Tako sem Olbnove Efemeride in
nekaj knjig iz njegove osebne knjižnice imel v roki, jih videl z
lastnimi očmi od blizu in jih občudoval. Potešil sem si silno
radovednost. Vsega res ni bilo veliko, pa spet ne malo. Stvar je pač
treba gledati s prestradanimi očmi.
V tem letu naj bi se razvrstila številna predavanja, razstave in
javna opazovanja, na katerih bodo ljudje lahko spoznali zvezdno nebo,
pogledali skozi daljnoglede in opazovali zvezde, planete, galaksije in
druge eksotične nebesne objekte ter tako začutili vso lepoto in
veličastnost vesolja in tudi to, kako vznemirljivo ga je raziskovati.
Temu mednarodnemu projektu se je minuli torek s slovesnostjo v
Grand hotelu Union v Ljubljani, pod pokroviteljstvom predsednika
republike dr. Danila Türka, uradno pridružila tudi Slovenija. Marsikaj
»astronomskega« se bo dogajalo. Tudi v Kranju in okolici. Organizirali
bomo skupinska oziroma množična opazovanja zvezdnega neba z odprtega
prostora, npr. na letališču na Zlatem polju, nekaj preprostih predavanj
o prvem pogledu v globine vesolja, o slovenskih in gorenjskih
astronomih. Med njimi posebej izstopa skoraj pozabljeni astronom, ki se
je v 17. stoletju rodil v Kranju. Njegovo pomembnost smo odkrili in
spoznali šele v zadnjih letih.
Lani se mi je uresničila davna želja, da sem lahko obiskal
avguštinski samostan v St. Florianu pri Linzu in si v bogati knjižnici
tega samostana ogledal edino in v latinščini tiskano delo našega
astronoma J. J. Olbna (1643–1725), Nove florijanske efemeride (Linz,
1704). Priti tja in nazaj (ok. 900 kilometrov) po deževni in nevihtni
Avstriji v enem dnevu, ni mačji kašelj. Hčerka je vzela en dan dopusta
in mi uresničila sen.
Dolgo časa sem si prizadeval priti v to knjižnico. Šele s
posredovanjem zunanjega ministrstva mi je to uspelo. Tako sem Olbnove
Efemeride in nekaj knjig iz njegove osebne knjižnice imel v roki, jih
videl z lastnimi očmi od blizu in jih občudoval. Potešil sem si silno
radovednost. Vsega res ni bilo veliko, pa spet ne malo. Stvar je pač
treba gledati s prestradanimi očmi.
Janez Jakob Olben (Joanne(i)s Jacobus Olben) je bil v Kranju rojen
5. julija 1643 v premožnejši sitarski družini. Na Dunaju je dokončal
študij teologije in bil leta 1668 posvečen v duhovnika. Prva tri leta
je deloval kot farni vikar v mestu Laa, nato je trinajst let opravljal
službo dvornega kaplana v mestu Passau. Končno je postal dekan v mestu
Freistadt in župnik v Traiskirchnu.
Da bi se lahko posvetil znanosti, posebno matematiki, o kateri je
že prej veliko vedel, se je odpovedal duhovniški službi. Leta 1702 je
vstopil v avguštinski samostan St. Florian pri Linzu (Zgornja Avstrija)
in se nato zaobljubil za avguštinca. V samostanu je znanstveno deloval
vse do svoje smrti 10. junija 1725.
Olben naj bi izdal nekaj matematičnih spisov oziroma razprav
(mislim pa, da je najbrž le napisal nekaj rokopisov iz matematike, kar
se je porazgubilo in so jih najbrž pograbili njegovi »nasledniki« v
samostanu) in njegovo edino v Linzu tiskano delo Nove florijanske
efemeride (1704), kar hrani knjižnica v St. Florianu. Vendar pa tu,
razen omenjenih efemerid, ni ohranjenega nobenega drugega njegovega
spisa. Ohranjenih je le precej redkih ročno napisanih knjig drugih
avtorjev, tudi krasnih inkunabul, iz za ta čas razmeroma bogate Olbnove
osebne knjižnice.
Pri bežnem pregledu omenjenih knjig, v katerih ima na določenih
straneh ob stani pripisane lastne pripombe-komentarje, lahko ugotovimo,
da je bil zelo študiozni tip, ukvarjal se je z geometrijo, fiziko,
kemijo oz. alkimijo in drugimi mejnimi področji znanosti, kar je bilo
tedaj povsem nekaj običajnega. Določene knjige verske in filozofske
vsebine je zagotovo uporabljal v svoji prvotni cerkveni službi pri
sestavljanju pridig in nabožnih govorov ter dajanju nasvetov vernikom.
Z Olbnom smo obrnili veliko stran zgodovine slovenske astronomije.
Njegovo imenitno delo Nove florijanske efemeride nosi močan astronomski
naboj. Na dvanajstih velikih straneh je objavil osnovne podatke o
dnevni svetlobi (t. j. čase vzhodov in zahodov Sonca ter trajanje dneva
in noči ter mraka in zore za vse dni v letu), izračunane za zemljepisno
širino in obzorje St. Floriana. Gre za enega kapitalnih del, ki ga je
napisal kak Slovenec. Zato smo lahko upravičeno ponosni na učenega in
sposobnega avtorja ter na njegov znameniti izdelek.
Kdor je kdaj »peš«, t. j. s svinčnikom v roki na papirju pred
seboj na mizi po formulah sestavljal efemeride, dobro ve, koliko truda
je vloženega v takšno delo. Jaz to vem. Zato Olbnove Efemeride visoko
cenim. Uvrščam jih v vrh slovenske astronomske znanosti, blizu
Perlahovih, Hallersteinovih in Vegovih dosežkov v astronomiji.
J. J. Olben je bil tudi zelo pomemben in spoštovan cerkveni
dostojanstvenik. Že kot dekan in pozneje kot brat oziroma pater-kanonik
v samostanu je bil v stalnem stiku z znamenitim Antonijem Carlonejem
(1635–1708), glavnim arhitektom in vodilnim gradbenikom zgornje
avstrijskih samostanov 17. stoletja, od tega tudi predelav notranjosti
več cerkva ter gradnje in prenove samostana s cerkvijo v St. Florianu v
letih 1686–1708.
Če naj bi imeli Ljubljančani v zavesti svojega starega astronoma
Jakoba Straussa, ki je pisal o mogočni repatici leta 1577, Mariborčani
svojega slavnega humanista Andreja Perlaha, ki je že okoli 1520 med
prvimi izdajal efemeride in almanahe, Mengšani svetovno znanega
Ferdinanda Avguština Hallersteina, ki je v 18. stoletju dolga leta
vodil pekinški cesarski astronomski observatorij, pa imamo od zdaj
dalje tudi Kranjčani svojega Olbna, ki je napisal in izdal znamenite
Efemeride.
Upam si domnevati, da sem s tem prispevkom prebil nek led
nezanimanja za naše pomembne učenjake, ki so posejani po svetu in se za
njih zaradi svoje ozkosti ali praznosti premalo zanimamo in zato o njih
malo ali pa nič ne vemo, in uspel oteti znamenitega kranjskega
astronoma skorajšnji pozabi.
Maj 2010
Viljem Ogrinc, Ivan Tomec in Pavel Kunaver v slovenski astronomiji
Jutro 2010, Ljubljana; jutro@siol.net ali Jutro, Črnuška 3, Ljubljana
Avtorja: Boris Kham in Marijan Prosen
Obseg: 48 strani, trda vezava
Naklada: 300 izvodov
Cena: 15 €
V Jutrovi zbirki Svet naravoslovja, kjer izhajajo poljudne zgodovinske knjige o slovenskih znanstveniki, ki so dali pomemben prispevek tudi na področju astronomije, je zdaj izšla že deseta knjiga z naslovom: Viljem Ogrinc, Ivan Tomec in Pavel Kunaver v slovenski astronomiji.
