Kalkulator za računanje verjetnosti poplav z dano povratno dobo: stabilnost| teorija| grafi|

Čeprav je ta kalkulator narejen za računanje povratnih dob poplav (verjetnosti ponovitev), je uporaben tudi za ostale ekstremne vremenske dogodke.

Vpiši povratno dobo (recimo 50 - letne poplave)

Verjetnost dogodka v %

letne poplave %
Vpišite obdobje - število let (recimo v naslednjih 10 letih), za katero te zanima verjetnost ponovitve
Verjetnosti je %, da se letne poplave zgodijo (r>=1x) v naslednjih letih
letih  

 

Verjetnost, da bi se poplave ponovile r = krat = % [binomska porazdelitev]
Pri večjih številih izračun odpove - problem JS.

Metoda je: PT = 1 - (1-P)^n
PT - je verjetnost, da se poplave zgodijo v naslednjih n letih vsaj enkrat.
P = 1/T - je verjetnost (probability) dogodka (poplav) s povratno dobo T (recimo da je T enako 50) v enem letu.
n - število (naslednjih) let, znotraj intervala katerih računamo verjetnost za ponovitev poplav (recimo 20).

Primer:
T = 50 - povratna doba poplav je recimo 50 let,
n = 20 - da se poplave zgodijo v naslednjih 20 letih,
je verjetnost PT
PT = 1 - (1 - 1/50)20 = 0.332392028 je 33.2% verjetnost
--------------------------------------------------------------------

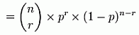
Verjetnost, da se dogodek (P = 1/T) zgodi točno r krat v obdobju n let se izračuna z 
binomsko porazdelitvijo (za dolga obdobja je to kar Poissonova porazdelitev):


ali
               n    r      n-r
   B(r,n,p) = ( )  p  (1-p)
               r
 n    
( )  = n!/(r!(n-r)!)
 r

Recimo, da bi se za zgornje podatke vprašali po verjetnosti, da se
v desetih letih točno 2x ponovijo padavine s povratno dobo 50 let (P = 1/50 = 0.02)?

Rezultat je:

B(2,10,0.02) = (10!/(2!(8!)))*(0.02)^2*(1-0.02)^8 = 1.53%

10! = 3628800
 8! = 40320
10!/(2!(8!)) = 10*9/2

Če je kdo pozabil, kaj je fakulteta (tudi faktoriela) n!:
n! = n*(n-1)*(n-2)* ...*(1)
Primer za 5!
5! = 5*4*3*2*1 = 120


Izračun velja za povratne dobe več kot leto
(če je enota leto). 



Samo delno povzeto po:
http://www.srh.noaa.gov/epz/?n=wxcalc_floodperiod


Glej tudi - Return period.


*** Uporabi javascript kalkulatot za računanje povratnih dob - Gumbelova porazdelitev.

---------------------------------------------------------------
---------------------------------------------------------------


Še beseda o povratnih dobah, metodah izračunavanja, 
o ozadju časovne stabilnosti procesov na Zemlji, ... 

Povratna doba T (return period), znana tudi kot interval ponovnega pojava 
(recurrence interval), je ocena časovnega intervala med dogodki (bolje rečeno med leti), 
kot so potresi, poplave, pretoki rek, itn, določenih intenzivnosti 
ali velikosti. Povratne dobe se računajo na podlagi statistike dolgoletnih 
meritev. Uporabljajo se pri analizah tveganj (npr. pri odločitvah, 
ali naj se gre v nek projekt [gradnja mostov, odtokov, jezov, nasipov ...], 
in če - kako ...?). 

Še opozorilo glede razlikovanja med časovno gostoto dogodkov 
in povratnimi dobami.
Če neko zaporedje ekstremnih letnih dogodkov (recimo padavin) porazdelimo 
po velikosti,takoj opazimo, da se lahko neka vrednost iz začetka zaporedja v 
naslednjih členih vrste ponovi večkrat - a jo štejemo v vseh naslednji členih 
samo enkrat na dano leto.
Leto je namreč večinoma privzeto kot osnovna enota za računanje povratnih dob.
Če pa bi šteli vse dogodke nad neko vrednostjo v nekem obdobju,
pa bi s tem dobili gostoto dogodkov, kar pa seveda ni enako
ocenjevanju povratnih dob.
Lahko se seveda vzame tudi drugačne enote za povratne dobe (več ali manj kot 
leto), a za naravne pojave se taka odločitev sprejme le v redkih primerih, 
saj so le ti večinoma vezani na letni podnebni cikel.

Nas torej NE zanima, koliko krat se rcimo v nekem letu zgodijo poplave,
zanima nas samo, ČE SE ZGODIJO in s kako intenzivnostjo (večinoma obravnavamo
torej ekstremne - izjemne, redke dogodke). 

To je grob pregled - za morebitne nedoslednosti se opravičujem,
tudi nastajal je kot zlepljenka, zato se kdaj kaj ponovi ...,
- pregled pa predviteva, da poznamo nekaj osnov statistike, 
naravne procese, da smo radovedni, 
- določena poglavja lahko izpustite, saj se dotikajo širše tematike, 
recimo razlogov za relativno stabilne procese na našem planetu (podnebje), 
astronomska ozadja, ...

Zmotno je prepričanje, da se povratne dobe računajo zgolj za ekstremne dogodke
(recimo ekstremne dnevne, urne padavine, maksimalne sunke vetra, maksimalne
letne pretoke rek, temperature, itn).
Računajo se tudi za kumulative (recimo za letne vsote padavin,
snega, sončevega obsevanja, ...), lahko tudi za povprečne temperature,
vetrove, vlage, tudi za povprečja iz maksimumov in minimumov temperatur,
lahko za pojave, recimo za št. dni z meglo, slano, s snežno odejo, padavinami,
viharnim vetrom, z razelektritvami, točo, vročimi, mrzlimi dnevi, oblačnostjo,
št. dni z nekim pragom, ...
Seveda se računajo tudi pri drugih nemeteoroloških pojavih, recimo v tehniki, 
ekonomiji, biologiji, gradbeništvu, ...


Nekaj besed o verjetnosti dogodkov

Verjetnost je število, ki nam pove, kolikšna je možnost, da se zgodi 
nek dogodek. Verjetnost je tudi temeljni pojem verjetnostniega računa.

Oglejmo si niz dogodkov, v katerem imamo n med seboj enakovrednih izidov. 
Opazujmo dogodek A, za katerega je 
ugodnih m izidov. Po klasični definiciji je verjetnost dogodka A 
[P(A) - mi bomo pisali kar P] razmerje med številom ugodnih izidov in 
številom vseh možnih izidov:

P = m/n = število ugodnih izidov/število vseh izidov

Črka P izhaja izlatinščine: probabilitas = verjetnost.
Angleški izraz "Probability" izhaja iz latinskega.
 
Zgled I: 
v nekem mestu živi 5814 prebivalcev. Trenutno je v tem mestu 932 
prebivalcev z dokončano srednjo šolo. Kolikšna je verjetnost, da ima na 
slepo izbrani prebivalec tega mesta srednješolsko izobrazbo?

P = 932/5814
 
Rezultat še okrajšamo, ali pa ga zapišemo v decimalni obliki 
ali pomnoženega s 100 v procentnem zapisu:

P = 932/5814 = 0.16

V procentih je to:

P(%) = 0.16*100% = 16%

Zgled II: 
nanaša se že na oceno povratnih dob T.

Recimo da poznamo deset let (n=10) maksimalnih letnih pretokov 
neke reke. V tem obdobju izmerimo m=4 primere pretokov z vrednostjo 112006
ali več m^3/s.
Kolikšna je torej bila verjetnost, da je bil izmerjen pretok 112006 ali več m^3/s?

P = 4/10 = 0.4

Verjotnost je bila 40%.

Da pa se tak pretok ni zgodil, izmeril, pa je bila verjetnost F:

F = 1 - P = 1 - 0.4 = 0.6

Še zmeraj smo pri primeru II.
Kaj pa napoved bodočih dogodkov iz porazdelitve dogodkov
v preteklosti?
Kot bomo videli, obstajajo določene razlike v oceni verjetnosti za pretekle 
dogodke in ocene verjetnosti za bodoče dogodke. Torej, da na danem nizu meritev, 
dejstev iz preteklosti, sklepamo na prihodnje ponovitve. In to bo naša naloga.

Če sklepamo iz preteklih porazdelitev, je povratna doba T definirana kar kot 
obratna vrednost verjetnosti, da se dogodek zgodi, 
- oziroma je verjetnost "p" obratna s povratno dobo "T":

P = m/n = 1/T  (še enkrat, velja za preteklost, ko so izmerki neizpodbitni)

Za naš zgornji primer je povratna doba T = 1/p = 1/0.4 = 2.5 (let), kar izhaja
iz meritev, iz dejstva, da se je v desetih letih pretok reke 112006 ali več m^3/s
ponovil 4x in če delimo 10 let meritev s 4, dobimo za povratno dobo 
vrednost 2.5 let (10/4 = 2.5). Rezultati veljajo za nazaj in kot bomo videli,
le delno tudi za naprej.



Analiza tveganja (Risk analysis - R)!
----------------------------------
Kaj pa napovedi za bodočnost?
-----------------------------
S tem se ukvarja kumulativna frekvenca analiza (Cumulative frequency analysis).
Kot bomo videli, se porazdelitev iz preteklosti nikoli 
ne preslika direktno v prihodnost, ampak se skoraj zmeraj (so izjeme) 
uteži tako, da se verjetnost nekoliko zmanjša. 
Govorimo o kumulativni verjetnosti (cumulative probability)
Je več metod, po Weibullu velja:

P = m/(n+1) = 1/T 

Kot je bilo omenjeno, je formul več (imenuje se tudi - plotting position formula 
- kar nekaj je diskusij o relevantostni teh formul).
 
