.
Entropijo zgodnjega vesolja lahko izračunamo torej z 1080
nukleonov, in če grobo upoštevamo, da so se ti delci obnašali kot idealen plin!
Zapišimo nekatere glavne prispevke k entropiji vesolja S - njeni rasti (lokalno tudi padanju - ob nastanku zvezd, galaksij):
Tukaj se sešteva entropija idealnega plina preko Boltzmannove zveze S = N k ln(p),
- kjer se torej N ocenjuje na 1080 protonov in nevtronov v začetnem v vesolju
(kar da rezultat 1.38 x 1057 J/K),
- potem so tukaj mešani plini 2.2 x 1056 J/K
(velja ΔS_mix = -R(nAln χA + nBln χB,
kjer je nA = 7.473 × 1055 molov vodika, nB = 8.303 × 1054 molov helija,
delež vodika χA = 9/10, delež helija χB = 1/10 ),
- potem zaradi fuzije H v He dobimo
3 x 1060 J/K entropije
(podatki: 5.079 x 1050 kg mase zvezd pretvorjene v sevanje, dS =dQ/dT,
kjer je dQ = mc2 = 4.564 x 1067 J in
tem. fuzije T = 1.5 x 107 K),
- potem fotonski plin mikrovalovnega
sevanja ozadja S = 4U/(3T) = 4aVT3/3 za volumen
sfere (3.56 x 1080 m3)
da entropijo 7.26 x 1066 J/K (za T = 2.725 K in a = 4σ/c),
- tukaj je še negativna entropija tvorbe zvezd zaradi gravitacije, za Sonce recimo velja
ΔS = (N/2)k ln( (T23ρ12)/(T13ρ22) )
≈ - 3 * 1035 J/K,
če predvidevamo, da je v vesolju približno 2000 milijard
galaksij, vsaka pa ima približno 100 milijard zvezd
(ocena št. zvezd v vesolju je = 200 000 000 000 000 000 000 000 = 200 x 1021),
potem velja ocena ΔStvorbe_zvezd = 200 x 1021 (- 3 * 1035 J/K) =
-6.36 x 1058 J/K (napram sevanju relativno skromna negativna entropija,
a izjemno pomembna, ker sproži tvorbo zvezd in s tem fuzijo, tvorbo težjih elementov),
- tukaj je še entropija črne luknje S = kc3A/(4Gℏ) = 4 x 10100 J/K (kjer je površina
črne luknje
A = 16π(GM/c2)2, ℏ = h/2π, za maso M = 3.3 x 1053 kg - to
je ocena mase
v vesolju (barioni),
to številko dobimo, če recimo število
zvezd pomnožimo z maso Sonca mves = 2*1030kg*200 x 1021=
4 * 1053 kg) ...
Torej bo končna entropija vesolja reda 10100J/K.
Entropija se bo še povečala ob končni toplotni smrti vesolja, ko bo ta ogromna črna luknja (ali luknje) zaradi
Hawkingovega sevanja izhlapela (recimo).
Tukaj je podanih le nekaj številk, enačb, ki so močno poenostavljene za večinske
potekajoče procese v vesolju, da bi tako dobili predstavo o spremembi entropije
vesolja na različnih stopnjah in zaradi različnih procesov.
V zgornjem seznamu manjka še entropija temne snovi in še nekatere ...
Formula za entropijo črne luknje
Kako izraziti entropijo črne luknje v konkretni enačbi? Že takoj je jasno, da mora biti
entropija črne luknje odvisna le od opazovanih lastnosti črne luknje: mase, električnega naboja
in vrtilne količine. Izkazalo se je, da ti trije parametri vstopajo le v eni kombinaciji,
ki predstavlja površino črne luknje. Eden od načinov, kako to razumeti, zakaj, se
spomnimo "površinskega izreka" (Hawking 1971, Misner, Thorne in Wheeler 1973): območje obzorja
dogodkov črne luknje se ne more zmanjšati; poveča se pri večini preobrazb črne luknje.
To naraščajoče vedenje spominja na termodinamično entropijo zaprtih sistemov. Zato je smiselno,
da je entropija črne luknje kar funkcija površine in izkaže se, da je to najpreprostejša
taka funkcija.
Če je A površina črne luknje (območje obzorja dogodkov), potem je entropija črne luknje
v brezdimenzijski obliki podana preko povezave:
S = A/(4L2P) = c3A/(4Gℏ)
kjer je LP Planckova dolžino Gℏ/c3, medtem ko G, ℏ in c označujejo Newtonovo
gravitacijsko konstanto, Planck-Diracovo konstanto (h/(2π)) in c svetlobno hitrost. Seveda,
če se zahteva entropija v običajni (kemični) obliki, je treba zgornjo vrednost pomnožiti
z Boltzmannovo konstanto k.
