Temperatura Sončevega in Zemljinega površja (iz Štefanovega zakona)Jožef Stefan (* 24. marec 1835, Sveti Peter pri Žrelcu, sedaj predel Celovca, † 7. januar 1893, Dunaj). Zapišimo nekaj podatkov, ki jih bomo rabili za spodnje izračune, ocene: - Štefanova konstanta je: so = 5.670400(40)*10-8 W.m-2.K-4, - razdalja Zemlja-Sonce je približno: ao = 149.6 milijonov km, - povprečen polmer Zemlje je: rz = 6371.0 km, - polmer ekvatorja Sonca je: ro = 6.96342*105 km, kar je 109 polmerov Zemlje. - gostota energijskega toka iz Sonca, ki pade na povšino atmosfere Zemlje: jo = 1366 W/m2 j_max = 1367 * (1 + 0.03344 * cos(gama-0.048869)) Efektivno temperaturo Zemljinega površja Tz izračunamo z ravnovesjem med prejeto energijo iz Sonca (1366 W/m2 skozi površino preseka Zemlje) in energijo, ki jo Zemlja odda. Obe energiji sta torej na dolgi rok v sevalnem ravnovesju - koliko dobimo, toliko oddamo, izsevamo. Če se spremeni odbojnost ali izsevnost Zemlje (atmosfere), recimo zaradi toplogrednih plinov, se temperatura ali poviša ali zniža do novega ravnovesja - kar zna usodno vplivati na podnebje našega planeta. Sevalno ravnovesno stanje Zemlje podaja preprost model v katerem igra odločilno vlogo Štefanov zakon o sevanju črnega telesa (
, ki pravi, da je gostota energijskega toka j, ki ga seva črno telo, sorazmerna četrti potenci njegove termodinamične temperature, sorazmernostni koeficient sigma pa je znan[a] tudi pod imenom Štefanova konstanta) - to je edini fizikalni zakon poimenovan po kakem Slovencu. Stefan je za izpeljavo uporabil Tyndallove (John) podatke, kjer pa je temperature pretvoril v absolutne. Na spodnji sliki je podano dogajanje med Soncem in Zemljo. Zemlja prejme energijo skozi ploskev, ki je enaka preseku Zemlje (pi*rz2), s sevanjem pa Zemlja oddaja energijo po celotni površini (4*pi*rz2). Pri tem je potrebno upoštevati še odbojnost (a = 0,3) in emisivnost Zemlje (
= 0,612 - Zemlja torej še zdaleć ni črno telo, črno telo ima namreč emisivnost 1).
Na levi strani, spodnje bilančne enačbe, je dotok energije iz Sonca (Jo = 1366 W/m^2), na desni izsevana energija Zemlje pri efektivni temperaturi Tz:
kjer sta a = 0,3 povprečna odbojnost Zemlje in
= 0,612 efektivna izsevnost Zemlje. Leva stran predstavlja prihajajočo energijo Sonca, desna pa odhajajočo energijo z Zemlje po Stefan-Boltzmannovem zakonu. Od tod sledi:
Povprečna temperatura Zemlje okrog 288 kelvinom, omogoča tekočo vodo in s tem razvoj raznolikih oblik življenja, ki smo ga deležni tudi ljudje ... Računanje temperature umetnega satelita, pa je v bistvu enako, kot računanje temperature Zemlje.
Omenimo še, da je Jožef Štefan prvi na svetu pravilno določil temperaturo površine Sonca To = 5775.9 K (Sonce je Zemlji najbližja zvezda, razbeljena plinasta krogla - v resnici je iz plazme, zmesi ločenih atomskih jeder in elektronov), ki nam daje praktično vse - energijo, ki jo porabljamo za rast, življenje, je tudi gonilo vremena - vodnega kroga, določa seveda, kar je bistveno in smo že omenili, tudi temperaturo planeta. Če bi bili nekoliko bližje ali dlje od Sonca, bi nam bilo ali prevroče ali premrzlo in ... Kako izračunamo temperaturo površine Sonca?
![]() | ![]() |
Izsev Sonca L na njegovem površju in izsev Lo na površju krogle polmera
oddaljenosti Zemlje, sta enaka
(izsev L skozi "kroglo", katere polmer sega od Sonca do Zemlje, je anak
izsevu na površini Sonca, le gostoti energij sta različni, saj velja: j = L/S).
Štefan je ta izračun izvedel leta 1879, takoj ko je prišel do lastnega
zakona o sevanju črnega telesa:
.
To je (kot smo že omenili) prva smiselna vrednost temperature površine Sonca,
ki jo je seveda izračunal Jožef Štefan iz lastnega zakona o sevanju črnega telesa.