Računanje povratnih dob, 
- že po sami logiki taki izračuni ne dajo 100 procentne gotovosti,
da se bo nek dogodek zares zgodil, recimo v naslednjih desetih letih,
samo zato, ker se je zgodil v preteklih desetih letih. To je upoštevano tudi 
v zgornjem kalkulatorju. 
Večinoma je verjetnost dogodka s povratno dobo T v naslednjih
T letih dobrih 63%,
- ali več pri krajših povratnih dobah (pod 50 let).
Dobrim 98 % se približamo v času 4*T (štirikrat povratna doba).

Če je verjetnost F, da se dogodek v enem letu (ali v določeni časovni enoti, intervalu) 
ne zgodi, enaka:

F = 1 - 1/T

Kako izračunamo verjetnost R (Risk analysis ), da se v naslednjih n letih 
zgodi vsaj ena ponovitev?
Ker je verjetnost F vsako leto enaka, je verjetnost za več let
enaka produktu verjetnosti, saj so dogodki neodvisni.
Za dve leti velja produkt: (1 - 1/T)*(1 - 1/T) = (1 - 1/T)^2

Da se bodo, recimo poplave, ali visoki pretoki, zgodili vsaj enkrat 
v naslednjih n letih pa torej velja R = P(X >= 1):

R = 1 -  (1 - 1/T)^n

Povezavo za verjetnost R smo uporabili v zgornjem kalkulatorju.

Verjetnost, da se dogodek (P = 1/T) zgodi točno r krat v obdobju n let se izračuna z 
binomsko porazdelitvijo (za dolga obdobja je to kar Poissonova porazdelitev):


ali
               n    r      n-r
   B(r,n,p) = ( )  p  (1-p)
               r
 n    
( )  = n!/(r!(n-r)!)
 r

Kalkulator za binomsko porazdelitev je tudi dodan na vrhu te strani.

--------------------------------------------------------------------------

Na spletu je več kalkulatorjev za verjetnost dogodkov, recimo:


http://stattrek.com/online-calculator/binomial.aspx

Za T = 50 let (P = 1/50 = 0.02), se bo dogodek zgodil v naslednjih n = 10 letih 
zgolj r = 2x z verjetnostjo 0.0153137344064721.


Ali na:
http://www.ciphersbyritter.com/JAVASCRP/BINOMPOI.HTM







A)
Začnimo s primerom in "preprostim" sklepanjem 
glede povratnih dob T


Primer, kako sta lahko graf in tabela (spodaj) - porazdelitev pretokov reke 
po velikosti za n let (n=10) - dobra pomoč pri oceni
povratnih dob.




Kako torej oceniti povratne dobe T znotraj intervala desetih let?
Ko podatke razvrstimo po velikosti, že iz razvrstitve lahko
preberemo, da je prvi dogodek v koloni tisti, ki se po
meritvah sodeč, zgodi vsako leto (T je 1), zato ima 
povratno dobo okrog enega leta. Je podmnožica ostalih v vrsti.
Zagotovo pa bi se naj dogodek zgodil tudi v n+1 letih (po Weibullu), 
zato se realna ocena povratne dobe lahko izračuna kot (n+1)/m, kar da 1.1 leta. 
m je št. dogodkov v obdobju meritev. Drugi pretok v koloni bi se naj 
zgodil 9x, zato ima povratno dobo nekoliko daljšo (10+1)/9 = 1,2 leti,
tretji bi se naj zgodil 8x, zato ima povratno dobo (11)/8 = 1,4 leta,
in tako naprej - glej tabelo, kolono "T = povratna doba".


rang_i	letopretok[m^3/s]	m = št_dogodkov	T = povratna doba = (n+1)/m [let]	
----	-----	--------	--------------	--------------------------		
1	1976	57406	  	10		1.1  = (10+1)/10		
2	1972	75806		9		1.2		
3	1970	81806		8		1.4		
4	1977	95106	 	7		1.6 = (10+1)/7		
5	1974	99706 		6		1.83		
6	1973	112006 		5		2.2		
7	1979	112006	 	4		2.8		
8	1975	114006 		3		3.7   = (10+1)/3	
9	1971	123006 		2		5.5		
10	1978	147006 		1		11  = (10+1)/1	

Pretok okrog 57406 m^3/s se bo zgodil vsako leto (T = 1.1 let),
pretok 112006 m^3/s pa vsaki dve dobri leti (T = 2.2 let),
glej desni stolpič.



Graf meritev pretokov glede na povratne dobe T iz zgornjega primera - tabele.
Tak graf je zelo pomemben za razumevanje teksta, ki sledi.
Še vprašanje.
Katera funkcija bi se, tako iz prve, najbolj prilegala točkam na grafu?


Povratno dobo T dogodka lahko v splošnem poiščemo kot:

T = (n + B)/(m - A) =  1/P

Kjer n število let, m pa število dogodkov s to ali večjo vrednostjo (recimo polav)
v n letih. A in B sta konstanti, katerih vrednosti sta odvisni 
od metode, oziroma vrste dogodkov in analiz.
Večinoma, tudi mi v zgornjem primeru, privzamemo za A vrednost 0 
in za B vrednost 1. Kot bomo videli, se formula za T izraža še
v drugih oblikah, oz. definicijah.
Preko enačbe za P, ozoroma analiz podatkov, pridemo do porazdelitve 
verjetnosti (probability) dogodka (recimo poplav) s povratno dobo T, 
da se le ta zgodi v enem letu.

P = (m - A)/(n + B)

F pa je verjetnost, da polav v enem letu ni, F se zapiše kot:

F = 1 - P = 1 - 1/T

Mi smo privzeli, v primeru pretokov, da je B = 1 in A = 0. Pozneje
bomo videli, zakaj B ne sme biti nič - zaradi verjetnosti dogodkov.
Kako bi določili F? Če F = 1 - 1/T, velja, da je F = 1 - 1/(n+1)/m = 1 - m/(n+1),
torej je F = (n + 1 - m)/(n+1) = i/(n+1).

i	F =  i/(n+1)	pretoki
--	-----------	-------
1	0.090909091	57406
2	0.181818182	75806
3	0.272727273	81806
4	0.363636364	95106
5	0.454545455	99706
6	0.545454545	112006
7	0.636363636	112006
8	0.727272727	114006
9	0.818181818	123006
10	0.909090909	147006


Graf - zgoraj - pretokov po F (relativnemu rangu ali verjetnosti, da takega 
pretoka v enem letu ne bo), je praktično enak grafu pretokov po rangu i, 
slika spodaj. 
V našem  primeru je n = 10, saj gre za niz 10-letnih meritev, sortiranih po velikosti.
Porazdelitev F glede na meritve, bo eden glavnih poudarkov v nadaljevanju teksta.



Zelo pogosto pa se postavi bolj ali manj utemeljeno vprašanje, 
kako oceniti ekstremne dogodke za daljše časovno obdobje T, za katero 
pa seveda nimamo meritev?
Recimo za T je 50, 100, 500 ali več let.

POJMI (T, F, P), KI SMO JIH SPOZNALI NA DANEM PRIMERU, SO IZJEMNO
POMEMBNI ZA RAZUMEVANJE TEKSTA V NADALJEVANJU !!!!!!!!!!!!!!!!!!
-------------------------------------------------------------

 
ZA POKUŠINO JE SPODAJ NEKAJ GRAFOV KI PRIKAZUJEJO SORTIRANE MERITVE:
pretoke, maks. temperature, maksimalne vetrove, letne vsote padavin
- kjer ni navedene lokacije, so podatki vzeti iz spleta.

Takih grafičnih predstavitev praktično ni moč najti v literaturi (razen primer 
za vzorec, kar pa ne da generalne slike za več spremenljivk - ki je še kako pomembna). 
Vzorci so zelo poučni, preko njih veliko lažje razumemo verjetnoste porazdelitve,
ki so pomemben del teorije povratnih dob. 

Praktično na vseh grafih bomo opazili podoben vzorec (porazdelitev).
Porazdelitve tvorijo nek hribček, ki je najprej
dokaj strm, nato strmina počasneje narašča in proti desnemu
koncu (vrhu) spet hitreje. 
Tako porazdelitve bolj ali manj dobro pokrijejo Weibullova, Gumbelova, 
Frechetova ali še kaka druga funkcija. Najprej si oglejmo Weibullovo funkcijo: 

F = 1 - exp(-(x/alfa)^beta), 

- no, kot smo že omenili, obstajajo še mnoge ostale možne porazdelitve dogodkov in
funkcije, ki se solidno prilegajo različnim vzorcem (recimo Pearsonova).


POZORNO SI TOREJ OGLEJMO GRAFE

Najprej graf realnega časovnega zaporedja dogodkov - sponji graf
letnih dnevnih ekstremnih padavin za padavinsko postajo Železniki.


Nato pa različne sortirane podatke (letne ekstreme, itn),

- kako se oblika porazdelitve spreminja od leve proti desni, ...






In kakšna izgleda oblika krivulje Weibullove funkcije (?): 

F = 1 - exp(-(x/alfa)^beta)

Najprej je prikazan graf meritev - v tem primeru vetra - glede na
že omenjeno verjetnost F = 1 - 1/T, da se dogodek ne zgodi (F imenujemo 
tudi relativni rang - obstaja še nekaj imen, ki jih bomo srčali v nadaljevanju).

Meritve vetra zgoraj - spodaj pa prilagoditvena Weibullova krivulja.

Graf Weibullove funkcije: F = 1 - exp(-(x/alfa)^beta)
se dobro prilega meritvam (za ta primer so X vrednosti v Weibullovi 
funkciji kar vrednosti vetra - koeficienta alfa in beta pa se določita
iz statistične analize - bomo razložili kako).