Kjer je polmer črne luknje
rh = 2GM/c2 in površina 4πrh2,
oziroma površina A = 16π(GM/c2)2.
V dokumentu "Dark Energy and the Entropy of the Observable Universe"
( https://openresearch-repository.anu.edu.au/bitstream/1885/23722/2/01_Lineweaver_Dark_Energy_and_the_Entropy_of_2010.pdf )
- Dark Energy and the Entropy of the Observable Universe
Charles H. Lineweavera and Chas A. Eganb, najdemo podatek o entropiji vidnega vesolja
2.6 ±
0.3 x 10122 v enotah k (Boltzmannove konstante k = 1.38065 10-23 J/K ),
in da je ta prispevek cca 10 19-krat večji od naslednjega najbolj dominantnega prispevka,
ki izhaja iz super masivnega
črne luknje.
Več sledi ...
Cikel "zvezda - plin - zvezda" kaže kako se v mlajših zvezdah zbirajo tudi molekule težje od
vodika, helija ... torej ogljik, kisik, dušik, železo, tudi zlato, uran ...
Na tak način je nastalo tudi Sonce in planeti - Zemlja.
Entropični ples preko gravitacije stisne ogromen oblak plina v zvezdo in s tem plinu
zmanjša entropijo, kar omogoča
zvezdi (preko zlivanja jeder - fuzije)
oddajanje kvalitetne konstantne svetlobe (energije) v prostor, tudi proti Zemlji - kjer se je tako razvilo tudi
čudežno življenje ...
Vir slike:https://www.bartol.udel.edu/~owocki/phys333/galaxy
Ne samo "skromnost" Sonca (ravno pravšnja masa, da Sonce stabilno sveti že 5 milijard let in bo še približno
toliko časa),
tudi sama masa ostalih
planetov (Merkur, Venera, Mars, Jupiter, Saturn, ...) je dovolj majhna,
da se je ohranil zelo bogat kometni pas onstran Plutona.
Odsotnost masivnejših planetov (velikosti nekaj Jupitrov) najverjetneje pomeni
masivnejše in gostejše kometne pasove, kar omogoča počasno in postopno
redčenje kometnih pasov in to skozi milijarde let.
Posledica je dolgotrajno trkanje kometov s planeti,
na katerih se tako lahko odlaga voda, nastanejo oceani,
ki so vir življenja (ko so planeti mladi in vroči, je nastanek oceanov nemogoč).
Take razmere, glede lahkih planetov in gostega kometnega obroča,
so danes tudi detektirane pri zvezdi Gliese 581 v Tehtnici
(in pri zvezdi 61 Device), kjer je tudi odkrit planet dokaj podoben
Zemlji v naselitveni coni.

Zgoraj je zgolj groba skica (ni v merilu) podobe Sončevega sistema.
Zemljo boste prepoznali kot tretji planet desno od Sonca s spremljevalko Luno.
Ostali planeti so narisani brez lun.
S krčenjem plina in prahu se je rodilo Sonce, s tem se je entropija lokalno
zmanjšala in Sonce tako danes gosti planete, tudi Zemljo, na kateri se je skozi milijarde let
razvila
napredna oblika življenja, ki dejavno soustvarja planet in "misli vesolje ..."
Ta enkraten fenomen življenja nam omogoča pretok energije iz Sonca na Zemljo, kar je posledica
zmanjšane entropije prvotnega oblaka plina pod vplivom gravitacije in
sproščene energije fuzije v jedru
Sonca.
ŽIVLJENJE - velika uganka, igra ogljika, vodika, kisika, ...
Zakaj so težji kemijski elementi tako pomembni, recimo ogljik (C),
kisik (O), dušik (N)?
Več različnih atomov pomeni več možnih kombinacij vezave v različne molekule.
Več atomov in molekul pa omogoča strukture, ki so na Zemlji
pripeljale do življenja (strukture, ki so zmožne reprodukcije) -
do nas ljudi.
Vodik (H) je najenostavnejši atom (proton in elektron) in
ga je v vesolju največ.
Recimo dva vodika se lahko vežeta s kisikom v molekulo
vode H2O. Za vodo skoraj organsko (podzavestno) vemo kaj nam pomeni
- kjer je voda, je življenje. Poglejmo v kaj se še družijo atomi?
Osnovni gradniki življenja so ogljikove spojine,
Molekula vode H2O.
Ogljikove spojine poleg
ogljika vsebujejo tudi mnoge druge elemente, med katerimi so
najbolj pogosti vodik, dušik, kisik,
halogeni elementi, fosfor, silicij in žveplo.

Struktura najenostavnejšega ogljikovodika metana
Organske molekule, naši osnovni gradniki, so tako recimo kombinacija
ogljika in vodika (ogljikovodiki), tudi kisika, dušika, itn.