Ta zakon je pozneje tudi teoretično izpeljal Štefanov učenec Ludwig Boltzmann,
zato se kdaj imenuje tudi Stefan-Boltzmannov zakon. Mnogi zahodni
viri omenjajo samo Stefanov zakon - kar je tudi bolj korektno, saj ga je prvi
pravilno zapisal, uporabil in interpretiral prav Stefan.
-----------------------------------------
Nekaj utrinkov iz Štefanovega življenja.
Pot do sevalnega zakona Stefan je zakon o sevanju objavil 20. marca 1879 v članku "O odnosu med toplotnim ravnovesjem in temperaturo" (Über die Beziehung zwischen der Wärmestrahlung und der Temperatur) v Poročilih z zasedanj dunajske Akademije znanosti. Iz razprave je razvidna njegova pot do odkritja zakona. Rokopis povzetka članka je vseboval štiri strani formata A4, rokopis celotnega članka je bil dolg 61 strani, tiskan članek pa je imel 38 strani. Draperjeve meritve izseva žice (in posredno Tyndallove iz Wülnerjevega učbenika) pri dani barvi (temperturi). T_abs. tem. K pov_izsev T^4 (odvisnost vpelje Stefan) ------------- --------- ------------------------------ 800 0.87 4.096E+11 864 1.1 5.57256E+11 927 1.5 7.38446E+11 991 1.8 9.64483E+11 1055 2.2 1.23882E+12 1119 2.8 1.56791E+12 1183 3.7 1.95857E+12 1247 5 2.41805E+12 1311 6.8 2.954E+12 1375 8.6 3.57446E+12 1439 10 4.28789E+12 1502 12.5 5.08955E+12 1566 15.5 6.01405E+12Še nekaj primerov uporabe zgoraj zapisanih enačb.Graf izseva glede na absolutno temperaturo na četrto potenco (T4). To dvoje je preko analiz Draperjevih meritev vpeljal Jožef Stefan in prišel do zakona o sevanju teles z dano absolutno temperaturo T. Nekaj fizikov je očitalo Stefanu, da je bila njegova pot do zakona precej majava. Naredili bi mu veliko krivico, če bi mislili, da je odkril zakon na slepo. Veliko srečnih naključij je vplivalo na njegovo določitev, kar se pogosto zgodi pri mnogih pomembnih odkritjih. Z meritvijo toplotne prevodnosti je bil prepričan, da Dulong-Petitov zakon ne velja, obvladal je kinetično teorijo plinov in uporabil absolutno temperaturo. Dulong-Petitov zakon je uporabljal še Celzijevo temperaturo.Zakon so začeli preverjati tudi drugi. Leta 1880 ga je potrdil Graetz in leta 1884 Christiansen.
Odlomek iz Stefanovega članka objavljenega 20. marca 1879 z naslovom "O odnosu med toplotnim ravnovesjem in temperaturo" (Über die Beziehung zwischen der Wärmestrahlung und der Temperatur) v "Poročilih z zasedanj dunajske Akademije znanosti". Iz razprave je razvidna njegova pot do odkritja zakona. Vir zgornje slike: Sandi Sitar - "Jožef Stefan - pesnik in fizik". Glej (zgoraj) pojme v nemščini, oz. zveze, kot so "... der vierten Potenz ... (na četrto potenco)" in "... der absoluten Temperaturen 273+1200 ... (absolutnih temperatur 273+1200)". To sta dva izjemna prispevka Stefana (absolutna temperatura in četrta potenca le te) k rojstvu novega univerzalnega zokona fizike, oziroma narave. Z meritvijo toplotne prevodnosti plinov je Stefan spoznal, da je le absolutna temperatura lahko merilo za kinetično energijo delcev. Obvladal je torej že dodobra kinetično teorijo plinov in je kot prvi na svetu uporabil absolutno temperaturo za določitev izseva v odvisnosti od temperature. Vedel je, da je hitrost pri trkih ali nihanjih delcev direktno povezana z intenziteto pospeškov delcev, ki posledično pomenijo izsevano elektromagnetno valovanje (po klasični sliki). Bravo Stefan - sin mlinarske družine: L/S ali P/S =
![]()
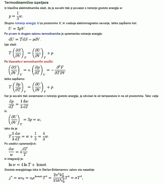
Termodinamična izpeljava (Boltzmannova pot, bil je štefanov učenec).