Knjiga se najprej dotakne začetka pisanja astronomskih vsebin v slovenščini, nato pa opiše življenje in astronomsko delo treh znamenitih Slovencev: Viljema Ogrinca (1845-1883), Ivana Tomca (1880-1950) in Pavla Kunaverja (1889-1988). Vsak je po svoje dal pomembni in značilni prispevek veliki zgradbi slovenske astronomije. Vsi so bili popularizatorji astronomije. V knjigi je posebno poudarjen Kunaverjev astronomski opus, ki je izjemen in enkraten v slovenskem prostoru.
Sodnik Ogrinc je iz nemščine prevedel in nato priredil prvo v slovenščini napisano astronomsko knjigo. Davčni inšpektor Tomec je bil naš prvi stalni in sistematični opazovalec pojavov na Soncu. V opazovanjih Sonca ga je odlično nasledil P. Kunaver, pionir naše amaterske astronomije. S svojim velikim pedagoškim zanosom je na različne načine širil astronomijo med ljudi, s predavanji, knjigami in tudi z opazovanji na svojih številnih zvezdarnah, kjer je mladim in starim prikazoval nepozabne lepote zvezdnega neba.
Obdobje 19. in 20. stoletja naše zgodovine astronomije še ni celovito raziskano. To še čaka zgodovinarja astronomije. Ta knjiga predstavlja droben prispevek tej zgodovini.
jesen 2010
Izšli sta dve novi knjigi iz svetovne zgodovine astronomije: slovenski prevod
Galilejevega Dialoga
o dveh glavnih sistemih sveta in Kopernikanski manifest Galilea Galileja.
Dve odlični novi knjigi iz svetovne zgodovine astronomije na Slovenskem
Pri Založbi ZRC, ZRC SAZU, v zbirki »Historia scientiae« (urednik Matjaž Vesel), je izšel
knjižni komplet dveh novih knjig iz zgodovine astronomije, in sicer
Galileo Galilei, Dialog o dveh glavnih sistemih sveta, ptolemajskem in kopernikanskem
(prevod Mojca Mihelič), 454 strani, mehka vezava, in
Matjaž Vesel, Kopernikanski manifest Galilea Galileija – Geneza Dialoga o dveh glavnih
sistemih sveta – Opombe in komentarji k Dialogu o dveh glavnih sistemih sveta, 191 strani,
mehka vezava; oboje naklada 400 izvodov, Ljubljana 2009.
Galilejeva odkritja so pri sodobnikih zagotovo zbujala splošno čudenje, še bolj pa zeleno
zavist. To, kar preberemo v Dialogu, pa zagotovo vzbuja nenavaden občutek, ki sili k
razmišljanju, o kakšnih vseh stvareh je Galileo Galilei (15.2.1564, Pisa–8.1.1642, Arcetri/
Firence) premišljeval in pisal že pred 400. leti in kako natančno jih je znal pojasniti. Vse
beremo z velikim užitkom, le tisto o plimi in oseki malo manj, ker se je zmotil, sicer pa je
genialen v jasnosti pripovedovanja in načinu tolmačenja stvari ter prepričljiv celo pri opisu
plimovanja, čeprav ni imel prav.
Veličastna knjiga, najpomembnejše Galileijevo astronomsko delo Dialog o dveh glavnih
sistemih sveta, zajema strokovno, matematično-fizikalno in filozofsko-naravoslovnoznanstveno
razpravljanje o številnih astronomskih temah za potrditev kopernikanskega
sistema, v bistvu pa gre za prikaz Galijeijevega sprejetja in kritičnega pogleda na slavno
Kopernikovo odkritje heliocentrizma.
Dialog je pisan v italijanskem jeziku, v toskanskem narečju. Začne se s predgovorom
Presvetli veliki vojvoda (tj. Ferdinand II de Medici), kjer Galilei pove, da se njegovo delo vrti
okoli del dveh genijev, ki po umu visoko prekašata druge ljudi, tj. Ptolemaja in Kopernika, in
da delo posveča Njegovi visokosti, se Njegovi visokosti zahvaljuje za naklonjenost, da je to
delo lahko napisal in za podporo. Nato sledi nekakšen uvod Uvidevnemu bralcu, kjer pojasni,
da želi pokazati zbrana razglabljanja o kopernikanskem sistemu, starejša od rimske cenzure,
in jih obravnavati kot matematično hipotezo z novimi razmišljanji ter prikazati kot boljšo od
hipoteze o nepremičnosti Zemlje. Obravnaval bo tri glavne teme: poskuse na Zemlji, nebesne
pojave, ki utrjujejo kopernikansko hipotezo ter plimo in oseko; vse zamisli oziroma
razglabljanja pa da se najbolje pojasni v obliki dialoga, v katerem so udeleženi trije
sogovorniki: plemenitaša in ostrega uma Sagredo in Salviati ter peripatetik Simplicij. (Op.:
Sagredo in Salviati sta bili resnični osebi, s katerima je Galilei vodil številne razgovore,
Simplicij pa je bil zadnji veliki grški filozof – komentator Aristotlovih del. Sagredo, pripadnik
vplivne beneške rodbine, Galileijev zasebni študent, pomemben politični funkcionar, je
predstavnik splošne javnosti, zastopnik zdrave pameti in razsodnik razprav med Salviatijem in
Simplicijem, včasih tudi nevtralna stran. Salviati, firenški plemič in član dveh akademij,
zastopa kopernikanska oziroma Galileijeva stališča. Simplicij, sicer poosebljen in zelo znan
beneški peripatetik, katerega ime je zamolčano, pa zagovarja Aristotla in Ptolemaja. Srečujejo
se štiri dni zapored v palači velecenjenega Sagreda v Benetkah. Pogovori so več kot zanimivi
in duhoviti. Razpravljajo za lastni užitek. Vodilno besedo ima Salviati. Vseh mogočih
razpravljanj je ogromno in vsi trije nastopajo s svojimi argumenti. Vsega tu ni mogoče
prikazati. Zaradi zanimivosti in pomembnosti tej knjigi namenjamo nekoliko več prostora.
Nekatere razlage sem zaradi večje razumljivosti poenostavil.
• 1. dan. Pogovore začne Salviati z mislijo, ki udari kar v sredino stvari, Kopernik ima Zemljo
za planetu podobno kroglo ... in kmalu pozneje: ... Ne Aristotel ne vi (tj. Simplicij) ne boste
nikoli dokazali, da je Zemlja de facto v središču vesolja, ...vanj je prej umeščeno Sonce, ...,
veliko laže bi se dalo ugotoviti, ali se Zemlja ... giblje.
Razpravljajo o dimenzijah, prostorskih geometrijskih elementih (tvorih), gibanjih na splošno
in planetnih, spremembah na nebu (nove, Sončeve pege, kometi), ki so ga imeli aristotlovci za
nespremenljivega, o teleskopih, ki bolje povedo o stvareh na nebu kot prosto oko, o Luni
(obla, temno telo, odbija sončno svetlobo, na njej so kotline, vzpetine, grebeni, ravnine, ...), ki
je podobna Zemlji, o Luninih menah in Zemljinih menah (za opazovalca na Luni), pepelnati
svetlobi kot odsev odbite Zemljine, o vodi (dežju) na Luni in celo o najrazličnejših drugih
stvaritvah človeka, od katerih izum pisave dajejo na prvo mesto. Na koncu razprav tega dne
ugotovijo majave temelje Aristotlovega nauka.
• 2. dan. Razglabljajo, ali je Zemlja negibna ali gibljiva in če je gibljiva, kakšno bi lahko bilo
njeno gibanje. V glavnem obravnavajo dnevno gibanje Zemlje (vrtenje). Salviati: ... boste
videli, da Kopernik po ostroumnosti in predirnosti duha daleč prekaša Ptolemaja, saj je
uvidel to, česar slednji ni videl, ...in nato navaja razloge za gibljivost Zemlje ob Simplicijevih
nasprotnih ugovorih za negibnost. S tem v zvezi se ukvarjajo s težkimi telesi, padajočimi z
vrha stolpa, navpično in poševno pognanimi projektili itn. Salviati: ... tisto, ki poganja Zemljo,
mora biti podobno tistemu, ki poganja Mars, Jupiter, ... in poganja tudi zvezdno sfero, ...