Gradniki življenja, kot jih poznamo danes na Zemlji so recimo:
- celice,
- beljakovine,
- aminokisline.
Celica je strukturna in funkcionalna enota vseh živih organizmov.
Celice so najmanjši deli organizmov, ki jih obravnavamo kot žive,
zato jim pogosto pravimo tudi gradbeni elementi življenja.
Beljakovine ali tudi proteini, so poleg vode,
najpomembnejše snovi v telesu.
Izjemnega pomena so za rast in razvoj vseh telesnih tkiv.
Glavni vir materiala za gradnjo mišic, krvi, kože, las,
nohtov in notranjih organov, vključno s srcem in možgani.
So sestavni deli vsake celice, ki je osnova življenja na Zemlji.
Beljakovína je kompleksna organska molekula, sestavljena
iz najmanj 100 verižno povezanih aminokislin.

Reprezentacija trirazsežnostne strukture mioglobina z obarvanimi
alfavijačnicami. Mioglobin je bil prva beljakovina,
katere strukturo so razvozlali z rentgensko kristalografijo.
Aminokisline so osnovni gradniki beljakovin.
Amínokislína je na splošno vsaka molekula,
ki vsebuje tako aminsko (–NH2) kot karboksilno (–COOH) funkcionalno skupino.
V biokemiji se ta krajši in splošnejši termin pogosto uporablja za
alfa-aminokisline – aminokisline, pri katerih sta aminska
in karboksilna skupina vezani na isti ogljikov atom.

Fenilalanin je ena od esencialnih proteinogenih aminokislin.
Miller-Ureyev eksperiment iz leta 1953 (ZDA, University of Chicago) - simulacija nastanka življenja, osnovnih gradnikov
(voda, metan, amoniak [amonijak]
in vodik)
Na koncu tedna sta dobila zanimive rezultate - 10-15% ogljika
se veže v organske oblike. 2% C tvori aminokisline, 13 od 22 tvori
proteine v celicah z glicinom na čelu. Formirani so bili tudi: sladkorji, lipidi in nukleinske kisline
(kot so navzoči v DNA [DNK], RNA in ATP pri prisotnosti fosfatov).
Skorajda vse aminokisline izkazujejo optično izomerijo (polarizirajo svetlobo)
in tudi v tem primeru je bilo tako - kreirani so bili tako levosučni in desnosučni izomeri.

Slika DNK (Dezoksi-ribonukleinska kislina) iz:http://upload.wikimedia.org/wikipedia/commons/thumb/8/81/ADN_animation.gif/180px-ADN_animation.gif
Dezoksiribonukleinska kislina (DNK oziroma DNA) je dolga molekula,
ki je nosilka genetske informacije v vseh živih organizmih (z izjemo nekaterih virusov,
ki imajo genetsko informacijo shranjeno v obliki molekule RNK).
DNK skupaj z RNK spada med nukleinske (jedrne) kisline.
http://en.wikipedia.org/wiki/Miller-Urey_experiment
http://de.wikipedia.org/wiki/Miller-Urey-Experiment

Brez kisikove atmosfere ni visoko razvitih bitij – a komaj pred 600 milijoni
let je Zemlja ustvarila atmosfero, ki nam omogoča dihanje
Kako je prišla voda na naš planet, še ni čisto dorečeno, preko kometov, asteroidov,
delno vulkanov ..., tudi prostega kisika na začetku ni bilo v atmosferi (saj
se zelo rad veže, recimo v vodo H2O, ogljikov dioksid CO2 in druge molekule,
tudi v našem telesu je masno gledano največ kisika). Za kisik v atmosferi so
poskrbele, saj vemo kdo in kako, rastline preko fotosinteze (se spomnimo še iz
šole, poenostavljeno velja: nepogrešljivo sonce da energijo, svetloba razbije
molekule vode => voda kot donor elektronov 12H2O + ogljikov dioksid
6CO2 = ogljikov hidrat, npr. glukoza C6H12O6 + kisik 6O2 + 6H2O – v
resnici je proces malo bolj zapleten). Ko živali ali ljudje pojemo tako
rastlino pa je proces obraten – poteka oksidacija glukoze. Povedano je
formula prehranjevanja in rasti. Kisika je bilo »naenkrat« v zraku zelo
veliko in kaj sedaj? Nastal je recimo zaščitni ozon O3 pred UV sevanjem
in ker je bilo v zraku še zmeraj ogromno odličnega oksidanta kisika,
so se lahko pojavile nove zelo uspešne oblike življenja, veliki vretenčarji
(in to pred približno 600 milijoni let), ki so vezane na kisik. Tudi ljudje
smo potomci teh prvih preprostih živali na kisik. Z merjenjem izotopov
selena v kamninah se je razkrilo, da je bilo potrebnih 100 milijonov let,
da se je količina kisika v atmosferi povzpela z manj kot 1% na več kot
10 % današnje ravni (danes blizu 21 % O2). To je bil najpomembnejši
dogodek oksigenacije v zgodovini Zemlje, ker je sprožil obdobje
življenja velikih živali, ki traja do danes (kisik je zelo dober oksidant,
vsi poznamo energijo ognja in je torej energijsko pomemben tudi pri
oksidaciji hrane, glukoze - C6H12O6, v ogljikov dioksid in redukcija kisika
v vodo). Zemlja je torej rabila okrog 3 milijarde let za tvorbo kisikove
atmosfere, ki nam omogoča življenje. Življenje sicer obstaja že vsaj
3,5 milijarde let (spet nekateri trdijo, da se je kemija, ki vodi v
življenje, morda začela kmalu po velikem poku, pred 13,8 milijarde
let, v dobi, ko je bilo vesolje staro komaj 10 – 17 milijonov let).