Podatki za zgornje grafe so vsi na dnu tega dokumenta.

--------------------------------------------------------------------------
	
Na krako še analizirajmo grafe s stališča vsakdanjega življenja, zgodovine
in vidika evolucije. Pa še razloge, zakaj je tako in ne drugače. To so
fenomeni, ki jih večinoma spregledamo - ali si zanje ne vzamemo časa.

Kaj nam povedo grafi?
---------------------
Grafi nam povedo, da je ekstremno ekstremnih dogodkov relativno malo,
so na zaćetku in koncu porazdelitvene krivulje in tudi, da je varianca, odmik
od povprečja, relativno majhna. Kar govori samo po sebi, da živimo
v relativno stabilnem okolju - klimi (stabilne vremenske razmere) - in le v  
takem okolju je tudi bil mogoč izjemen naravni izbor (evolucija), 
ki je pripeljala do tako mnogoterih in tudi kompleksnih rastlinskih 
in živalskih vrst, 
do človeka - do civilizacije, ki jo živimo (kar koli si že mislimo o njej).
No - tudi ekstremni dogodki so bili (so) pomembno sito preživetja in
s tem naravne selekcije rastlin, živali in ljudi. Da se tega prav dobro zavedamo,
priča tudi naše zanimanje za povratne dobe ekstremnih dogodkov in
napoved njihove potencialne silovitosti - 'magnitude'.


Porazdelitev recimo "x" vremenske spremenljivke, kjer je variabilnost tako visoka ali 
so v njej prisotni celo s skoki (zgornja grafa), bi pomenila, da bi tak x pojav 
najverjetneje onemogočal razvoj kompleksnih oblik življenja (kjer koli v vesolju). 
Na Zemlji takih porazdelitev (recimo vetra, padavin, koncentracij plinov v atmosferi, itn) 
ne srečamo, zato sta grafa prečrtana.
Že en velik sunek (visok vrh v porazdelitvi) lahko postavi vse na glavo.
Lahko pa, da je tak vzorec morebiti primeren za začetek 
organiziranja atomov in molekul v preproste oblike življenja.

A ni vse v stabilnosti dogajanj, recimo v atmosferi, na nekem planetu (?).
Izpolnjeni morajo biti seveda tudi ostali pogoji za razvoj življenja.
Lahko da so porazdelitve na Veneri tudi časovno zmerne (za temperature - povp. 463°C 
maks. do 500°C, vetrove, CO2 ~96,5%, itn), a kaj ko ni primerne temperature (je prevroče), 
oz. sestave atmosfere, da bi na Veneri lahko pričakovali življenje, ... 
saj ne v bližnji bodočnosti.

 
NA KAKEM PLANETU TOREJ ŽIVIMO?
Izjemno stabilnem!!!

 
Stabilnost našemu planetu dajejo predvsem astronomski dejavniki:
---------------------------------------------------------------- 
- orbita, ravno pravšnja razdalja Zemlje do Sonca nam omogoča tekočo vodo 
  (po Štefanovem zakonu - izračun sledi), 
- Luna in Zemlja tvorita izredno stabilen sistem, 
  znotraj katerega se ohranja vrtilna količina in nagib rotacijske osi
  glede na ekliptiko (posledica so letni časi); brez Lune bi se 
  Zemlja večkrat prekucnila, kar bi usodno vplivalo na stabilnost podnebja, 
  razvoj visoko razvitih bitij, tudi človeka, bi bil praktično nemogoč;
  najverjetneje je Luna s plimsko silo (dviganje in spuščanje oceanov - naplavljanje 
  življenja na kopno) odločilno prispevala k selitvi preprostega življenja 
  iz morij na kopno (in morebiti tudi nazaj - predniki kitov, itn),
  kjer smo se razvili tudi ljudje do današnje stopnje civilizacij;
  po ocenah naj bi se v nekaj 10 v milijardah let (50) sistem Zemlja-Luna
  stabiliziral; takrat bi Luna potrebovala okrog 47 dni za obhod 
  okrog Zemlje, vrtenje katere pa bi se tudi upočasnilo na 47 
  današnjih dni; tako bi dan trajal en mesec - Zemlja in Luna pa bi si
  ves čas kazali isti obraz; a do tega skoraj gotovo ne bo prišlo,
  saj se bo izsev Sonca "že" čez 2.3 milijarde let tako povečal,
  da bodo na Zemlji izpareli vsi oceani in  - plimovanja oceanov 
  več ne bo ...,
  
  Glej tudi članek - Ali se upočasnjuje vrtenje Zemlje okrog lastne osi
- samo Soce ima ravno dovolj "skromno maso", da fuzija (zlivanje jeder v sredici Sonca),
  poteka dovolj počasi in Sonce tako stabilno sveti (seva, nam pošilja energijo) 
  milijarde let (Kaj če bi nase Soce bilo masivnejše in bi na glavni veji HR diagrama 
  ostalo samo nekaj milijard let?),
- da ima Zemlja magneto polje,
- primerno ozračje; magnetno polje in ozračje nas ščitita pred sevanjem in 
  hitrimi delci iz vesolja,
- sama masa, velikost Zemlje in dovolj raznolika (izjemna) kemijska sestava 
  (smo "otroci" supernov - prejšnjih generacij zvezd, kjer [so] nastajajo[ali] težji elementi),
  ...
Zlivanje vodika v helij - iz te in ostalih reakcijskih verig nastajanja težjih elementov (povzroča jih gravitacija v jedrih masivnih zvezd - lastna teža plina stiska sredico do temperature 10 in več milijonov K) nastaja energija, ki jo sevajo zvezde v vesolje, tudi proti Zemlji. Hkrati pa, z zlivanjem lažjih jeder v težja jedra, nastajajo kemijski elementi, kot so: He, C, O, N, ..., nastajajo (so nastali) gradniki našega planeta, življenja, nas samih - ogljikovodiki, aminokisline, itn.
Če bi nam zmanjkal eden od teh atributov, bi življenja na Zemlji ne bilo ali pa se ne bi razvilo do te kompleksne stopnje, do človeka. Prevelika variabilnost ne omogoča kompleksnih oblik življenja. Kaj pa trki v vesolju? - trki s kometi in asteroidi so večkrat skoraj prekinili tok življenja na Zemlji, iz trkov izhaja teorija o koncu velikih plazilcev - dinozavrov konec mezozoika (pred 65 milijoni let), ki so tako dali prosto pot sesalcem, našim prednikom, miškam, itn, * katastrofe torej prinesejo nekja novega, pa še, ni zmeraj prednost, če si velik, - še zanimivost, Slovenci imamo zanimivo ime za meteorit, to je izpodnebnik (en tak "kamen" je leta 1908 padel v bližini Avč), zanimiv je recimo pojem meteorne vode, grško meteron pomeni pojav na nebu, - no nekateri trdijo, da so življenje na Zemljo prinesli kometi, ... - ne samo "skromnost" Sonca (ravno pravšnja masa), tudi sama masa ostalih planetov (Merkur, Venera, Mars, Jupiter, Saturn, ...) je dovolj majhna, da se je ohranil zelo bogat kometni pas onstran Plutona, odsotnost masivnejših planetov (velikosti nekaj Jupitrov) najverjetneje pomeni masivnejše in gostejše kometne pasove, kar omogoča počasno in postopno redčenje kometnih pasov in to skozi milijarde let, posledica je dolgotrajno trkanje kometov s planeti, na katerih se tako lahko odlaga voda, nastanejo oceani, ki so vir življenja (ko so planeti mladi in vroči, je nastanek oceanov nemogoč), take razmere, glede lahkih planetov in gostega kometnega obroča, so danes tudi detektirane pri zvezdi Gliese 581 v Tehtnici (in pri zvezdi 61 Device), kjer je tudi odkrit planet dokaj podoben Zemlji v naselitveni coni, Slika zvezde Gliese 581 in okolice, posneta s teleskopom Herschel (valovne dolžine 70, 100 in 160 mikrometrov) - krogec ob zvezdi označuje notranji rob kometnega diska. Vir: http://herschel.cf.ac.uk/results/gliese-581 Primerjava orbit planetov ob Soncu in zvezdi Gliese 581. Vir: http://www.nasa.gov/topics/universe/features/Gliese_581_System.html