Ugotovijo prvo gibanje, tj., da se Zemlja vrti v nasprotni smeri navideznega gibanja zvezd,
torej od zahoda proti vzhodu; in drugo gibanje, da se Zemlja giblje po krožnici, in sicer tudi
od zahoda proti vzhodu, če je Sonce nepremično. Končna ugotovitev je, da se Zemlja vrti,
negibna pa sta Sonce in zvezdna sfera.
• 3. dan. Večinoma razpredajo o letnem gibanju Zemlje, tehtajo razloge v prid nasprotujočoh
si strani, Aristotlove in Ptolemajeve na eni strani ter Aristarhove in Kopernikove na drugi.
Kar veliko razpravljajo o novih zvezdah (ovržena je nespremenljivost neba!), posebno o tisti v
Kasiopeji leta 1572 (bili pa sta še dve: leta 1600 in leta 1604), ki so ji redki astronomi (npr.
Tycho, Maestlin, Hagek) pripisali pojav, ki se je zgodil v večji oddaljenosti od Lune. Salviati
se jezi nad slabo izvedenimi meritvami in slabo izračunanimi rezultati glede določitve
oddaljenosti te nove, ker so nekateri astronomi, da zadostijo aristotlovcem, pojav nove kar
priredili kot sublunarni pojav. Nato se ukvarjajo z gibanjem planetov okrog Sonca. To Salviati
utemeljuje z Marsom, Jupitrom in Saturnom, ki so zmeraj najbliže Zemlji, ko so v opoziciji s
Soncem, in najdlje, kadar so z njim v konjunkciji, .... Venera in Mars pa se gibljeta okrog
Sonca, ker se nikoli veliko ne oddaljita od njega, menjavanje Venerinih men tudi dokazuje, da
se Venera giblje okrog Sonca, Luna pa se ne more ločiti od Zemlje in kroži okrog nje. ... Vse
to dokazuje trditev, da se vsi planeti skupaj z Zemljo gibljejo okrog Sonca kot središča svojih
kroženj, Luna pa z lastnim kroženjem okrog Zemlje, ki skupaj z Luno v enem letu obkroži
Sonce. Veliko pomoč pri tem raziskovanju služi teleskop. Pojasnijo navidezne poti petih
planetov in razpravljajo o pegah na Soncu, iz opazovanj katerih se ugotovi vrtenje Sonca
(nebesna telesa niso večna in nespremenljiva). Glede zvezd pa ugotovijo, da so predaleč, da bi
letno gibanje Zemlje, ki pri planetih povzroča tako velike spremembe, pri njih bilo zaznavno,
torej ni zaznavne paralakse zvezd. Ko bi opazili paralakso zvezd, bi razblinili dvom o gibanju
Zemlje, a tudi če je ne bi, to ne ovrže gibanja, saj je zvezda lahko neizmerno daleč in je to
krivo, da ne moremo opaziti teh neznatnih pojavov, ki jih ni še nihče iskal vsaj s tako
natančnostjo, kot je bila potrebna za take neznatne podrobnosti in jo je težko doseči zaradi
pomanjkljivih astronomskih inštrumentov, napak pri opazovanju itn. V zvezi z letnim
gibanjem Zemlje se pogovarjajo tudi o menjavanju letnih časov, višanju in nižanju
opoldanskega višinskega kota Sonca, neenakosti trajanja dni in noči itn. Na koncu se lotijo še
Zemlje kot magneta in zvejo številne pojave in lastnosti pri magnetu. Končna ugotovitev je,
da letno gibanje Zemlje poteka po ekliptiki, dnevno pa okrog osi skozi središče Zemlje,
vrtilna os je nagnjena k ekliptični ravnini in ta naklon se ohranja tako, da ostaja os zmeraj
vzporedna sama s seboj.
• 4. dan. Razpravljajo o plimovanju morskih voda, kjer so opazne tri periode: dnevna, ko
voda v nekaj (okoli 6) urah narašča in upada; mesečna, katere vzrok je gibanje Lune in se
spreminja le obsežnost dnevnega pojava, da pride do znatne razlike ob ščipu in mlaju ter
prvem in zadnjem krajcu; letna, ki kaže odvisnost od Sonca, povzroča pa samo spremembe v
dnevnih gibanjih tako, da imajo ob Sončevih obratih drugačno obsežnost kot ob enakonočjih.
Salviati oziroma Galilei pravi: Gibanje Zemlje je naravni vzrok plimovanja. Iz kombinacije
letnega in dnevnega gibanja Zemlje nastane neenakomerno gibanje zemeljskih delov –
najmočnejši vzrok plimovanja in nadalje: ... Preseneča Kepler, saj je kljub svobodnemu in
bistremu umu ... nazadnje naklonil uho in soglasje Lunini oblasti nad vodo. ... Sonce in Luna
nimata z vodo nič opraviti. ... (To pa ni res; glavni vzrok je prav Luna in nato Sonce, kar je
veliki Galilei spregledal oz. ni znal pravilno razložiti.)
Na koncu je rečeno: Razpravljanje v teh štirih dneh je dalo pomembne potrditve v prid
kopernikanskega sistema, tri zelo prepričljive: prva, izpeljana iz naprednega in obratnega
gibanja planetov in njihovega približevanja Zemlji in oddaljevanja od nje; druga, iz vrtenja
Sonca in opažanj njegovih peg in tretja, iz morskega plimovanja (to je na žalost pojasnjeno
narobe). Sam bi dejal, da je v Dialogu najti še veliko več drugih reči, med njimi dokazov v
prid kopernikanskemu sistemu, predvsem pa izvirnih misli o določenih pojavih v vesolju in
načinu njihovega pojasnjevanja.
Odlična je tudi knjiga Kopernikanski manifest Galilea Galileija izpod peresa Matjaža
Vesela. Čudovito se povezuje z Galileijevim Dialogom in ga vsestransko tudi dopolnjuje.
Pripoveduje o številnih Galileijevih blestečih teleskopskih nebesnih odkritjih, njegovem
velikem prizadevanju za pripoznanje heliocentričnega sistema (navedba številnih pisem,
pisnih izjav in njih komentar) in seveda sintetično nakazuje celoten potek nastajanja
imenitnega dela Dialog, ki ga je kot »sistem sveta« Galilei zasnoval že davno (ok. 1600),
javno napovedal, šele po dolgih letih nenehnega razmišljanja, kako bi ga podal, nato napisal
in na koncu s številnimi zapleti le izdal, kar pa mu je pozneje prineslo toliko zla. V knjigi nato
sledijo številne s slikami opremljene opombe in bogati komentarji k Dialogu, kar napravi
Galileijevo delo še bolj razumljivo in prijazno.
Dialog je izšel februarja 1632, 22. junija 1633 pa je v rimski cerkvi Galilei že klečal in
poslušal obtožnico, ki ga je obtoževala hudega heretičnega dejanja in prebral podpisani uradni
preklic za svoje kopernikansko krivoverje. Prav Dialog, v katerem je zagovarjal, da je Sonce
središče vesolja in nepremično in da Zemlja ni središče in da se giblje, je bil najmočnejši
dokaz krivoverstva, ki je bilo v nasprotju z uradnim mnenjem cerkvene oblasti (s Svetim
pismom). Galilei je želel svoje nasprotnike utišati z dokazi, a se je moral ponižati in javno
odreči svojim nazorom. Dialog so prepovedali. Življenjsko delo ga je skoraj pokopalo.