Ocenjuje se tudi, da je več kot 99% vseh vrst (število vseh vrst
presega pet milijard), ki so kdaj živele na Zemlji, izumrlo. Vsaj
petkrat je sam obstoj življenja na Zemlji visel na tanki nitki.
Sedanjo geološko dobo pa nekateri celo imenujejo »antropocen« – saj
je človek tisti, ki v temelju spreminja obraz planeta in z ekološko
spornimi lomastenji po krhkem ravnotežju planeta ogroža tako sebe,
kot mnoge ostale oblike življenja (nas je že 8 milijard ...). Znanost
- človek, je tokrat pred največjim izzivom – če bomo še hoteli
sanjati o raziskovanju vesolja, oddaljenih svetovih, civilizacijah,
bomo najprej morali rešiti življenje na Zemlji, v temelju spremeniti
naše navade (zaščititi svoj genom in »genom« celotnega ekosistema) in
poiskati neinvazivne energetske vire (zvezde nam kar na pladnju ponujajo
eno izmed rešitev – fuzijo, reaktor ITER je žal zaradi odlašanja še daleč
od testnega delovanja, grafen (čisti ogljik v atomski ravnini iz heksagonov)
pa se trenutno kaže kot potencialni kandidat za zmogljivejše in manj
invazivne baterije), enako velja za brutalno rudarjenje – tudi tukaj se
bomo morali samo omejiti. Veliko se tudi razmišlja o rudarjenju na Luni –
a zadaj je še zmeraj veliko zelo slabih energijskih (transport) in
pravnih rešitev.
Trenutno ni znanstvenega soglasja o tem, kako je nastalo življenje.
Vendar večina sprejetih znanstvenih modelov še zmeraj temelji na
Miller-Ureyjevem poskusu in delu Sidney Fox, ki kažeta, da so že
prvotni pogoji na Zemlji bili dovolj ugodni za ustrezne kemijske
reakcije. Te reakcije sintetizirajo aminokisline in druge organske
spojine iz anorganskih snovi in se tako spontano tvorijo fosfolipidi
iz lipidnih dvojnih plasti, ki tvorijo osnovno strukturo celične membrane.
Zadaj stojijo zapletena in predrzna ugibanja, kako je sploh prišlo do
(samo)organizacije celic in njihove delitve – genetskega zapisa DNK
(v obliki dvojne vijačnice, heliksa), predpisa ki posamezni vrsti pove,
kako se razvije, raste, rodi in živi. Nekateri poudarjajo sebični gen,
drugi spet sodelovanje med celicami in solidarnost med pripadniki posamezne
vrste, seveda v naravi opazimo obe skrajnosti ... Zanimiva je tudi hipoteza,
da po vsem vesolju obstaja mikroskopsko življenje - ki ga recimo s sabo
nosijo kometi, asteroidi in druga majhna telesa Osončja (nekateri celo
iščejo vzor - stavijo na tardigrade, t. i. počasne "medvedke", ki so
izjemno odporne mini živalce, ki so skoraj 'neuničljive', saj jih
lahko skuhamo, zamrznemo ali zmečkamo, pošljemo v vesolje, v vakuum,
pa bodo še vedno preživele – o tem je pisala tudi stran APOD). Tukaj
je še »čudež« t. i. negativne entropije (uvedel jo je znameniti kvantni
fizik Erwin Schrödinger). Zakaj? Princip življenja je namreč ravno
nasproten procesom v mehaničnem, neživem svetu, kjer se entropija
(nered) samo povečuje (poznana je zgodba o toplotni smrti vesolja
– izenačenje temperatur) – a pri življenju se začuda lokalno in začasno
entropija manjša in posledično veča red. Zakaj? Vsako bitje je namreč
»maksimalno« urejeno, povečuje red – recimo, ko se delijo celice, ko
odrašča … Na ta stara vprašanja »od kod vis viva (življenjska sila –
nastanek življenja)« nimamo odgovorov – so pa ta vprašanja ključna
za naše preživetje, za samo raznolikost narave. O problemu entropije
v vesolju smo v Spiki že pisali
(Spika 12/2013).