Zgoraj je zgolj groba skica (ni v merilu) podobe Sončevega sistema. Zemljo boste prepoznali kot tretji planet desno od Sonca s spremljevalko Luno. Ostali planeti so narisani brez lun. Naselitveno področje (habitable zone - "območje Zlatolaske" (Goldilocks Zone)) ------------------------------------- Območje naselitvene cone neke zvezde je: Rnp = Rae(Lzve/Lson)1/2 ae = astronomsk enota (pov. razdalja Zemlja - Sonce, znaša pa 150 milijonov km) Rnp - srednja razdalja naselitvenega področja (cone) za zvezdo z izsevom Lzve, Širina je Rnp ± 0.2*ae
Lson - 3.827×1026 W -------------------------------------- Nastanek letnih časov - skica, datumi kdaj odstopajo. Kako krhko je torej ravnotežje na Zemlji ... --------------------------------------------- Slikovita primerjava volumna vode zbranega v krogli glede na planet Zemljo. Kolikšen del planeta Zemlja je iz vode? Pravzaprav zelo malo. Čeprav pokrivajo oceani okoli 70 procentov Zemljine površine so ti oceani plitvi v primerjavi z Zemljinim polmerom. Zgornja ilustracija prikazuje kaj bi se zgodilo, če bi vso vodo na ali blizu Zemljine površine združili v kroglo. Polmer te krogle bi bil le okoli 700 kilometrov, manj kot polovico polmera Zemljine Lune in le malo večji od Saturnove lune Rea, ki je podobno kot mnoge lune v zunanjem Osončju večinoma iz vodnega ledu. Kako se je ta voda pojavila na Zemlji in ali je morda znaten delež vode ujet daleč pod Zemljinim površjem ostaja predmet raziskav. Dopolnjena primerjava iz 2025 - APOD. Največja modra krogla prikazuje količino, če bi vse vode na ali v bližini površja Zemlje združili v sfero (enako kot zgoraj). Naslednja najmanjša krogla prikazuje vse tekoče sveže vode Zemlje, medtem ko najmanjša krogla prikazuje količino vseh zemljinih sladkovodno jezer in rek.
Magnetno polje nas ščiti pred hitrimi delci, ki prispejo v bližino Zemlje s Sončevim vetrom. Sončno energijo potrebujemo za življenje, a ne v prav vseh oblikah (Sončev veter je že lahko zelo škodljiv, razdiralen za življenje). Magnetno polje in zrak sta naša zaščitna plašča. Zemlja in Luna posneti iz vesolja. Sistem Zemlja-Luna je izjemno stabilen. Odloča tudi o dinamiki trajanja, spreminjanja, dolžine dneva na Zemlji. V povezavi s frekvenco vrtenja Zemlje je tudi Coriolisova sila, ki je odločilna za tvorbo ciklonov in anticiklonov na Zemlji. Določeni izračuni kažejo na možnost, da je pred milijardami let obrat Zemlje trajal samo 5 ur, nakar je Luna Zemljo upočasnila (še zmeraj jo upočasnjuje, razlog je navor plimskih valov). Luna pa se hkrati, tudi zaradi plime na Zemlji, oddaljuje od Zemlje - nekaj cm na leto. Glej članek: Ali se upočasnjuje vrtenje Zemlje okrog lastne osi. Energijska bilanca Zemlje ------------------------- Večino energije nam preko sevanja pošilja Sonce. Zemlja pa v energijskem ravnovesju toliko energije - večino s sevanjem - tudi odda. Razen, če se spremenijo razmere na Zemlji. Določene fluktuacije so stalno prisotne na našem planetu, tudi na Soncu - ledene dobe, obdobja vročega vremena, se tako izmenjujejo. Tukaj je še vpliv človeka (antropogeni dejavniki) - številčnost, posegi v okolje, izpusti. ... Različni modeli in meritve podajajo rahlo različne deleže absorbirane, emitirane in reflektirane energije v obliki sevanja. Za energijsko bilanco v % glej zgornji rob slike (100% sprejete energije s Sonca preko sevanja in 70 % izsevane energije iz tal in ozračja in delno obitega sevanja 30%).
At the top of the atmosphere - Incoming energy from the sun balanced with outgoing energy from the earth.
Incoming energy Outgoing energy
Units Source Units Source
+100 Short wave radiation from the sun. -23 Short wave radiation reflected back to space by clouds.
    -7 Short wave radiation reflected to space by the earth's surface.
    -49 Longwave radiation from the atmosphere into space.
    -9 Longwave radiation from clouds into space.
    -12 Longwave radiation from the earth's surface into space.
+100 Total Incoming -100 Total Outgoing
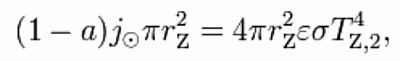
Temperatura Zemljinega površja Jožef Stefan (* 24. marec 1835, Sveti Peter pri Žrelcu, sedaj predel Celovca, † 7. januar 1893, Dunaj). Še nekaj podatkov, ki jih bomo rabili za spodnje izračune, ocene: - Štefanova konstanta je: so = 5.670400(40)*10-8 W.m-2.K-4, - razdalja Zemlja-Sonce je približno: ao = 149.6 milijonov km, - povprečen polmer Zemlje je: rz = 6371.0 km, - polmer ekvatorja Sonca je: ro = 6.96342*105 km, kar je 109 polmerov Zemlje. - gostota energijskega toka iz Sonca, ki pade na povšino atmosfere Zemlje: jo = 1366 W/m2 j_max = 1367 * (1 + 0.03344 * cos(gama-0.048869)) Efektivno temperaturo Zemljinega površja Tz izračunamo z določitvijo energije, prejete s Sonca in energije oddane z Zemlje. Obe energiji sta v sevalnem ravnovesju - koliko dobimo, toliko oddamo, izsevamo. Če se spremeni odbojnost ali izsevnost Zemlje (atmosfere), recimo zaradi toplogrednih plinov, se temperatura ali poviša ali zniža do novega ravnovesja - kar zna usodno vplivati na podnebje našega planeta. Sevalno ravnovesno stanje Zemlje podaja preprost model v katerem igra odločilno vlogo Štefanov zakon o sevanju črnega telesa (, ki pravi, da je gostota energijskega toka j, ki ga seva črno telo, sorazmerna četrti potenci njegove termodinamične temperature, sorazmernostni koeficient sigma pa je znan[a] tudi pod imenom Štefanova konstanta) - to je edini fizikalni zakon poimenovan po kakem Slovencu. Če Zemljo obravnavamo kot črno telo z izsevnostjo 1 in albedom nič, dobimo za temperaturo teoretično vrednost 279 K. ali Kjer je ao = astronomska enota (razdalja Sonce-Zemlja), R polmer Sonca, T pa je temperatura površine Sonca. Če upoštevamo še odbojnost Zemlje (albedo 0.3 - izračuni spodja), bi bila temperatura Zemlje neprimerna za življenje, to je zgolj 255 K (-18 °C), a ker imamo zrak sestavljen tudi iz toplogrednih plinov, in ker je izsevnost zemlje tako 0,612 (posledica toplogrednih plinov - greenhouse effect), dobimo tako za efektivno temperaturo Zemlje vrednost 288 K, to je +15 °C (izračuni spodaj). To je temperatura Zemlja, ki se zazna iz vesolja in ni zgolj temperature tal. Je povprečje vseh sevajočih teles Zemlje - od njene površine, do visokih nadmorskih višin. Sledijo podrobnejši izračuni. Na levi strani, spodnje bilančne enačbe, je dotok energije iz Sonca (Jo = 1366 W/m^2), na desni izsevana energija Zemlje pri efektivni temperaturi Tz: kjer sta a = 0,3 povprečna odbojnost Zemlje in = 0,612 efektivna izsevnost Zemlje. Leva stran predstavlja prihajajočo energijo Sonca, desna pa odhajajočo energijo z Zemlje po Stefan-Boltzmannovem zakonu. Od tod sledi: Povprečna temperatura Zemlje okrog 288 kelvinom, omogoča tekočo vodo in s tem razvoj raznolikih oblik življenja, ki smo ga deležni tudi ljudje ... Omenimo še, da je Jožef Štefan prvi na svetu pravilno določil temperaturo površine Sonca To = 5775.9 K (Sonce je Zemlji najbližja zvezda, razbeljena plinasta krogla), ki nam daje praktično vse - energijo, ki jo porabljamo za rast, življenje, je tudi gonilo vremena - vodnega kroga, določa seveda, kar je bistveno in smo že omenili, tudi temperaturo planeta. Če bi bili nekoliko bližje ali dlje od Sonca, bi nam bilo ali prevroče ali premrzlo in ... Kako izračunamo temperaturo površine Sonca?
Izsev Sonca L na njegovem površju in izsev Lo na površju krogle polmera oddaljenosti Zemlje, sta enaka (izsev L skozi "kroglo", katere polmer sega od Sonca do Zemlje, je anak izsevu na površini Sonca, le gostoti energij sta precej različni: j = L/S). Štefan je ta izračun izvedel leta 1879, takoj ko je prišel do lastnega zakona o sevanju črnega telesa: . Veliko je še dejavnikov, ki vplivajo na razmere na Zemlji, recimo spreminjanje orbite Zemlje, sevalna moč Sonca, itn. IN ŠE --------- Veliko je debat o smiselnosti raziskovanja vesolja, poletov na Luno, itn, predvsem zaradi denarja. Ve pa se tudi, da je, poleg človeške radovednosti in ustvarjalnosti, bila gonilo, recimo projektu Apollo, ideologija, hladna vojna - želja po prevladi med velesilama. Ljudje radi govorimo o koncu sveta (razne nebuloze, da se časopisi bolje prodajajo), zagotovo pa je začetek in konec sveta skrit globoko v vesolju. Konca ne bomo mogli preprečiti (Sonce bo naš planet čez nekaj milijard let dobesedno skurilo - konec fuzije v jedru Sonca), a zagotovo ga lahko odložimo. Zemlji "grozijo" namreč še druge "nevarnosti" in to veliko prej kot nas bo Sonce "zakurilo". Vsa ta vesoljska in vojaška tehnika hladne in tudi druge vojne, vsa ta znanja nam lahko (protislovno) še kako pridejo prav - recimo pri preusmeritvi kometov in asteroidov iz orbit, ki se križajo z lego Zemlje na ekliptiki. Dejansko so največja nevarnost Zemlji in njenemu življenju prav trčenja z asteroidi in kometi, ki frčijo v naši bližini (to kaže tudi zgodovina, življenje je bilo že večkrat na nitki). Ta vidik pa daje vsem našim raziskavam in vloženemu denarju, trudu generacij, tudi stranpotem (uporaba v vojaške namene), povsem novo, zelo pozitivno dimenzijo. Ob tej priložnosti bi torej še enkrat omenil, povzel to prav nenavadno protislovje. Žal ali na srečo je razvoj astronomije in astronavtike zmeraj šel vštric z razvojem tehnologij, ta razvoj pa je bil premnogokrat povezan z orožarsko industrijo, z vojaškimi kapacitetami velesil. Zadnji primer je bila hladna vojna (ki se žal spet oživlja), podaljšek druge svetovne vojne. Sliši se neverjetno, protislovno, noro, a prav orožje za množično uničevanje vsega živega (recimo medcelinske rakete), se lahko izkaže, da bo nekoč preusmerilo potencialni apokaliptični asteroid iz orbite trka