Kepler (1571–1630), Galileiju eden najbližjih takratnih učenjakov po duhu razmišljanja je
brez zadržka sprejel Kopernikov heliocentrični sistem. Galilei je bil prepričan kopernikanec
že v 90. letih 16. stoletja. To priča njegovo pismo iz leta 1597 Keplerju: ''… jaz jih (namreč
argumente v prid heliocentričnemu sistemu; op. M. Pr.) doslej nisem upal objaviti iz bojazni,
da ne doživim podobne usode, kot je doletela našega Kopernika, ki si sicer zasluži nesmrtno
slavo … Jaz bi že nastopil s svojimi razmišljanji, če bi bilo več takšnih ljudi, kot ste Vi; ker pa
ni tako, si ne upam dotakniti navedene teme.''
Kepler približno tako odgovarja: '' Ne omahuj, Galilei, kar začni. Jaz se že ne motim in med
vidnimi evropskimi matematiki jih je veliko takih, ki si želijo opredeliti za naju ''.
Galilei je menil, da v vesolju prevladujejo oziroma da so samo enakomerna krožna gibanja.
Ni zaupal niti v eliptični tir, ki ga je pri Marsu z računi takrat odkril Kepler, niti v
neenakomerno gibanje planetov na njihovih poteh tako, da ni priznaval niti prvega niti
drugega Keplerjevega zakona.
Kepler pa je bil prvi, ki je obravnaval medsebojno privlačnost vesoljskih teles in jo povezoval
z gibanjem. Izrekel je celo domnevo, da privlačnost pojema z razdaljo, kar je sicer napačno
(pojema s kvadratom razdalje). Plimovanje na Zemlji je pojasnjeval z Lunino privlačnostjo.
Vse to je bilo nesprejemljivo za Galileija, ki je imel odklonilno mnenje glede delovanja sile
na daljavo. To se je posebno nanašalo na plimo in oseko, ki ju je Galilei postavljal kot
pomemben oziroma glavni dokaz za dnevno in letno gibanje Zemlje.
Kepler je glede plimovanja imel prav. Dejanski dokazi so ''prišli'' pozneje.
Knjigi sta odlično branje. Smotrno sta urejeni, terminologija je v redu, prevod vzoren,
opombe in komentarji so perfektni, tekst izpiljen, lepa in čista slovenščina. Marsikaj novega
sem izvedel in z veseljem sprejel. Čestitke avtorjema, da sta uspela tako zahtevno vsebino
pripraviti v slovenščini, založbi pa, da je v svoj program izbrala knjigo tako temeljnega
intelektualnega pomena.
V zbirki »Historia scientiae« je izšlo do zdaj že pet prevodov temeljnih del svetovno
pomembnih učenjakov: Descartes, Kompendij o glasbi; Kopernik, O revolucijah nebesnih
sfer; Aristotel O nebu; Koyr , Znanstvena revolucija in Galileo Galilei, Nebeške novice. Zdaj
se tem krasnim knjigam pridružuje še zelo skrbno pripravljen knjižni komplet, ki obsega
odličen prevod Galijeijevega dela Dialog o dveh glavnih sistemih sveta in vzorno Veselovo
knjigo Kopernikanski manifest Galilea Galileija z izčrpnimi opombami in tehtnimi
komentarji k Dialogu.
Zanimivo je, da sta obe zgodovinsko pomembni knjigi, kakor naročeni, izšli v Mednarodnem
letu astronomije 2009, kar je vsekakor lep slovenski prispevek svetovni zakladnici
astronomije.
Marijan Prosen
.
November 2010
Prof. Marijan Prosen, bibliografija 1960 - 2010 (PDF)
Jeseni 2005 na razstavi svojih del v Šenčurju.
|
Maja, Stana in Majo – poleti 2005.
|
V dogovoru s prof. Zorkom Vičarjem pošiljam na spletno stran
Gimnazije Šentvid
mojo bibliografijo 1960-2010. V njej so v glavnem
zbrane knjige in članki, ki sem jih v zadnjih 50. letih napisal sam
ali pa v sodelovanju z drugimi. Na splošno gre za popularizacijo
astronomije.
Marsikdo želi prebrati kakšno zanimivost pa tudi kakšno strokovno
in znanstveno temo iz astronomije. Danes jo lahko najdemo na
Internetu. Vselej se je treba prepričati, če je zanesljiva.
Precej astronomskih zanimivosti in strokovnih reči lahko najdete
tudi med mojimi prispevki. So zanesljivi.
V bibliografiji so navedeni članki, ki obravnavajo določeno
astronomsko vsebino, ter kje jih najdemo in kdaj so bili objavljeni,
tj. naslov članka - ime revije - številka in stran - letnica.
Članke lahko preberete in si ustvarite svoje mnenje, lahko pa
jih tudi koristno uporabite pri svojem delu: pri pouku,
obšolskih dejavnostih, krožkih, referatih, seminarskih nalogah,
opazovanjih itn., kar je tudi glavni namen bibliografije.
Marijan Prosen
Kranj, konec novembra 2010
Spletene objave na strani AKG&ZV

Opoldanska senca
Raziskovanje dolžine opoldanske sence, ki jo od Sonca osvetljena
ravna palica meče v meridianski ravnini
Marijan Prosen - Majo (2017)
Še ostali imenitni prispevki prof. Marijana Prosena:
*
Zgodbe z zvezdnega neba
Za otroke od petega do desetega leta (M. Prosen)
*

Gledajo nas izpod neba
Velike opazovalne zanimivosti na zvezdnem nebu za otroke,
ki radi raziskujejo (M. Prosen)
*
Svetovno slavni astronomi
Od davnine do sredine 20. stoletja
Marijan Prosen - Majo
2010
ZAKAJ JE URAN PREKUCNJEN?
Avtor: Fred Watson
Prevod: Seta Oblak
Knjižnica Sigma (DMFA–založništvo)
ZAKAJ JE URAN PREKUCNJEN?
(WHY IS URANUS UPSIDE DOWN
AND other questions about the Universe)
K A Z A L O
------
O avtorju
Radioastronomija: Novice iz preostalega vesolja
Zvezdogledi: Astronomija, teleskopi in observatoriji
Teče kot ura: Mehanizmi planeta Zemlja
Tanka lupina ozračja: Svetloba in atmosfera
Vesoljski potniki: Človeštvo se loteva zadnjih meja
Nič več snov za bajke: Zemljina glavna spremljevalka
Več kot samo osem planetov: Novi Sončev sistem
Nor na zvezde: Naša Galaksija od znotraj
V širjave vesolja: Domena galaksij
Zmogljiva astronomija: Kozmologija in osnovna fizika
Kozmični utrinki: Nekaj zares zanimivih vprašanj
* Nadaljnje branje
* Zahvale
* Stvarno kazalo
--------------------------
Predstavitev
Fred Watson, vodilni astronom na Anglo-avstralskem observatoriju (AAO), je v osemdesetih
letih prejšnjega stoletja vodil kontaktno oddajo z astronomsko tematiko na avstralskem radiu ABC.
Knjižica je nastala na podlagi vprašanj, ki so jih desetletje postavljali poslušalci
Fredove oddaje.
Predstavljenih je 144 vprašanj in odgovorov, ki pokrivajo različna področja, kot so naravni
pojavi, astronomska oprema, delo astronomov, vesoljski poleti, vesoljski teleskopi,
teoretične osnove astronomije ... Na začetku vsakega poglavja je krajši uvod, v katerem
avtor predstavi novo temo in tako bralcu olajša razumevanje vprašanj in odgovorov.