Nekateri vidijo ravno
v ustvarjalnem življenju varovalko pred entropijskim koncem vesolja,
koncem časa v mrazu niča. Vrnimo se k življenju – nastanku le tega!
No - nekateri trdijo, da je že vse jasno, odgovorjeno zgolj s pojmom
samoorganizacije atomov …, da torej (samoorganizacija) vse pojasni!
Ali res? Za mnoge je to tak odgovor, dokaz, kot če bi recimo na vprašanje,
zakaj je juha hladna, odgovorili, zato ker ni vroča. S temi vprašanji
bivanja, nastanka bivajočega - osebka, skupnosti in zavedanja, so se
ukvarjali praktično vsi pomembnejši fiziki, kemiki, biologi, zdravniki,
misleci … v zgodovini človeštva (in se na nek način zavestno
ali podzavestno ukvarjamo praktično vsi, ki nam je dano živeti in skozi
vzgojo ujeti nit zgodovine, ki nas povezuje tako z vedenjem in vprašanji
prednikov in seveda sodobnikov)! A so vzorci morebitnega življenja na
»eksopotepuhih« podobni – a tudi tam odloča o življenju visoko razvitih
bitij kisik …? Zagotovo je to velika verjetnost – a ni nujno!
Supernove so torej del rešitve uganke, od kod prihajamo - dale so gradnike
za življenje.
Pojem in razvoj življenja je tako širok in kompleksen,
da smo se te skrivnosti le bežno dotaknili - zgolj s
stališča nastanka kemijskih elementov, ki so produkt
dogajanja v vesolju, v zvezdah.
In to spoznanje nas z vesoljem veže močneje,
kot smo o tem lahko slutili še pred 100 leti.
Hkrati pa kaže, da so vsa hotenja in hrepenenja naših prednikov
iskala odgovore v pravi smeri - v vesolju,
ki so ga ljudje poimenovali in razumeli (razumemo) na različne načine
(nebesa, raj, pekel, kot usodo, ki prihaja z neba, ...).
Tukaj se pojavi večna dilema duhovnosti in znanosti
- a kot kažejo dogodki, se ti dve veji človeškega
udejstvovanja lahko na neki točki približujeta.
A zloraba duhovnosti ali znanosti je večna
nevarnost in realnost, ki od človeka zahteva veliko
napora, prave mere in tudi "sreče" ("usode")
- kdaj in v kakšno okolje smo rojeni
- da to zlorabo sploh lahko razumemo, dojamemo in se ji izognemo,
koliko se zlorabam sploh da izogniti, ...
Mlade puhaste lastovičke s široko odprtimi kljunčki
čakajo na hrano - gnezdo v hlevu nad kravo.
*
Če vas zanima kaj več o ekstremnih dogodkih na našem planetu
in povratnih dobah
ter razlogih zakaj je na Zemlji tako in ne drugače, si oglejte
stran s s
kalkulatorjem za izračun povratnih dob, itn.
Zna biti zelo poučno in "celo uporabno".
Ali smo v vesolju sami - ocena števila vesoljskih civilizacij
Bivanjska stiska "razumnih" bitij, ali si sploh
želimo srečanj z bitji drugih civilizacij (svetov)?
Odgovor na vprašanje, ali smo v vesolju sami,
je lahko samo ocena narejena iz primerjave (iz merjenj)
drugih zvezdnih planetnih
sistemov, ki vključujejo planete podobne Zemlji.
Pa še cel kup dejavnikov je potrebno upoštevati, recimo glede
verjetnosti razvoja inteligentnega življenja, koliko jih
razvije zmožnost komunikacije, itn.
Naselitveno področje (habitable zone)

Območje naselitvene cone neke zvezde je:
Rnp = Rae(Lzve/Lson)1/2
ae = astronomska enota
(pov. razdalja Zemlja - Sonce, znaša pa 150 milijonov km)
Rnp - srednja razdalja naselitvenega področja (cone) za zvezdo z izsevom Lzve,
Širina je Rnp ± 0.2*ae
Lson - 3.827×1026 W
Stefan - Boltzmannova konstanta:
s = 5.67 x 10-8 W/m2 K-4
Zveza izhaja iz gostote energijskega toka (j) zvezd, ki mora biti okrog 1,4 W/m2.
j = L/(4*p*R2)
L = 4*R2*s*T4
j = L/(4*p*R2) = s*T4
Lson/(4*p*Rae2) = Lzve/(4*p*Rnp2)
- iz zgornje zveze sledi: Rnp = Rae(Lzve/Lson)1/2
Primer, zvezda s 25% izseva Sonca bo imela srednji del naselitvenega področja
na razdalji okrog 0.50 ae od jedra, zvezda z dvakratnim izsevom Sonca pa
na razdalji 1.4 ae.