z Zemljo. V tem primeru bi lahko rakete smrti postale rakete ohranitve življenja. To samo kaže, kako zelo težko, konsistentno povežemo - na eni strani znanost in humanizem - na drugi strani pa v glavnem nezavedni svet nagonov, klic divjine, ki nas je oblikoval - v neko odgovorno, smiselno celoto, dolgoročno preživetveno shemo za vse. TOLIKO O RAVNOVESJIH IN STABILNOSTI NAŠEGA PLANETA! ---------------------------------------------------------------------- SEDAJ, KO SMO NEKOLIKO POKUKALI V RAZLOGE, ZAKAJ JE NAŠ SVET TAK KOT JE, DA IMA TAKO IN TAKO TEMPERATURO, ROTACIJO, VODNI KROG, POGOJE ZA ŽIVLJENJE, ... PA NADALJUMO DEBATO O POVRATNIH DOBAH S POMOČJO VSAKDANJIH IZKUŠENJ Problem so ocene povratnih dob za ekstremne dogodke (rec. poplave) izven merilnega niza. Dodatni problem pa so še podnebne spremembe, oziroma poseganje človeka v vitalne procese narave. Spreminjamo rečne tokove, sestavo plinov v ozračju, mesta so toplotni otoki, izrazito posegamo v poraščenost tal, celo morja so ogrožena, ... Za oceno povratnih dob (T), recimo maks. pretokov, za obdobja in vrednosti, izven merilnega obdobja, je potrebno analizirati obstoječe podatke (zgoraj smo že naredili primer) in nato izbrati pametno porazdelitev in iz porazdelitve oceniti povratno dobo. No - tu se lahko skriva past, če gledamo zgolj matematično. Zgolj fitanje funkcije na dano porazdelitev ni prava metoda (morebiti zgolj za, časovnemu intervalu meritev, bližnje vrednosti)!!! A ljudi, že zaradi same radovednosti, predvsem pa zaradi smotrnega projektiranja - recimo odtočnih kanalov, izolacije, mostov, ostalih zgradb, ... zanimajo možne ekstremne vrednosti za daljše obdobje - kolikšen bo veter, padavine, ekstremne temperature, itn. Pomagajmo si še z že znanim grafom za vrednosti meritev od T iz zgornje tabele. Graf pretokov in povratnih dob T iz zgornjega primera - tabele. Katera funkcija bi se najbolj prilegala točkam na grafu? Če že, se odločimo (tako čez palec) za fitanje z logaritemsko funkcijo ( vrednost_dogodka = a*LN(T) + b ), da dušimo ekstremne vrednosti povratnih dob. Tudi zgornji graf nam to sugerira!!! Smo v bistvu zelo blizu pravilne (bolje rečeno vzdržne) rešitve - preko intuicije ... Še komentarček na logaritemski vzorec. V naravi je kar veliko procesov logaritemskih - dušenih, če ostanemo samo pri čutilih, recimo sluh, deloma tudi vid, ... Vrnimo se k povratnim dobam. V našem primeru je logaritemaska (ln) funkcija [ki je zgolj fitana na izmerke in na ocene povratnih dob - tabela zgoraj]: y = 32876ln(x) + 72469 R2 = 0.8796 pretok = 32876ln(T) + 72469 To je neke vrste rešitev, ki je blizu rezultatom Gumbelove metode računanja povratnih dob. Kot se bo izkazalo, je to tudi v mnogih primerih kar pravšnja rešitev - skoraj enakovredna Gumbelovi (###1). Rezultat LN fitanja je spodaj. T - pov_doba Rezultat s fitano funkcijo je leta pretok = 32876ln(T) + 72469 1.1 75602.41747 2 95256.90671 5 125380.8808 10 148168.7875 25 178292.7616 50 201080.6683 100 223868.575 250 253992.5491 500 276780.4558 1000 299568.3626 2500 329692.3367 vrednost b lahko premaknemo na ali blizu vrednosti za povratno dobo blizu enega leta. Da pa se ne ukvarjamo s subjektivnim fitanjem, se večinoma poslužujemo Gumbelove metode (točka B), oziroma matematične metode, ki jo je razvil gospod Ven Te Chow. Je pa računanje povratnih dob, za obsežna obdobja izven intervalov merjenj, v vsakem primeru zelo groba ocena za ekstremne dogodke. To nas prepričujejo tudi zadnja leta, ko se pojavljajo dogodki (recimo nalivi, poplave) - ki bi se morali zgoditi recimo vsakih 100 let, pa se dogajajo vsakih nekaj let. Z novimi meritvami se tako tudi tabele povratnih dob zelo spreminjajo, veliko je seveda tudi odvisno od obdobja, ki ga vzamemo v oceno povratnih dob. Daljše so meritve (in pod enakimi pogoji), manj bodo napovedi dogodkov zgolj akademska ocena. Seveda so smotrne tudi analize na časovnih podintervalih in primerjava napovedi, meritev ter trendov.
B) Gumbelova metoda, - izračun vrednosti za različne povratne dobe s pomočjo Gumbelove porazdelitve. Najprej zapišimo recept in nato pokažemo zakaj je tak recept lahko sprejemljiv. Gumbelova metoda temelji na linearni regresiji na grafu:
  • z x-osjo -ln(ln(1/F)) in
  • y-osjo z vrednostjo merjene spremenljivke (sortirane padavine, temperature, poplave, veter, višina snega, lahko bi poskusili tudi ekonomske spremenljivke - recimo število ur opravljenega dela za 10 kg kruha, inflacijo, število zapornikov, število obololelih za gripo, ...). F je porazdelitvena funkcija (za iskano povratno dobo T, ki je večinoma podana v letih), ki nam pove, kolikšna je verjetnost, da se v enem letu dogodek z verjetnostjo p ne bo zgodil. S povratno dobo T se izraža takole: F = 1 - 1/T = 1 - p. Y = mX + b Linearna regresija se izračuna z metodo najmanjših kvadratov, kar nam da največji delež pojasnjene variance. V bistvu je to metodo predlagal Ven Te Chow. Glej tudi 63-130-1-SM-1.pdf: http://www.google.com/url?sa=t&rct=j&q=Chow%27s+regression+method+gumbel&source=web&cd=9&ved=0CFgQFjAI&url=http%3A%2F%2Fwww.nijotech.com%2Findex.php%2Fnijotech%2Farticle%2Fdownload%2F63%2F50&ei=BHcIUMnoNJDN4QT_vqSNBA&usg=AFQjCNEZQcfvWQlpj7qjakYFXJ9_0LTO_A Velja tudi, da je F: F = (rang_i - A)/(n + B) = (i - a) / (n + 1 - 2a), ki se v tuji literaturi imenuje "plotting position formula", kdaj ga slovenimo kot relativni rang. n je število dogodkov po letih, rang_i pa je indeks i po naraščajoči vrednosti meritev. Dogodke torej najprej sortiramo po naraščajočem rangu i - po zaporedju od namanjšega do največjega - za 10 let od 1 do 10. Še enkrat: F je verjetnost ali relativni rang, da se dogodek (recimo maksimalna višina padavin pri rangu i) s povratno dobo T, v enem letu ne zgodi. Zakaj vpeljemo ravno F in ne P - verjetnost, da se pojav zgodi? F je matemtično bolj ugodna spremenljivka, sicer pa velja povezava: F = 1 - P. Tako da je ta dilema zgolj umetna. Relativni rang (tudi "numerous plotting position formula") ali F, se večinoma določi z Weibullovo metodo. V našem primeru je to (zap_st_dogodka/(n+1) ali i/(n+1) ), kar mnogi privzamejo kot splošno metodo za določitev relativnega ranga pri računanju zgolj OCENE povratnih dob. Za maksimalni veter pa je relativni rang velikokrat podan z enačbo (i-0.44)/(n+0.12). Iščemo torej tak relativni rang, da je ujemanje (korelacija) premice in meritev pri linearni regresiji kar se da veliko. R^2 (statistična pomembnost) naj bo čim bližje 1, nad 0.8 (glej tekst v nadaljevanju). V splošnem pa velja, kot smo že omenili, za relativni rang (tudi "numerous plotting position formula") naslednja formula: F = rel_rang = (i - a) / (n + 1 - 2a) Kjer a varira 0 do 0.5. Navedimo 5 največkrat uporabljenih formul: Referenca a Formula ------------- ---- ------------------------ Weibull (1939) 0 i / (n + 1) Blom (1958) 0.375 (i - 0.375) / (n + 0.25) Cunnane (1978) 0.4 (i - 0.4) / (n + 0.2) Gringorten (1963) 0.44 (i - 0.44) / (n + 0.12) Hazen (1914) 0.5 (i - 0.5) / n Seveda jih v literaturi najdemo še nekaj. Recimo iz: http://ocean.cv.nctu.edu.tw/NRCEST/teaching/statics/A%20discussion%20on%20the%20plotting%20position%20formula%20for.pdf Existing plotting position formula Authors Distribution a -------------- ------------ --- Hazen (1914) Gumbel I 1/2 Foster (1936) Gumbel I 1/2 Weibull (1939) Uniform 0. Beard (1943) Normal 0.31 Chegodajew (1955) Pearson III 0.3 Blom (1958) Normal 3/8 Tukey (1962) Normal 1/3 Grigorton (1963) Gumbel I 0.44 Cunnane All distributions 0.4 Adamowski (1981) All distributions 0.25 Kaj nam naredi parameter a? Večji je a, izraziteje se podaljšajo povratne dobe, pomeni neko nezaupanje (rezervo) do izmerjenih porazdelitev (recimo padavin, poplav). O tem nas prepriča spodnja tabela za desetletni niz in primerjalni graf povratnih dob. Various plotting position formulae (n=10, for i=10, T = 1/(1-F) ) ---------------------------------------------------------------------------- Method Formula Range of Return Sl. No. P oz. F (X > x) Period T (Years) ---------------------------------------------------------------------------- 1 Callifornia i / n 10 2 Hazen (i - 0.5) / n 20 3 Weibull i / (n + 1) 11 4 Beard (i - 0.31) / (n+0.38) 15 5 Benard (i - 0.3) / (n + 0.2) 14.7 6 Chegodajew (i - 0.3) / (n + 0.4) 14.9 7 Blom (i – 3/8) / (n + 1/4) 16.4 8 Tukey (i – 1/3) / (n + 1/3) 15.4 9 Gringorton (i - 0.44) / (n + 0.12) 18.1 10 Cunnane (i - 0.40) / (n + 0.2) 17.2 11 Adamowski (i – 0.25) / (n + 0.5) 14 ---------------------------------------------------------------------------- Graf povratnih dob za a=0 in a=0.5. Večji je a, nižje ekstreme predvideva algoritem, ki smo ga spoznali na začetku točke B. Lahko pa ponovite vajo na spletni aplikaciji: http://www2.arnes.si/~gljsentvid10/povratne_dobe_gumbel.html Na x - osi so povratne dobe T v letih, na y - osi pa pretoki reke - nas prvi primer. Weibullovo (a=0) formulo "i/(n + 1)" so dolgo uporabljali za pretoke rek - za poplave. Gringortenovo "(i-0.44)/(n+0.12)" pa za maksimalne vetrove (a=0.44). Danes v mnogih primerih že uporabljajo za a kar 0.3. Zaradi primerajlne kontinuitete analiz, pa nekateri ostajajo pri parametru a=0. Še opomba. Izraz "i/n" pa ne more biti relativni rang (čeprav se to tudi kdaj uporablja), saj bi pri zadnjem izmerku n = i dobili vrednost 1 (i / n = 1), ko bi bila verjetnost, da se dogodek ne zgodi enaka nič (F = 1 - 1 / T = 0), kar pa verjetnostne porazdelitvene funkcije (spoznanja) izključujejo. Glej tudi: Graphical Data Analysis Study of plotting position formulae Extreme Wind Speeds Software: Excel Probability Plot Related Distributions