- zgoraj je prvi del izpeljave iz Planckovega zakona. Vir: http://sl.wikipedia.org/wiki/Stefan-Boltzmannov_zakon Boltzmannovo delo so mnogi znanstveniki tedaj ostro napadli, ker je tako kot njegov prof. Stefan, zagovarjal kinetično teorijo plinov in je v 1870. letih objavil več člankov, kjer je uvedel statistično razlago 2. zakona termodinamike. 2. zakona termodinamike je entropijski zakon, ki govori o spremembi entropije sistema pri dovajanju toplote (razpršenosti energije in lege delcev). Ludwig Boltzmann je leta 1906 v Devinu pri Trstu naredil samomor (nekateri trdijo, da tudi zaradi napadov nasprotnikov na njegove fizikalne teorije). Sledijo razmišljanja (grobe poenostavitve), ki so bolj intuitivna pomoč za lažjo predstavo fenomena temperature v povezavi z gibanjem molekul in hkrati, zaradi pospeškov nabitih delcev (trki, rotacije, nihanja, itn), navezava na elektromagnetno sevanje ("svetlobo"). Seveda bolj v klasični kot kvantni sliki sveta. Vse z namenom, da bi dojeli Stefanov zakon na nivoju atomov. Najprej groba povezava potence T na 4 (tako čez palec) iz moči sevanja dipola. Recimo da snov sestavlja množica dipolov katerih nihanje, rotacijo, itn, določa temperatura, oz. obratno. Vako pospešeno gibanje nabitih delcev pomeni elektromagnetno valovanje - izgubo energije v obliki sevanja. ----------------------------------------------------------------------
Ponovimo najprej povezavo med magnetnim poljem B in električnim poljem E pri elektromagnetnem valovanju. Velja, da je B = Ec in za amplitudo Zo nihajočega dipola velja odmik Z = Zo cos(wt). w = 2pi/to, to je nihajni ali tudi obhodni čas. Frekvenca je 1/to. Pospešek a je dvojni odvod odmika po času: a = d^2Z/dt^2 = -w^2 Zo cos(wt). Pospešek a je torej sorazmeren s frekvenco na kvadrat. Polje na razdalji r od naboja e je Er in je sorazmerno z e/r^2 - velja za točkast naboj, Pravokotno na smer nihanja je sprememba polja Er na razdalji r od naboja kar Er * v/c. Ker je hitrost v povezana s pospeškom a kot v = a*t in t = r/c velja: E = Er*a*r/c^2. Spremenljivo polje nihajočega dipola E je torej sorazmerno s pospeškom a in posledično s frekvenco na kvadrat. Gostota oddane energije je sorazmerna s produktom BE ali kar E^2. Gostota oddane energije je torej sorazmerna s frekvenco na 4. Spodaj je korektna formula za izsevano moč.
Zgoraj je podana moč P sevanja dipola (p=er) z dano frekvenco. Zapisimo še Wienovo zakon:
Zakon pravi, da je zmnožek valovne dolžine vrha spektralne gostote sevanja črnega telesa in njegove absolutne temperature T konstanten! Enak zakon podan s frekvenco pa je:
Če v izrazu za moč dipola zamenjamo frekvenco v odvisnosti od temperature (Wienov zakon), dobimo željeno zvezo in sicer, da je moč izseva odvisna od temperature na četrto potenco. To je "izpeljava" Stefanovega zakona zelo čez palec ...! Kot zanimivost. Kot vemo je kinetična teorija plinov povezala kinetično energijo atoma s temperaturo (to sliko je zagovarjal tudi Stefan):
. Kaj pa je z energijo fotona - špekulacija? Energija fotona (Ef) se izraža kot produkt Planckove konstante h in frekvence - velja: Ef = h/to. Če podamo analogijo s kinetično energijo molekule v povezavi s temperaturo, bi lahko dejali, da je energija fotonov sorazmerna s temperaturo in iz tega sledi grob sklep, da je tudi frekvenca sorazmerna s temperaturo - kar pa podaja tudi Wienov zakon.
Temperatura idealnega plina je merilo povprečne kinetične energije molekule:
![]()
![]()
Grafa zgoraj ponazarjata porazdelitev gostote izseva po valovnih dolžinah za telesa z različnimi temperaturami. Tako porazdelitev najbolje opisuje (že omenjeni) Planckov zakon, maksimume izseva pa določa temperatura, kar opisuje Wienov zakon. Danes Stefanov zakon o sevanju črnega telesa izpeljujemo iz Planckovega zakona. Spektralna gostota črnega telesa je po Planckovem zakonu enaka:
![]()



The Stefan number,
St or Ste, is defined as the ratio
of sensible heat to latent heat. It is given by the formula
where Cp is the specific heat, dT is the temperature
difference between phases, and L is the latent heat of melting.
It is a dimensionless parameter that is useful in analyzing a
Stefan problem. The parameter was developed from Josef Stefan's
calculations of the rate of phase change of water into ice on
the polar ice caps.
Povzel V. Zorko