Dr Frank Drake (rojen 1930. ZDA, astronom, poda enačbo civilizacij,
ustanovitelj projekta SETI -
Search for Extraterrestrial Inteligence).
Dr Frank Drake, 1960/61 - Univerza v Kaliforniji, oceni število
vesoljskih civilizacij,
ki eksistirajo vzporedno z našo civilizacijo v naši galaksiji in bi morebiti
z njimi lahko komunicirali:
N = R* x f_p x n_e x f_l x f_i x f_c x L
* R* = 10/leto (10 zvezd se formira na leto v naši galaksiji)
* f_p = 0.5 (polovica novih zvezd formira planete)
* n_e = 2 (2 planeta na zvezdo sta primerna za razvoj življenja)
* f_l = 1 (100% vsi planeti razvijejo življenje - se razvije)
* f_i = 0.01 (1% jih razvije inteligentno življenje)
* f_c = 0.01 (1% od teh razvije zmožnost komunikacije)
* L = 10,000 let (trajale bodo 10 000 let)
Drake dobi vrednost:
N = 10 × 0.5 × 2 × 1 × 0.01 × 0.01 × 10,000 = 10.0
Torej skupaj bi naj bilo 10 civilizacij v naši galaksiji, ki
bi se morebiti lahko sporazumevale.
Problem so razdalje - 100 000 sv. let je premer naše galaksije,
gostota inteligentnih bitij pa je tako majhna, da je zelo mala verjetnost,
da se v obdobju razcveta zaznamo (hitrost elektromagnetnih valov je namreč
"samo" 300 000 km/s)
Nastale so različne ocene,
več informacij najdemo na:
http://en.wikipedia.org/wiki/Drake_equation
R* = 10/leto, fp = 0.5, n_e = 2, f_l = 1, f_i = f_c = 0.01, and L = 50,000 years
N = 10 × 0.5 × 2 × 1 × 0.01 × 0.01 × 50,000 = 50
Optimistične ocene predvidevajo 10% takih civilizacij, ki so zmožne komunicirati,
se širiti in preživeti 100, 000 let:
R* = 20/leto, f_p = 0.1, n_e = 0.5, f_l = 1, f_i = 0.5, f_c = 0.1 in L = 100,000 let
N = 20 × 0.1 × 0.5 × 1 × 0.5 × 0.1 × 100,000 = 5,000
-----------------------------------------------
Današnje ocene:
N = R* x f_p x n_e x f_l x f_i x f_c x L
* R* = 6/leto (10 zvezd se formira na leto v naši galaksiji)
* f_p = 0.5 (polovica novih zvezd formira planete)
* n_e = 2 (2 planeta na zvezdo sta primerna za razvoj življenja)
* f_l = 0.1 do 0.33 (10 do 33% planetov razvije življenje)
* f_i = 1*10-7 (0.00001% jih razvije inteligentno življenje)
* f_c = 0.01 (1% od teh razvije zmožnost komunikacije)
* L = 420 let (trajale bodo 420 let), ali od leta 1938, to je 2007-1938 = 69 let
R* = 6/leto, f_p = 0.5, n_e = 2, f_l = 0.33, f_i = 1×10-7 , f_c = 0.01, in L = 69 let
N = 6 × 0.5 × 2 × 0.33 × 1×10-7 × 0.01 × 69 = 1.3 ×10-7 = 0.0000001
Ocena o številu planetov v celotnem Vesolju, podobnih Zemlji,
je približno N = 5 * 1015 (se spreminja glede
na nove meritve).
Ocena razdalje med njimi:
a3 = 4*Pi*Rves3/(3*N)
Rves=1010 sv. let
sv. leto = c*t = 3*105km/s * 365,25*24*3600s =
9,46 * 1012km = 9.460.730.472.580.800 metrov,
oziroma 9,46 petametrov
1 pc = 3,26 sv. let
a = Rves*(4*Pi/(3*N))1/3 = x*105 sv. let
Povprečna razdalja med sonci je torej okrog 100 000 sv. let,
velikost povprečne galaksije.
Verjetnost, da so življenja na njih razvita v enakih fazah kot na Zemlji
je majhna.
To in bližina planetov, sta pa poglavitna za srečevanje vesoljskih civilizacij.
Iz povedanega sledi, da je verjetnost srečanja, komunikacija
z morebitnimi bitji iz drugih planetnih sistemov, res malo verjetna!!!