Spodaj je isti primer obdelan z Gumbelovo porazdelitvijo in izračunanih nekaj vrednosti poplav za daljše povratne dobe: REZULTAT ZA T REZULTAT SO PRETOKI sortiramo rang_i/(n+1) -ln(ln(1/rel_rang)) meritve T je pov_doba -LN(LN(T/(T-1))) Y = 24959X + 89426 leto rang_i rel_rang_F -ln(ln(1/F)) pretok[m^3/s] leta X Gumb_pretok ------- ----- ----------------------- ------------ ------------ ---- ------------ ----------- 1976 1 1/(10+1) = 0.091 -0.874591383 57406 1.1 -0.874591383 67597.07367 1972 2 2/(10+1) = 0.182 -0.533417353 75806 2 0.366512921 98573.79598 1970 3 3/(10+1) = 0.273 -0.261812562 81806 5 1.499939987 126863.0021 1977 4 4/(10+1) = 0.364 -0.011534137 95106 10 2.250367327 145592.9181 1974 5 5/(10+1) = 0.455 0.237676951 99706 25 3.198534261 169258.2166 1973 6 6/(10+1) = 0.545 0.50065122 112006 50 3.901938658 186814.487 1979 7 7/(10+1) = 0.636 0.794106012 112006 100 4.600149227 204241.1246 1975 8 8/(10+1) = 0.727 1.144278086 114006 250 5.519457577 227186.1417 1971 9 9/(10+1) = 0.818 1.606090045 123006 500 6.213607264 244511.4237 n=10 1978 10 10/(10+1) = 0.909 2.350618656 147006 1000 6.907255071 261824.1793 2500 7.823845978 284701.3718 v enačbo za pretoke Y = 24959X + 89426 smo za X vstavili -LN(LN(T/(T-1))). Graf z x-osjo -ln(ln(1/F)) in y-osjo z vrednostjo spremenljivke (v tem primeru pretokov). Fitana linearna funkcija je: Y = 24959X + 89426. Statistična pomembnost R^2 = 0.94478 je blizu 1, kar je dobro ujemanje regresijske premice z meritvami. Z njo lahko sedaj računamo povratne dobe za obdobje T let, tabela zgoraj, X je -LN(LN(T/(T-1))) Y pa je pričakovana količina (v tem primeru pretokov) *** Uporabi javascript kalkulatot za računanje povratnih dob - Gumbelova porazdelitev.
  • Še beseda o porazdelitvenih funkcijah za F. Gumbelova porazdelitev je družina zveznih verjetnostnih porazdelitev, ki je določena z dvema parametroma. Imenuje se po nemškem matematiku Emilu Juliusu Gumbelu (1891 – 1966). Gumbelova porazdelitev je poseben primer splošne porazdelitve ekstremnih vrednosti (znana kot Fisher-Tippettova porazdelitev) in dveh porazdelitev, ki sta znani kot logaritmična Weibullova in Laplaceova porazdelitev (tudi dvojna eksponentna porazdelitev). Uporablja se za prikaz porazdelitve ekstremnih vrednosti (maksimumov in minimumov) različnih porazdelitev. Posebno vlogo ima pri modeliranju ekstremnih vrednosti, ki so povezane s poplavami in količino dežja. Uporablja se tudi v gradbeništvu, kjer so še posebno zanimivi ekstremni pojavi. Zbirna funkcija verjetnosti ali porazdelitvena kumulativna funkcija, tudi CDF (cumulative distribution function).
    Graf (zgoraj levo) Gumbelove zbirne funkcije verjetnosti pri različnih parametrih. Uporabi kak program za risanje funkcij in vanj vstavi recimo enačbo exp(-exp(-($x-0.5)/0.2)), ali brez $ in se igraj s parametri, dva naslova sta spodaj: http://www2.arnes.si/~gljsentvid10/okni_grafi.html http://astro.sentvid.org/data/php_koda/okni3_2_grafi.html (graf 19) Desno je primerjava realnih meritev (zarotiran graf iz zgornjega primera) z levim grafom Gumbelove zbirne funkcije verjetnosti. Ujemanje oblike je očitno. Sedaj tudi razumemo zakaj rišemo, oziroma analiziramo spremenljivki X (vrednost meritve) in -ln(ln(1/F)). Če Gumbelovo enačbo dvakrat logaritmiramo lahko iz nje izluščimo vrednost X. To je velikost neke količine (X - recimo vrednost pretokov) za dano časovno obdobje, povratno dobo T, ki se z F izraža z že večkrat podano zvezo: F = 1 - 1/T in 1/F enako T/(T-1) Po dvakratnem logaritmiranju dobimo: -ln(ln(1/F)) = X*beta - mikro*beta -ln(ln(1/F)) lahko zapišemo kot -ln(ln(T/(T-1))), kar pa je pri velikih T jih kar približno enako ln(T), velja torej: -ln(ln(T/(T-1))) .= ln(T) (###1) A smo to povezavo že kje srečali (meritve so sorazmerne z ln(T))? Ja, na začetku debate o povratnih dobah, ko smo ugibali enačbo za računanje porazdelitev in porazdelitev dušili (fitali) z ln(T). Torej je bilo naše ugibanje kar pravšnje. A ne se zmeraj zanašati na intuicijo. Ker metoda dopušča neomejeno naraščanje ekstremov z daljšanjem povratne dobe, so rezultati zanesljivi za povratne dobe, ki največ 5 krat presegajo dolžino niza podatkov. Rezultati za povratne dobe, ki več kot 10 krat presegajo dolžino niza, so zelo nezanesljivi. -------------------------------------------------------------------------- C) Logaritemska metoda Mnogi ne komplicirajo kaj preveč in kar fitajo logaritemsko odvisnost na graf meritev glede na, iz izmerkov poračunane, povratne dobe T (naš prvi primer!!!). In imajo po svoje prav, saj so vrednosti (recimo vetra, padavin, ...) za za 100-letne ali celo 1000-letne dogodke zelo negotove. TO SO LE OCENE! Ni pa napak poznati še ozadja!!! Poenostavljena metoda je torej. Y = a*LN(T) + b Kako pa dobimo a in b parametra. Izvedemo linearno regresijo na grafu Y - meritve X - LN(T) Ta metoda je znotraj intervala meritev celo bolj realna, nekoliko pa podivja izven intervala (za daljše povratne dobe T) in je morebiti celo boljša za ocne rizičnih simulacij, recimo pri načrtovanju nasipov, elektrarn, različnih zgradb. Logaritemska metoda je, poleg Gumbelove, izvedena tudi v spletnem kalkulatorju za računanje povratnih dob: http://www2.arnes.si/~gljsentvid10/povratne_dobe_gumbel.html --------------------------------------------------------------------------------- Še nekaj teorije in vaj Če torej narišemo graf meritev od F, dobimo neke vrste porazdelitev za F, katera se (večinoma) dobro prilega Weibullova, Gumbelova ali Frechetova CDF funkcija (CDF je kratica za cumulative distribution function). Splošno velja poenoten zapis za vse tri: F(x) = exp{-[1 + eta*(x - mu)/sigma]^(-1/eta)} Spodaj je primer grafa za daljši niz maksimalnega vetra za xy lokacijo. Še nekaj podatkov iz: http://mds.marshall.edu/cgi/viewcontent.cgi?article=1232&context=etd http://docsdrive.com/pdfs/medwelljournals/erj/2008/7-14.pdf stran 5 http://www.vsni.co.uk/products/genstat/htmlhelp/stats/GEVProcedure.htm F(x) = exp{-[1 + eta*(x - mu)/sigma]^(-1/eta)}, za {x: 1 + eta*(x - mu)/sigma > 0}. - če eta = 0, je porazdelitev Gumbelova, - če eta > 0, je Frechetova, - če eta < 0, je Weibullova. -------------------------------------------------------------------- kjer -neskončno < x < neskončno; -neskončno < mu < neskončno; sigma > 0 Za eta = 0, je CDF nedifiniran, ko eta limitira proti nič, dobimo standardno Gumbelovo CDF. Članek o povratnih dobah najdete tudi v SMD Razpravah iz leta 1987, spodaj je povezava na razprave_87_29_1_13-32.pdf (SMD: Letnik 29, št. 1): http://www.meteo-drustvo.si/data/Arhiv_razprave_papers/razprave/po_stevilkah/87/29_1/razprave_87_29_1_13-32.pdf
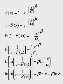
    ALI lokalno: razprave_87_29_1_13-32.pdf ------------------------------ Weibullova inačica funkcije, razvita za numerično uporabo, je spodaj: Weibull Analysis: Case Studies and Caveats. Donald Mintz http://www.google.com/url?sa=t&rct=j&q=&esrc=s&source=web&cd=1&sqi=2&ved=0CFYQFjAA&url=http%3A%2F%2Fwww.asq-silicon-valley.org%2Fdocument-for-members%2Fdoc_download%2F104-2-don-mintz-weibull-analysis&ei=wrcGUM3nNZPO4QTmpJjwCA&usg=AFQjCNEgRSakYph6WR6AiW4qNU9wV7x47Q http://www.qualitydigest.com/jan99/html/body_weibull.html F = 1 - exp(-(x/alfa)^beta) X je seveda spet neka meritev (recimo maks. letni pretok, seveda brez enot) Enačbo preoblikujemo in 2-krat logaritmiramo, da se dokopljemo do koeficientov alfa in beta. Postopek spodaj. Če zgornjo enačbo primerajmo z enačbo premice Y = mX + b in narišemo regresijsko premico, dobimo iz grafa, kjer je: Y-os ( ln(ln(1/(1-F))) ) X-os ( ln (meritev) ) s primerjavo s premico Y = mX + b - naslednje povezave za alfa in beta beta = m (to je strmina premice) -beta*ln(alfa) = b alfa = exp(-b/beta) Če je (statistična pomembnost) R^2 premice blizu 1, je Weibullova porazdelitev gotovo primerna za uporabo - oziroma se porazdelitev meritev obravnava (analizira) z upoštevanjem Weibullove porazdelitve. Opomba: F se v tuji literaturi imenuje tudi "Median Rank" (ali "numerous plotting position formula"). Smo že omenili, a še ena ponovitev ne škodi. -------------------------------------------- Zakaj je dobro poznati alfa in beta spremenljivki? V Excelu je namreč funkcija WEIBULL(x,alpha,beta,cumulative), kjer sta alfa in beta zamenjana glede na ta tekst (glede na večino literature). Primer Recimo, da imamo iz neke vrste meritev izračunana alfa in beta. Beta (or Shape Parameter) = 4.252482204 Alpha (or Characteristic Life) = 693380.3117 SPET PRIMER: ------------- Design A Rank Median Ranks 1/(1-Median Rank) ln(ln(1/(1-Median Rank))) ln(Design A Cycles) Cycles (i-0.3)/(10+0.4) meritve_x rang_i F 1/(1-F) ln(ln(1/(1-F))) ln(meritve_x) ------- -- ----------- ----------- ------------- ----------- 384558 1 0.067307692 1.072164948 -2.663843085 12.8598499 483331 2 0.163461538 1.195402299 -1.72326315 13.088457 508077 3 0.259615385 1.350649351 -1.202023115 13.13838829 515201 4 0.355769231 1.552238806 -0.821666515 13.15231239 615432 5 0.451923077 1.824561404 -0.508595394 13.33007974 666686 6 0.548076923 2.212765957 -0.230365445 13.41007445 726044 7 0.644230769 2.810810811 0.032924962 13.4953659 755223 8 0.740384615 3.851851852 0.299032932 13.53476835 807863 9 0.836538462 6.117647059 0.593977217 13.60214777 848953 10 0.932692308 14.85714286 0.992688929 13.6517591
    X-OS		Y-OS
    ln(meritve_x)	ln(ln(1/(1-F)))
    -------------	---------------
    12.8598499	-3
    13.088457		-2
    13.13838829	-1
    13.15231239	-1
    13.33007974	-1
    13.41007445	0
    13.4953659	0
    13.53476835	0
    13.60214777	1
    13.6517591	1
    