Začetna poglavja se tičejo same Zemlje in naravnih pojavov, ki smo jim priča v vsakdanjem
življenju. Avtor nadaljuje z našim Osončjem, kjer med drugim pojasni, zakaj je Pluton
izgubil status planeta, in seveda, zakaj je Uran „prekucnjen“. V naslednjih poglavjih se
seli skozi Galaksijo, pojasni, zakaj zvezde svetijo, kako nastanejo, kako končajo svoje
življenje, in ob tej priložnosti predstavi supernove, pulzarje, nevtronske zvezde in črne
luknje. V zadnjem poglavju o kozmologiji avtorj med drugim pojasni Hubblov zakon, zaradi
katerega je Albert Einstein vrgel kozmološko konstanto iz svojih enačb. Predstavi tudi
rezultate opazovanj prasevanja in razloge, zakaj so astronomi danes mnenja, da v vesolju
prevladujeta temna energija in temna snov, in ne pozabi omeniti, da danes še vedno ne vemo,
kaj sta ti dve temni zadevi.
Besedilo je pisano na poljudnem nivoju in je razumljivo širšemu krogu bralcev, saj je
avtorjev cilj približati astronomijo prav tistim, ki se z astronomijo ne ukvarjajo.
Poleg strokovnih tem se v avtor dotakne tudi vprašanja, kakšne koristi sploh imata
posameznik in pravzaprav vse človeštvo od astronomije, zato besedilo priporočamo vsem,
ki jih astronomija in z njo povezane teme zanimajo vsaj toliko, da se jim občasno porodi
kakšno vprašanje, na katero ne poznajo odgovora.
2011
Prvi zapis slovenskih astronomskih izrazov
že leta 1711
Avtor: Marijan Prosen, 2011 (Spika)
Prvi zapis slovenskih astronomskih izrazov
že leta 1711
Dolgo časa smo mislili, da je spis O repatici, ki ga je objavil Valentin
Vodnik v Lublanskih novicah 2 (1798), prvi astronomski zapis v slovenščini.
Raziskave pa so pokazale, da je že leta 1711 kapucin, pater Hipolit
Novomeški (s pravim imenom Adam Gaiger, 1667 Novo mesto–1722 Kamnik)
zapisal prve slovenske astronomske izraze.
Hipolit je napisal trojezični slovar Dictionarium trilingue v dveh delih
(latinsko-nemško-slovenski in nemško-slovensko-latinski). Slovarju je
med drugim priložil še svoj prevod prve otroške ilustrirane knjige oziroma
enciklopedije Orbis pictus (Svet v slikah), ki je v nemško-latinski verziji
izšla leta 1658 in jo je napisal Jan Amos Komensky (1592–1670).
V prevedenem Orbisu pictusu so v poglavju o nebesnih telesih na treh
straneh objavljeni najprej latinski in nemški astronomski pojmi, nato pa
po Hipolitovem prevodu še njihovi ustrezni slovenski izrazi. Slovar in
prevod Orbisa pictusa sta na žalost ostala v rokopisu, nista prišla v
javnost, razen leta 1711 natisnjene in do zdaj ohranjene naslovnice
slovarja (glej sliko).
V Orbisu Pictusu najdemo precej slovenskih izrazov za astronomske pojme.
Naštejmo jih le nekaj: ''nebeshka kugla'' – izraz za nebesno kroglo,
''planetov stališča'' – izraz za aspekte planetov, ''te
lune podobe'' – izraz za Lunine mene, ''marknenie sonca inu lune'' –
izraz za mrk Sonca in Lune.
Prevod enciklopedije Orbis pictus je torej del rokopisa Hipolitovega
slovarja Dictionarium trilingue. Skenirani Hipolitov slovar lahko poiščemo
na digitalni knjižnici Slovenije, na dlib.si, Orbis pictus najdemo na
straneh 1077–1145, astronomijo v njem pa na straneh 1121–1123.
Naslovnica Hipolitovega slovarja Dictionarium trilingue (1711),
kjer so sistematično zapisani prvi slovenski astronomski izrazi.
Vir: dlib.si.
Za zdaj menimo, da naj bi bil to prvi dokumentiran in urejen tekst
(zapis) slovenskih astronomskih izrazov. Vsekakor pa Vodnikov spis
v Lublanskih novicah še nadalje ostaja prvi poljudni astronomski
članek, napisan v slovenščini.
Marijan Prosen
2011
VELIKI NAČRT
Avtor: Stephen Hawking in Leonard Mlodinow
Prevod: Janez Strnad
Knjižnica Sigma (DMFA–založništvo)
VELIKI NAČRT, Novi odgovori na zadnja vprašanja o življenju
(The Grand Design)
K A Z A L O
------
Skrivnost bivanja
Vladavina zakona
Kaj je realnost?
Alternativa zgodovine
Teorija vsega
Izberimo naše vesolje
Navidezni čudež
Veliki načrt
Slovarček
Zahvale
Stvarno kazalo
--------------------------
Predstavitev
Kdaj se je začelo vesolje in kako? Zakaj smo tukaj? Zakaj je tukaj nekaj in ne nič?
Kakšna je narava realnosti? Zakaj so zakoni narave tako tanko uglašeni, da dovoljujejo
obstoj bitij, kakršna smo mi? Končno, ali dozdevni "veliki načrt" našega vesolja govori
za dobrohotnega stvarnika, ki je spravil stvari v gibanje? Ali naravoslovje ponuja
drugačno razlago?
Najbolj temeljna vprašanja o začetku vesolja in življenja samega, ki so nekdaj bila področje
filozofije, zdaj sodijo v področje, na katerem se srečujejo naravoslovci, filozofi in
teologi – čeprav samo zato, da bi se ne strinjali. "Veliki načrt" predstavlja najnovejše
naravoslovno razmišljanje o ugankah vesolja v jeziku, ki je značilno sijajen in preprost.
"Veliki načrt" pojasni zadnje misli o modelno odvisnem realizmu (zamisli, da ne obstaja
samo ena različica realnosti) in o pojmu realnosti mnogoterega vesolja, v katerem je mnogo
vesolj. Tukaj najdemo zamisli o teoriji kozmologije od zgoraj navzdol (zamisel, da ne obstaja
ena sama zgodovina vesolja, ampak vse mogoče). Zaključi se s končno oceno teorije M in
razpravlja o tem, ali je to poenotena teorija, ki jo je Einstein iskal vse življenje.
To je po desetih letih prvo veliko delo enega od največjih svetovnih mislecev. Jedrnat vodič,
drzen in razkošno opremljen s slikami, spreminja naše razumevanje in ogroža nekatere od najbolj
varovanih sistemov verovanja. To je "Veliki načrt", knjiga, ki bo poučila – in
izzvala – kot nobena druga.
2011
TEORIJA GRAVITACIJE
Avtor: dr. Andrej Čadež, 2011
DMFA–založništvo
TEORIJA GRAVITACIJE
K A Z A L O
Uvod
------
Newtonov zakon gibanja in njegove simetrije
Galilejeve in Lorentzove transformacije
Specialna relativnost
Sile
Usmeritvena invariantnost gravitacijske teorije
Enačbe gravitacijskega polja in napetostni tenzor
Ilustracije
Gibanje planeta okrof Sonca
Givanje svetlobe v gravitacijskem polju Sonca
Orodja geometrije v n-razsežnih prostorih
Einsteinove enačbe in foliacija prostor-časa
Gravitacijsko polje statične sferno simetrične masne porazdelitve
Schwarzschildova črna luknja
Seznam pulzarjev v dvojnih sistemih
* Literatura
* Učbeniki
* Stvarno kazalo
--------------------------
O knjigi
Einsteinova splošna teorija relativnosti je klasična teorija gravitacijskega polja.
V javnosti je znana predvsem po napovedih, ki drastično spreminjajo dolgo časa ustaljene
predstave o fizikalnem svetu, kot so napovedi črnih lukenj v prostoru in gravitacijski
valovi. Še do nedavnega so bile te napovedi predvsem predmet raznih
znanstveno-fantastičnih špekulacij, ki niso imele eksperimentalne osnove.