Lahko pa pošljemo podatke o nas in Zemlji v vesolje
in se gremo vesoljsko arheologijo - čakamo, da kdo najde naše
podatke (znamenja prisotnosti, ali, da smo obstajali) in obratno.

Leta 1972 so izstrelili sondo Pioneer 10 s ploščo z vsebino za morebitno sporazumevanje z "razumnimi"
bitji iz ostalih delov vesolja. Na plošči so označene
smeri 14 pulzarjev z binarnimi oznakami njihovih frekvenc,
glede na sevanje vodikovega atoma pri spremembi spina. Zmanjšanje frekvence bo
mera za čas, ki bo potekel po izstrelitvi. Na plošči sta še Zemlja z Osončjem, Pioneerjeva pot
ter moški in ženska v istem merilu kot sonda. Sonda je šla leta 1973 mimo Jupitra in leta 1983
mimo Plutona. Je prva, ki je zapustila Osončje. Oglej si angleški tekst.
Razlaga slike:
Recimo, da smo bitja iz vesolja, iz kroglaste kopice M13 in iz Zemlje prejmemo zgornjo informacijo.
Kaj nam hočejo ti navadni smrtniki, Zemljani povedati?
Zgornje sporočilo je bilo odposlano iz
Zemlje, leta 1974, v smeri
kroglaste zvezden kopice
M13.
Med sprejemanjem še zmeraj največjega radijskega teleskopa
Arecibo - je bilo hkrati poslano zgornje sporočilo
(1's in 0's).
Ta poskus komunikacije z izvenzemeljskimi bitji je bil bolj
simbolne narave - človeštvo namreč redno na široko in naključno pošilja v Vesolje
radijske in televizijske signale.
Tudi če bi to sporočilo sprejeli v M 13, je le ta kopica tako daleč,
da bomo "morali" čakati 50000 let na odgovor morebitnih civilizacij iz M 13.
Seveda bi ta bitja morala zaznati in razumeti naše sporočilo.
Sporočilo podaja preprosta dejstva o človeški civilizaciji in
našem znanju: od leve proti desni so števila od 1 do 10, atoma
vodika in
ogljika,
nekaj zanimivih in pomembnih molekul,
DNA, opis človeka, osnove našega
Sončnega sistema in
osnove teleskopa, ki je poslal sporočilo.
Nekaj raziskovalcev izvenzemeljske inteligence
ravno "zdaj" sprejema mnoge osebe, ki lahko sodelujejo pri projektu iskanja, tako da
vključujejo (vključujemo) lastne računalnike v raziskovalno mrežo.
Glej tudi: http://antwrp.gsfc.nasa.gov/apod/
Vrnimo se k supernovam.
Supernove imajo tudi velik pomen, kot standardni nebesni
"svetilniki" (supernove tipa Ia), pri določanju razdalj v vesolju in
s tem posredno tudi gostote
vesolja, kar je odločilno za modeliranje bodočnosti, dinamike vesolja.
Preko supernov so konec 20. stoletja razkrili, da se vesolje širi pospešeno,
da v vesolju, poleg vidne materije in temne snovi, obstaja še
temna energija (odkritje bo skoraj zagotovo deležno Nobelove nagrade).
Krasno je, da danes tehnologija za
1000 ali nekaj več EUR, omogoča amaterjem, da se tudi oni ukvarjajo
s takimi meritvami, raziskavami. Vesolje nam je bližje kot kadar koli,
a ga ne vidimo - nekaj je krivo svetlobno onesnaženje, še več pa onesnaženje
naših možganov s potrošniškimi dobrinami in odraščanje
v nenaravnem fizičnem in socialnem okolju.
ALI JE ČLOVEK PRI SVOJEM ODLOČANJU AVTONOMEN?
Ko smo tako predelali entropijo in nakazali kako recimo bi naj življenje nastalo,
se posvetimo še nam samim. Kaj smo? Smo kvantni roboti ali avtonomna bitja svobodne volje?
Ali sami odločamo o tem, kaj in kako počnemo?
Večina (tudi izobraženih) na prvo žogo verjame, da sama odloča o svojih dejanjih ...?
Je pa moč zaslediti, da nekaj eminentnih znanstvenikov (rec. fizik Brian Greene ...)
odločno odklanjajo pojem avtonomnosti ali svobodne volje.
Avtonomnost vidijo zgolj v množici kombinacij pojavnega sveta, za vsem tem pa stojijo zgolj
zakoni fizike, vesolja?
Tudi v kvantni mehaniki ne vidijo drugega, kot popolno določenost vsega že z začetkom
vesolja, velikega poka.
Ali je torej že v naprej bilo znano, da se bo ta tekst napisal in je
bilo tudi določeno, da ga vi ravno sedaj berete.