    
    y = mx + b
    Y = 4.2524822041015495*X -57.193053142994565    ( R^2 = 0.970978145179628 )
    m = 4.2524822041015495      b = -57.193053142994565 
    
    beta = m = 4.2524822041015495
    alfa = exp(-b/beta) = exp(-(-57.193053142994565)/4.2524822041015495) = 693380.3116661686
    
    Spodaj je tabela željenih vrednosti X (recimo pretoki) in desno izračuni, ki so zaradi istovetnosti (preverjanja), ponovljeni s fukcijo: F = 1 - exp(-(x/alfa)^beta) in excel ukazom WEIBULL(x; ... Vmes je še stolpec zanesljivosti, oz. verjetnosti za dogodek. F=1-exp(-(x/alfa)^beta) meritev F=1 - 1/T Cycles verjetnost 1 - F da_se_ne_zgodi zanesljivost F = 1 - 1/T X Survival_Probability Reliability WEIBULL(x;4.252482204;693380.3117;TRUE) ------ ---------------- ------------ --------------- 100000 0.000265293 0.999734707 0.000265293 200000 0.005044413 0.994955587 0.005044413 300000 0.027963347 0.972036653 0.027963347 400000 0.091890429 0.908109571 0.091890429 500000 0.220394012 0.779605988 0.220394012 600000 0.417588199 0.582411801 0.417588199 700000 0.646980935 0.353019065 0.646980935 800000 0.840738137 0.159261863 0.840738137 900000 0.951765319 0.048234681 0.951765319 1000000 0.991307752 0.008692248 0.991307752 Funkcija WEIBULL torej v excelu vrne verjetnost, da se dogodek ne zgodi, to je F, ki je (F=1 - 1/T), iz česar recimo lahko izračunamo še povratno dobo T za nek dogodek ( T = 1/(1-F) ). Poznati moramo torej parametra alfa in beta. Kako ju izračunamo, pa je nakazano zgoraj. -------------------------------------------------------------- A pozor - pri večjih vrednostih (izven intervala meritev) lahko Weibullova porazdelitev hitro pobegne v singularnosti, recimo pri računanju povratnih dob. Će je le porazdelitev blizu Gumbelove, večina vztraja, pri matematični metodi, ki jo je, za računanje povratnih dob, razvil gospod Ven Te Chow in je opisana v tem tekstu. Spletni kalkulator za računanje povratnih dob pa je na strani: http://www2.arnes.si/~gljsentvid10/povratne_dobe_gumbel.html --------------------------------------------------------------- Kot smo že zgoraj pokazali, lahko namesto funkcije WEIBULL uporabite spodnjo formulo: F = 1 - exp(-(x/alfa)^beta) v excelu se to zapiše približno takole =1-EXP(-POWER((X/693380.311666219);4.2524822040989)) X pripada seveda nekemu polju meritev, recimo A2 PRIMER OBRAVNAVE VETRA: ----------------------- Da zadeva špila (a ne zmeraj), kažeta spodnja grafa (meritve vetra glede na F), prvi je dobljen iz meritev, drugi pa ima F poračunan z Weibullovo funkcijo: F = 1 - exp(-(x/alfa)^beta). F = 1 - exp(-(x/alfa)^beta), x v F funkciji je v tem primeru veter (spodnji stolpič). V excelu tole zgleda takole: =1 - EXP(-POWER((A261/51.0094096339147);6.24901767872693)) Y = 6.249017678726931*X -24.571200742387272 ( R^2 = 0.9052109724371714 ) * alfa = 51.00940963391477 * beta = 6.249017678726931 Alfa in beta veljata za spodnje meritve vetra. -------------------------------------------------------------------- VETER[km/h] po letih (maks.), F se v tem primeru računa kot (i - 0.44) / (n + 1 - 2*0.44). 32 35 36 36 36 37 37 38 39 40 41 42 43 43 44 44 44 45 45 45 46 46 46 48 48 49 50 50 50 51 53 53 53 53 54 56 57 59 61 62 69 76
    *** Uporabi javascript kalkulatot za računanje povratnih dob - Gumbelova porazdelitev.
    --------------------------------------------------------------