Pravilnost te teorije so potrjevali trije ali štirje klasični testi, izvedeni
v Sončevem sistemu, kjer je gravitacija v njej lastnih enotah izjemno šibka in
se temu primerno tudi pojavi, ki jih napoveduje Einsteinova teorija, le zelo malo
razlikujejo od napovedi preprostejče Newtonove teorije gravitacije. Po avtorjevem
mnenju je tako popularno predstavljanje sodobne teorije gravitacije neupravičeno.
Lepota in pomen Einsteinove teorije gravitacije ni v eksotičnih pojavih ali
v točnih napovedih komaj opaznih pojavov v Sončevem sistemu, ampak v njeni
eleganci in v vplivu, ki ga je imela in še ima za razumevanje osnov fizikalnega
razumevanja prostora in časa. Fizikalna slika in metode te teorije so spremenile
celotno sodobno teoretično fiziko. Vse teorije polja, tako klasične kot kvantne,
morajo ustrezati tistim načelom, ki so prvič jasno postavljena v splošni relativnostni teoriji.
TO JE PRVI TAK PREGLED GRAVITACIJE V SLOVENŠČINI !!!
2011
Zvezdni sel
Avtor: Priddey Robert
Prevod: dr. Andreja Gomboc
Založba: DMFA
http://www.portalvvesolje.si/index.php?option=com_content&view=article&id=29&Itemid=12
PDF spremljevalna knjižica -
http://www.portalvvesolje.si/images/stories/2011/zvezdni_sel.pdf
Izšel je slovenski prevod Zvezdnega sla: gre za učni pripomoček
za dijake srednjih šol, ki je ob učiteljevi spremni razlagi
primeren tudi za učence osnovnih šol. Vključuje DVD s filmom
in spremljevalno knjižico. Posneli so ga profesionalni astronomi
na University of Hertfordshire v Veliki Britaniji.
Posvečen je 400 - letnici astronomskih teleskopov (1609-2009).
2014
Teorija relativnosti
Avtor: Albert Einstein
Prevod: dr. Matjaž Ličer
Založba ZRC
Albert Einstein je splošno teorijo relativnosti
v končni obliki objavil novembra 1915. minilo je torej sto let njenega obstoja
- to je hkrati prvi prevod Einsteinove knjige v slovenščino.
V Einsteinovi teoriji relativnosti
se skriva trenutno najbolj eleganten opis vesolja in nove mehanike nasploh.
Splošna teorija relativnosti razlaga gravitacijsko silo kot posledico
ukrivljenosti prostora-časa.
Gre za posplošitev Einsteinove posebne teorije relativnosti, ki pravi,
da je v inercialnih (nepospešenih) opazovalnih sistemih hitrost svetlobe konstantna,
torej invariantna količina.
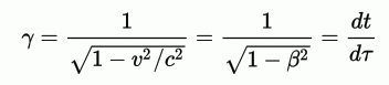
In dejansko pri velikih hitrostih (v), ki so
že primerljive s hitrostjo svetlobe (c),
opazimo
podaljšanje časa t (dilatacija) in skrčenje dolžin L (kontrakcija).
Člen

t - je koordinatni čas,
τ - je lastni čas opazovalca (proper time).

Lo - je lastna dolžina palice (proper length), ki jo izmeri opazovalec, kateri glede na palico miruje,
L - je dolžina palice, ki jo izmeri opazovalec, ki se relativno
glede na palico premika.
Velja, da
čas (med dogodkoma) za mirujočega opazovalca teče hitreje kot v gibajočem sistemu, in da
se dolžina gibajoče palice za mirujočega opazovalca skrči.
Iz tega izhaja spoznanje, da fizikalne zakonitosti ne
morejo biti odvisne od lege in gibanja opazovalca, spreminjajo se le enačbe, ki te
zakonitosti opisujejo. Prek Lorentzovih transformacij, ki opisujejo navidezno
skrčitev dolžin in podaljšanje časa, tako vidimo, da sta merjeni čas in
dolžina odvisna od hitrosti gibanja opazovalca, torej sta relativna.
Splošna teorija relativnosti pa je razširitev posebne teorije relativnosti na
inercialne sisteme, torej sisteme, v katerih je prisotna gravitacijska sila (recimo v polju
gravitacije masivnega telesa).
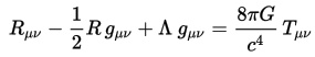
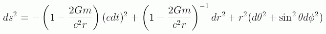
Teorija relativnosti prostor in čas poenoti v prostor-čas, saj prostor
brez časa ne more obstajati in obratno. Sledi tenzorski zapis Einstenovih enačb polja splošne
teorije relativnosti iz 1915.
Enačijo ukrivljenost prostor-časa, izraženo preko Einsteinovega tenzorja,
z energijo in gibalno količino, ki ju določa napetostni tenzor.
Tu je Rμν Riccijev tenzor, R Riccijev skalar,
gμν metrični tenzor,
Tμν napetostni tenzor
(v vakuumu je nič) in Λ je kozmološki člen (danes
se zdi, da je odgovoren za pospešeno širjenje vesolja).
G je gravitacijska konstanta, c pa hitrost svetlobe.
"Schwarzschild solution" - Spodaj je Schwarzschildova rešitev
Einsteinovih enačb polja (metrika - kvadrat razdalje dS2) - velja za
sferično telo z maso 'm' (krogelno simetrične objekte) in je ena najbolj
eminentnih enačb opisa mehanike
zvezd, planetov, obnašanja svetlobe v - (v glavnem) zaradi mase - ukrivljenem
prostoru. Na večjih razdaljah je potrebno upoštevati tudi temno snov in še kaj.
Prispodoba ukrivljenosti prostor-časa zaradi mase izražene
s prvim členom (T00 = ρ*c2)
napetostnega tenzorja iz Einsteinovih enačb polja.
V zapisu zraven 8πG/c4 pa sta
naravni konstanti, prirejeni k enačbam polja tako,
da upoštevajo relativnost časa v ukrivljenem prostor-času in pri
majhnih masah ter hitrostih
pripeljejo do klasičnega gravitacijskega zakona (F = GMm/r2).
V bistvu so Einsteinove enačbe polja v nekem smislu posplošitev znane
enačbe E = mc2 na pojav, ki ga večinoma poznamo pod pojmom gravitacija
(na ukrivljenost prostor-časa), kjer se tudi upošteva, da je čas odvisen od hitrosti
sistema in ukrivljenosti prostora.

Nazoren prikaz členov Einsteinovih enačb polja - priredil Vičar Z.
Kvocient G/c4 je kdaj privzet (zapisan) kot vrednost 1 - poenostavitve računov.
Vir org. slike: http://geopolicraticus.tumblr.com/post/133927088637/a-century-of-general-relativity
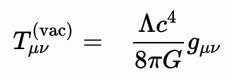
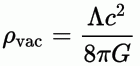
V praznem prostoru, ki je raven, je Riccijev tenzor
Rμν = 0, enako velja
za Riccijev skalar R, metrični
tenzor gμν pa ima v tem primeru v prvem členu vrednost
goo = 1
(napetostni tenzor pa
ima v prvem členu vrednost Too = ρc2) in ostaneta nam
zgolj enačbi:

Zadnja enačba predstavlja takoimenovano gostoto vakuuma (naj se sliši še tako čudno,
a v vakuumu se stalno dogajajo fluktuacije, pari delec-antidelec, ...)
in je to hkrati matematični zapis, poleg Heisenbergovega načela nedoločenosti
[ ΔEΔt ≥ h/(4π) ],
v katerem se skriva možna razlaga začetka vesolja: pospešeno širjenje prostor-časa.
Še zgodba o kozmološki konstanti Λ
Člen s kozmološko konstanto je izvirno vpeljal Einstein leta 1917, da bi omogočal
takšno rešitev enačb polja, ki bi podprla model statičnega nerazširjajočega se Vesolja.
Ta poskus uvedbe konstante se je pokazal za neuspešnega zaradi dveh razlogov.