Da je torej fizika preko naravnega izbora v nas vgradila zgolj privid avtonomnosti, svobodne volje,
da tako nimamo občutka eksistencialne stiske - nemoči, a v resnici smo zgolj kvantno mehanski
robotki, ki jih vodi fizika.
Ali to drži?
S tako mehanicistično zastavljenimi pravili življenja, človeške zavesti, ko je vse v nulo determinirano
in da človek ne odloča o ničemer - se večina ljudi, tudi večina znanstvenikov, ne strinja.
Druga zgodba so biološki procesi, ki so vseeno v veliki meri avtomatizirani in plod nagona,
tudi človeški možgani pod vplivom drog ne delujejo avtonomno, tukaj je še vpliv okolja in vzgoje ter dednosti.
A večinsko prepričanje strokovnjakov je, da vsaj občasno, dopustijo
možganom veliko mero avtonomnosti - svobodne volje za bodoče korake, načrte, dejanja.
Če nismo vsaj delno avtonomni v mislih in dejanjih, potem tudi ni morale in je vse dovoljeno.
Zagotovo fizika velja, a težko se zdi, da bi vesolje imelo načrt za vsak atom, molekulo, misel.
Imajo pa zakoni narave to lastnost, da dopuščajo, pri danih pogojih (Zemlja), tudi življenje, človeka ...
Seveda pa se ta razvija znotraj zakonov fizike, narave ... a v stohastični (naključni) urejenosti,
kar mu utemeljeno
daje zavest o avtonomnosti, svobodni volji.
A vseeno je vprašanje svobodne volje še naprej odprto!!!
Če bi se še vesolje enkrat rodilo, pod enakimi pogoji,
bi seveda bila fizika enaka, tudi fizična podoba vesolja bi bila enaka, podoba zvezd, planetov,
a ne čisto ista,
ne bi bila kopija tega sveta. Kot noben človek ni kopija
zgolj enega človeka, to se opazi tudi pri razlikah med dvojčki, ki niso majhne.
To velja. če velja kvantna mehanika - stohastični procesi - če pa današnja fizika ne velja,
potem je to druga štorija.
Geometrija velikih hitrosti in treh sistemov
Geometrija velikih hitrosti in treh sistemov - in povezave med njimi (ti primeri se v slo. večinoma ne učijo).
V sistemu S' se premika voziček v smeri x'.
Sistem S' potuje glede na sistem S s hitrostjo v,
v tem sistemu S' meri opazovalec čas dt' in premik dx' za premikajoči se voziček.
Lahko pa postavimo še tretji opazovalni S'' kar na voziček.
Vse metrike ('vertikale' cτ) morajo biti enako dolge za vse tri nepospešene opazovalne sisteme:
ds2 = ds'2 = ds''2
A)
V sistemu S velja metrika za gibajoči voziček (ki potuje v x' smeri v sistemu S'):
ds2 = -c2 dt2 + dx2
B)
V sistemu S' pa velja metrika:
ds'2 = -c2 dt'2 + dx'2
Lorentzov člen γ = 1/(1 – v2/c2)1/2.
Zagotovo velja povezava med časoma dt in dt' in sicer
dt' = dt/γ
in poiščimo še povezava med dx' in dx, v tem primeru velja
dx = dx'/γ (krčenje dolžin)
Končni rezultat je torej povezava med sistemi.
ds''2 = ds'2 = ds2 = -c2dt'2 + dx'2
= -c2 dt2/γ2 + γ2dx2
|
|
Centripetalna sila pri enakomernem kroženju (oznaka Fc ali Fr):
Za enakomerno kroženje velja za hitrost enčba:
v = obseg/čas_obhoda = 2πr/to = r(2π/to) = rω.
A kljub temu je enakomerno kroženje pospešeno gibanje, saj se vektor tangentne hitrosti ves čas kroženja
po smeri spreminja (glejte sliko).
Na poti, ki je del krožnice, veljajo naslednje povezave med zasukom dφ, polmerom (r),
hitrostjo (v) in potjo (ds = rdφ ≈ dr ) in (dv ≈ vdφ) – gre za vektorske količine. Radialni ali centripetalni
pospešek, ki kaže proti centru kroženja, je torej:
ar = dv/dt = vdφ/dt = vω = rω2 = v2/r
Če upoštevamo, da je gibalna količina krožečega delca p = mv, lahko centripetalno silo
izrazimo tudi z odvodom gibalne količine po času, za spremembo vektorja gibalne količine dp = p2 - p1 spet velja:
dp ≈ mvdφ = pdφ
in tako dobimo izraz za silo izražen tudi z gibalno količino:
Fr = dp/dt = pdφ/dt = pω = mrω2 = mv2/r
Pri velikih hitrostih moramo dodati še Lorentzev člen γ, ko velja p = γmv.
Tako je radialna sila kar:
Fr = dp/dt = γmrω2 = γmv2/r = γmar