    Povzel Vičar Zorko
    2010 dopolnil 2012
    
    
    rang_i	pretoki[m^3/s]		rang_i	  absolutna_max_tem - LJ 		rang_i	VETER[km/h] 		rang_i	  let_padavine_v_mm  
    1	57406		1	29.6		1	32		1	953.9
    2	75806		2	30.8		2	35		2	998.1
    3	81806		3	31		3	36		3	1041.4
    4	95106		4	31.2		4	36		4	1091
    5	99706		5	31.3		5	36		5	1107.1
    6	112006		6	31.4		6	37		6	1118.6
    7	112006		7	31.8		7	37		7	1140.8
    8	114006		8	32		8	38		8	1149.2
    9	123006		9	32		9	39		9	1176.5
    10	147006		10	32		10	40		10	1178.3
    			11	32.2		11	41		11	1181.9
    			12	32.2		12	42		12	1195.9
    			13	32.2		13	43		13	1211.1
    			14	32.5		14	43		14	1217.2
    			15	32.5		15	44		15	1229.9
    			16	32.6		16	44		16	1233.8
    			17	32.7		17	44		17	1265
    			18	32.7		18	45		18	1265.4
    			19	32.8		19	45		19	1270.2
    			20	32.8		20	45		20	1273.9
    			21	32.9		21	46		21	1287.8
    			22	32.9		22	46		22	1292.4
    			23	33.1		23	46		23	1301
    			24	33.1		24	48		24	1315.6
    			25	33.1		25	48		25	1327.7
    			26	33.2		26	49		26	1331.3
    			27	33.2		27	50		27	1336.9
    			28	33.2		28	50		28	1342.9
    			29	33.3		29	50		29	1359.2
    			30	33.3		30	51		30	1363.1
    			31	33.4		31	53		31	1371.5
    			32	33.5		32	53		32	1373.7
    			33	33.5		33	53		33	1395.1
    			34	33.5		34	53		34	1402.3
    			35	33.6		35	54		35	1403.3
    			36	33.7		36	56		36	1405.5
    			37	33.7		37	57		37	1406.7
    			38	33.8		38	59		38	1412
    			39	33.9		39	61		39	1418.4
    			40	34		40	62		40	1422.8
    			41	34.1		41	69		41	1423.7
    			42	34.2		42	76		42	1424.6
    			43	34.2					43	1432.5
    			44	34.3					44	1435.1
    			45	34.7					45	1438
    			46	34.7					46	1441.6
    			47	34.9					47	1442.9
    			48	34.9					48	1446.4
    			49	34.9					49	1454.7
    			50	35					50	1469.1
    			51	35.2					51	1474.7
    			52	35.3					52	1476.9
    			53	35.6					53	1490.2
    			54	35.9					54	1500.7
    			55	35.9					55	1527.8
    			56	36					56	1535
    			57	36.5					57	1605.5
    			58	36.5					58	1606.9
    			59	37					59	1610.6
    			60	37.1					60	1696.1
    			61	37.1					61	1771.6
    			62	37.3					62	1797.9
    			63	37.6					63	1847.5
    
    
    
    -----------------------------
    a=0.44
    www.hurricaneengineering.lsu.edu/.../03Lect4DesignWind.ppt
    http://www.google.com/url?sa=t&rct=j&q=&esrc=s&source=web&cd=9&ved=0CHgQFjAI&url=http%3A%2F%2Fwww.hurricaneengineering.lsu.edu%2FCourseMat%2F03Lect4DesignWind.ppt&ei=oGgMUNPJB8eA4gSszMTDCg&usg=AFQjCNEWasI8cTDKjjCt6LVwKJkEF-XlfQ
    Gust speed (hitrost vetra) v mph
    40.97
    45.4
    46.46
    47.97
    47.97
    48.57
    48.57
    49.97
    50.68
    51.74
    51.74
    52.8
    52.8
    53.85
    53.85
    53.96
    54.91
    62.3
    67.58
    76.03
    
    a=0.44
    T[leta]	Veter
    1.1	44
    2	51.7
    5	58.8
    10	63.5
    25	69.4
    50	73.8
    100	78.2
    250	83.9
    500	88.2
    1000	92.6
    2500	98.3
    
    
    
    Kako podnebno je raznolika Slovenija lepo kaže zgornji
    graf, ko maksimalne letne vsote padavin v Veržeju (SV) nikoli 
    ne presežejo minimalnih letnih vsot v kraju SOČA (SZ).
    
    leto  	SOČA_padavine_v_mm  	SORTIRANE_padavine_v_mm  	VERŽEJ-padavine_v_mm  	SORTIRAN_Verzej
    1948	2122	1216.5		
    1949	2256.9	1664.9		
    1950	2678.6	1748		
    1951	3418.5	1774.1	980.2	569.6
    1952	3016.9	1903.2	862	577.7
    1953	1216.5	1927	720.4	603.8
    1954	2861.9	1961.3	814.3	642.5
    1955	2108.9	1990.5	869.5	655.8
    1956	2131.7	2014.1	848.9	661.2
    1957	2288.9	2027.8	774.4	684
    1958	2676.2	2047.2	852.7	706.7
    1959	2526.5	2072.2	876.5	707.6
    1960	3476.4	2080.8	892.3	709.2
    1961	2367.6	2100.2	835.9	714.4
    1962	2313.6	2108.9	1022.2	714.9
    1963	2771	2119.7	869.1	714.9
    1964	2238.3	2122	908.7	720.4
    1965	3196.8	2131.7	1037.8	727.5
    1966	2080.8	2137.5	1180.7	739.2
    1967	2332.2	2149.2	792.7	767.6
    1968	2845	2195.8	661.2	770.9
    1969	2386.4	2229.8	912.8	774.4
    1970	2294.1	2233.8	847.9	775.5
    1971	2014.1	2238.3	569.6	792.7
    1972	2273.7	2240.6	1064.3	800
    1973	2027.8	2256.9	808	800.6
    1974	2137.5	2273.7	851.6	808
    1975	2363.3	2286.2	767.6	814.3
    1976	2119.7	2288.9	714.9	835.9
    1977	2375.9	2294.1	714.9	839.2
    1978	2497	2313.6	707.6	845.9
    1979	2935.4	2332.2	949	847.9
    1980	2399.1	2363.3	893.4	848.9
    1981	1748	2367.6	739.2	851.6
    1982	2686.3	2375.9	920	852.7
    1983	1961.3	2386.4	603.8	854.5
    1984	2229.8	2399.1	800	855.8
    1985	2586.6	2497	912.1	862
    1986	1774.1	2526.5	854.5	869.1
    1987	2751.4	2541	995.1	869.5
    1988	2047.2	2546.8	727.5	876.5
    1989	1990.5	2586.6	775.5	892.3
    1990	2842.7	2676.2	845.9	893.4
    1991	2707.7	2678.6	855.8	899.7
    1992	2896.5	2686.3	714.4	908.7
    1993	2240.6	2707.7	684	912.1
    1994	2072.2	2737.2	948	912.8
    1995	1903.2	2751.4	917.2	917.2
    1996	2737.2	2771	934.7	920
    1997	2286.2	2842.7	706.7	934.7
    1998	2546.8	2845	943.2	940.4
    1999	2233.8	2861.9	1006.9	941
    2000	3758.5	2863.7	655.8	943.2
    2001	2863.7	2868.8	709.2	948
    2002	2541	2896.5	770.9	949
    2003	2149.2	2935.4	577.7	950.9
    2004	3047.5	3016.9	839.2	980.2
    2005	1664.9	3047.5	941	995.1
    2006	2100.2	3129.1	940.4	1003.5
    2007	2195.8	3196.8	899.7	1006.9
    2008	3239.8	3239.8	800.6	1022.2
    2009	2868.8	3418.5	1003.5	1037.8
    2010	3129.1	3476.4	950.9	1064.3
    2011	1927	3758.5	642.5	1180.7
    
    ------------------------------------------------------
    
    
    
    Kako so lahko kratki nizi meritev zavajujoči - kaže primer poplav v
    Železnikih - datum: 2007-09-18.
    Če odstranimo ta datum, dobimo za dnevne padavine 
    (okrog) 200 mm povratno dobo 10000 let (do ledene dobe).
    S podatkom iz leta 2007 pa "samo" dobrih 1000 let.
    
    
    leto  	Železniki_max_padavine_v_mm  	SORTIRANE_Železniki_max_padavine_v_mm  
    1945	103.2	56.5
    1946	64.5	58.2
    1947	96.7	60.8
    1948	114.5	63.5
    1949	86.5	64.5
    1950	56.5	65.3
    1951	99	65.7
    1952	78	66.4
    1953	94	66.5
    1954	63.5	66.5
    1955	66.5	68
    1956	75.9	69.5
    1957	66.5	69.6
    1958	90.5	69.8
    1959	76.5	72.5
    1960	85.8	72.6
    1961	103	74.3
    1962	77.5	74.4
    1963	105	74.8
    1964	99.5	74.9
    1965	102.7	75.1
    1966	81	75.9
    1967	69.8	75.9
    1968	77.7	76.3
    1969	92.5	76.5
    1970	92.1	76.5
    1971	75.9	76.5
    1972	65.7	76.8
    1973	76.3	76.9
    1974	69.5	77.2
    1975	96.2	77.5
    1976	74.8	77.5
    1977	74.3	77.7
    1978	76.8	78
    1979	86.5	78
    1980	90.7	78.6
    1981	60.8	81
    1982	78.6	84.5
    1983	74.9	85.1
    1984	75.1	85.8
    1985	85.1	86.5
    1986	88	86.5
    1987	96.3	88
    1988	93.7	90.5
    1989	115.8	90.7
    1990	101.2	91.2
    1991	77.5	92.1
    1992	118.3	92.1
    1993	78	92.5
    1994	74.4	93.7
    1995	106.5	94
    1996	77.2	96.2
    1997	84.5	96.3
    1998	92.1	96.7
    1999	76.9	99
    2000	112.4	99.5
    2001	76.5	101.2
    2002	58.2	102.7
    2003	65.3	103
    2004	72.5	103.2
    2005	69.6	105
    2006	76.5	106.5
    2007	197.2	112.4
    2008	66.4	114.5
    2009	91.2	115.8
    2010	118.1	118.1
    2011	68	118.3
    2012	72.6	197.2
    
    
    
    
    
    
    
    
    
    
    
    
    .
    
    http://ponce.sdsu.edu/textbookhydrologyp548.html
    http://ponce.sdsu.edu/onlinegumbeltable.html
    http://ponce.sdsu.edu/onlinegumbel.php