Statično Vesolje je bilo po teoriji nestabilno in 1927 je Georges Lemaître
objavil članek ("A homogeneous Universe of constant mass and growing radius accounting
for the radial velocity of extragalactic nebulae" -
"Homogeno vesolje konstantne mase in naraščajočega
polmera izračunanega iz radialne hitrosti izvengalaktičnih meglic"), enako je
Hubble po desetletju
opazovanj leta 1929 okril oddaljevanje galaksij, kar je kazalo na širjenje Vesolja.
Einstein je člen z Λ
opustil in imenoval svojo vpeljavo »za svojo največjo zablodo v življenju«.
Dolgo časa so menili, da je vrednost kozmološke konstante enaka 0.
Novejša izboljšana astronomska opazovanja so odkrila, preko sija supernov tipa Ia,
da rezultate lahko pojasni
le od 0 različna kozmološka konstanta Λ,
saj se vesolje pospešeno širi.
2016
SEDEM KRATKIH LEKCIJ IZ FIZIKE
Avtor: Carlo Rovelli
Prevod: dr. Alojz Kodre
DMFA–založništvo
Zbirka: Presekova knjižnica
mehka vezava, 76 str.
Mere: 17x12
ISBN: 978-961-212-270-6
Cena: 9,50 €
Kazalo
Prva lekcija: Najlepša vseh teorij
Druga lekcija: Kvanti
Tretja lekcija: Arhitektura vesolja
Cetrta lekcija: Delci
Peta lekcija: Zrnati prostor
Šesta lekcija: Verjetnost, čas in toplota črnih lukenj
Za zaključek: Še o nas
V knjižici nas Rovelli z vsakdanjim jezikom pelje skozi zakonitosti sodobne fizike,
nam kaže, kako so se prepletale in dopolnjevale posamezne teorije, ki veljajo danes,
ter nam ob tem razkrije tudi miselni razvoj posameznih znanstvenikov in ovinkasto pot,
ki včasih pelje do končnega premisleka. Vse skupaj pa se začne že daleč nazaj, z enim
od fantovskih let, ki jih je mladi Albert Einstein prebil v brezciljnem
pohajkovanju – samo nekaj let zatem pa nato objavil tri članke, od katerih
bi si vsak zaslužil Nobelovo nagrado.
Knjigo je prevedel fizik Alojz Kodre – prevajalec Štoparskega vodnika po galaksiji.
2018
Moj prvi zvezdni atlas
Avtor: Bojan Kambič, 2018
CAMBIO
Moj prvi zvezdni atlas
--------------------------
O atlasu
Moj prvi zvezdni atlas je primeren za vse začetnike, ki se podajate
v svet astronomije, za starše z nadobudnimi otroki, ki jih zanima dogajanje na nebu,
tabornike, pohodnike in konec koncev tudi za resne opazovalce. Moj
prvi zvezdni atlas je na voljo v velikem formatu 30×44 cm. Velik format je pregleden, omogoča pa tudi
veliko lažje učenje in skupinsko delo na primer na naravoslovnih taborih ali pri šolskih astronomskih
krožkih. Atlas je plastificiran in odporen na vlago, tako ga lahko brez skrbi odneset
e pod nočno nebo. V zvezdnem atlasu je 12 mesečnih kart s prikazom neba ob meridijanu od juga do severa,
za lažje učenje in orientacijo pa so prikazane navidezne povezave med glavnimi zvezdami ozvezdij.Vse
svetlejše zvezde (do 3. magnitude) so tudi obarvane s pravimi, spektroskopskimi barvami, da jih boste
na nebu laže prepoznali.
Na koncu atlasa so še enostavna navodila za uporabo ter osnove, ki jih morate vedeti, preden
se lotite nočnih opazovanj.
Povzetek
12 mesečnih kart zvezdnega neba je izjemno preglednih, čitljivih
in enostavnih za uporabo. Je tudi robusten in odporen na vlago.
Priporočamo.
Navodila so podana zelo razumljivo, tudi velikosti kotov
in ocene le teh kar s stegnjeno roko, prsti, so zelo posrečena
rešitev za hitre ocene kotnih razdalj.
Atlas je izdan ob 25. letnici izhajanja Spike - edine astronomske revije v Sloveniji.
Čestitamo uredniku Bojanu Kambiču za dobre živce, vsa odrekanja
in za vztrajanje pri neponovljivem poslanstvu - izdajanju kvalitetne astronomske revije
za precej zahtevno (celo kdaj razvajeno) publiko in to v lepem slovenskem jeziku (jezikoslovci žal
še ne prepoznajo dejstva,
kako se je s Spiko obogatila slovenščina - no, važno da to prepoznajo bralci).
Bojan - čakamo na pol stoletja izhajanja Spike.
Slovenska astronomija je s Spiko doživela novo pomlad - škoda le,
da mačeha država tega (še) ne prepozna.
Nekaj zelo umestnih vprašanj!
Koliko mladih in odraslih je Spika navdušila in jim odprla vrata v svet
skrivnostnega vesolja? Koliko astronomskih društev in krožkov je nastalo zaradi Spike?
Koliko observatorijev so si naredili posamezniki, neformalne skupine, šole ...?
Koliko ljudi v Sloveniji zre v planete, Luno, Sonce, v nebesna telesa globokega neba,
zaradi navdiha Spike?
Koliko več mladih se je odločilo za študij astronomije - naravoslovja - zaradi Spike?
Koliko astronomskih srečanj je navdihnila Spika?
Koliko več astronomske opreme je obogatilo naše družine?
Koliko ljudi je začelo pisati astronomske članke prav zaradi Bojana - njegove Spike?
2018
Klop minevanja
Avtor: Hubert Reeves
Prevajalec: Ludvik Jevšenak
Število strani: 320
Vezava: Mehka vezava
Format: 135 x 250 mm
Založba: Narava d.o.o.
Poleg ribnika v Malicornu, pod veliko vrbo žalujko, ki se zrcali v mirni vodi, stoji lesena klop:
“klop minevanja”. Tam posedam in poskušam začutiti tisto kratko nit časa, ki predstavlja vse obdobje
našega obstoja. Po nekaj minutah tišine se mi v glavi porajajo misli, ki prihajajo iz mojega nenehnega
spraševanja o svetu – o svetu, ki ga občudujem, ki me hkrati navdušuje in vznemirja. Tako se pomirim.
Knjiga je namenjena vsem, ki se sprašujejo o veliki skrivnosti resničnosti, v katero smo za nekaj časa
postavljeni. V njej objavljam razmišljanja o temah, ki so mi pri srcu. Povedati nameravam, kaj so mi
dale izkušnje življenja, poklic astrofizika, ter jih posredovati tistim, ki mi izkazujejo čast, da se
zanimajo za moja intimna prepričanja, torej tista, ki so najpomembnejša, ko moramo o čem presoditi in se
konkretno odločiti. Vendar na teh straneh ni nič dokončnega. Vse je začasno in je mogoče
obnoviti – kadar koli.
2018
Konec časa
Avtor: Brain Greene
Prevajalka: Urška Pajer
Založba: Učila International, d.o.o.
"Le malo ljudi deli Greenovo obvladovanje tako najnovejše kozmološke znanosti
kot svetovne literature."
(The New York Times)
V knjigi Konec časa nas izjemen znanstvenik in avtor poljudnoznanstvenih knjig Brian Greene
popelje na raziskovanje vesolja in iskanje smisla v soočenju z ogromnimi prostranstvi kozmosa.
Avtorju sledimo od velikega poka do konca časa in spoznavamo, kako so nastale trajne strukture,
kako sta se pojavila življenje in um in kako poskušamo ljudje s pomočjo zgodb, mitov, vere,
ustvarjalnosti in znanosti ter z iskanjem resnice in globokim hrepenenjem po večnem osmisliti
svoj obstoj. V knjigi torej raziščemo vesolje od začetka časa pa do nečesa, podobnega koncu,
in si pri tem ogledamo, kako so nemirni in domiselni umi osvetlili temeljno minljivost vsega.
Prelomna knjiga, ki vsebuje nekoliko manj matematičnih formul, zato pa toliko več filozofskih spoznanj,
in s pomočjo katere se na popotovanju od delcev do planetov, od zavesti do ustvarjalnosti, od snovi
do smisla na krilih avtorjevih besed zavemo svoje hipne, toda žlahtne prisotnosti v kozmosu. ?
»Medtem ko sem pri vsakdanjem delu iskal teorijo velikega poenotenja in izvor vesolja,
sem se pri premlevanju širšega pomena znanstvenih odkritij pogosto vračal k vprašanju časa,
ki je odmerjen vsakemu izmed nas – zavedanja lastnega konca ima velik vpliv na to, kar počnemo;
večnost ima močan vpliv na um, ki se zaveda, da je njegov materialni obstoj omejen.«?
BRIAN GREENE (1963) je profesor fizike in matematike na Univerzi Columbia, ki si
je mednarodni ugled in prepoznavnost pridobil s številnimi prelomnimi odkritji na področju teorije
strun. Napisal je več poljudnoznanstvenih knjig, ki so vse navdušile bralce in postale velike
mednarodne uspešnice, med njimi tudi Čudovito vesolje in Tkanina vesolja, ki ju imamo tudi v
slovenskem prevodu. Ustvaril je tudi dve nagrajeni miniseriji NOVA in je soustanovitelj
Svetovnega znanstvenega festivala (World Science Festival). Z ženo in otrokoma živi v
kraju Andes v zvezni državi New York ter občasno v New Yorku. ?
KOMENTAR UREDNICE:
Uspešen pisec poljudnoznanstvenih knjig Brian Greene se v svojem najnovejšem delu
ukvarja s pojmovanjem časa in iskanjem smisla življenja v enormnem vesolju; knjiga
se nekoliko loči od prejšnjih, saj je v njej manj matematičnih formul, zato pa toliko
več citatov iz literature, filozofije, religioznih besedil … - v knjigi raziščemo vesolje
od začetka časa pa do nečesa, podobnega koncu, in si pri tem ogledamo, kako so nemirni
in domiselni umi osvetlili temeljno minljivost vsega.?
2023
Ali je "bistvo očem nevidno ..."
* izšla je uspešnica - Mali princ in turški astronom,
- leto izdaje 2023, avtor Francesco Palla (Italija), prevod v slo. Ludvik Jevšenak,
ilustrirala Sylvie Duvernoy, izdala Založba Narava.

Naslovnica imenitne pripovedi - Mali princ in turški astronom.
Ko sem leta 2023 prejel prvo verzijo delovnega prevoda v roko in prebral naslov,
se mi je zdelo samoumevno,
da se vsebina nove pripovedi ne more primerjati s prvotno svetovno uspešnico Mali princ
(avtorja: pilota Antoinea de Saint-Exupéryja). Brala jo je tudi moja babica Justina
pri starosti 90 let in bila je izjemno navdušena.
A "bistvo je očem nevidno ..."
Ko sem torej začel prebirati prvo verzijo prevoda, sem kmalu
spoznal, da utegne nadaljevanje "Malega princa", v navezavi z vesoljem, postati
nekaj, kar se je moralo zgoditi in je logično organsko nadaljevanje prvotne imenitne
zgodbe Francoza Saint-Exupéryja (Le Petit Prince, 1943, avtor žal leta 1944 umre
na izvidniškem poletu).
Če nam je pot v astronomijo kdaj prezahtevna, se je bojimo, zanjo nimamo časa, motivacije,
nam turški astronom in Mali princ elegantno in nevsiljivo na široko odpreta vrata na to
razburljivo pot - ne,
da bi se na začetku tega sploh zavedali.
Tako kar pademo v tok spoznavanja našega čudovitega razkošnega doma - to je v vesolje,
polno presenečenj in čudes, okrašeno z milijardami zvezd, planetov, kometov ...
Avtor je astronom širokega znanja, poznavatelj širše slike, zato da velik poudarek atomom,
ki jih seveda zaradi omejene ločljivosti naših čutil ne vidimo,
a vendar zbrani in povezani skupaj tvorijo pomemben del
vesolja. Tvorijo življenje, nas same - tvorijo zvezde, ozvezdja,
planete, lune, komete, asteroide, meglice,
galaksije, zvezde različnih tipov,
velikosti (rdeče orjakinje, pulzarje ...), temperatur in starosti ..., tja do skrivnostnih
črnih lukenj. Tako tudi spoznamo izjemen pomen težnosti in celo
temne snovi in temne energije.
Francesco Palla pogumno, a hkrati prepričljivo, poudari, da se zvezde rojevajo
iz meglic prahu in plinov,
kjer se organsko izlušči pojem zvezdne kopice, posledično podobnost med sestrami zvezdami
in najverjetnejši pojav eksoplanetov.
Torej - tudi o morebitnem življenju na oddaljenih eksoplanetih
se pogovarjata nadvse radovedni Mali princ in turški astronom.
Tudi eno od osnovnih orodij astronomije, spektrometer, je imenitno
opisano - to je naprava za beleženje spektrov, svetlobe, nebesnih teles.
Ker vsak atom, molekula oddaja (ali absorbira) njemu lastne barve svetlobe,
lahko že zgolj preko beleženja barv (valovnih dolžin)
določimo atomsko sestavo, temperaturo, hitrost svetov, ki so od nas oddaljeni
milijone in celo milijarde svetlobnih let in do njih nikoli ne bomo
pripotovali.
V tem delu knjige se avtor posrečeno dotakne bistvenega vprašanja, od kod
prihajajo in kako nastanejo kemijski elementi.
V dialogu izvemo (kar recimo naša generacija ni izvedela do študijskih let)
da nastajajo v zvezdah.
In Mali princ
prekrasno povzame ta del pogovora s čudovitim spoznanjem, da smo ljudje
v resnici otroci zvezd.
To je eden od vrhuncev te pripovedi - krasno!
Zdi se, oziroma med nami žal še živi dogma -
da tako zahtevne tematike, kot je moderna astronomije, ne moremo
opisati preko domišljijskega sveta namenjenega otrokom.
A pričujoča knjiga - tudi najprej preko navezave na antično mitologijo in
tradicijo prvotne opazovalne
astronomije naših prednikov, lepot nočnega neba, ozvezdij - nas vendar
elegantno in zelo prepričljivo, preko "otroških" vprašanj, pripelje do zadnjih spoznanj
moderne kozmologije - celo do temne energije, ki pospešeno širi naše vesolje
in tako na nek način širi tudi naše vedenje, razumevanje sveta, človeka.
Pravijo, da znanje, ki ga ne znamo približati otrokom, ni zrelo za univerzitetne
predavalnice. In prav naš sosed iz Italije, astronom Francesco Palla,
s svojo drznostjo, preprostostjo, dokazuje, da je to mogoče in
da se taka pot kmalu tudi obrestuje.
2025
Zvezde, osončja in njihovo opazovanje
Avtor: dr. Tomaž Zwitter
Založba: Založniška dejavnost FMF
Zbirka:
Fizika
Leto izida:
2025
Obseg:
524 strani
Izvedba:
A4, mehka vezava
ISSN:
2712-2409
ISBN:
978-961-6619-49-3
COBISS.SI-ID:
231217155
Cena:
40,00 €
Po kratkem orisu zgodovine govorimo o tehničnih vprašanjih načinov opazovanja in orientacije,
nato pa se posvetimo razpravi o potovanju po vesolju in trikom, ki jih uporabljamo pri potovanju
do oddaljenih planetov. Sledi pregled našega Osončja, lastnosti in razvoja Sonca in drugih zvezd
ter medzvezdnega prostora. Ob zvezdah, v zadnjem času pa tudi v prostoru med njimi, smo odkrili številne
planete, ki kažejo, da so planeti Zemljine velikosti in temperaturnih razmer v vesolju zelo pogosti.
Torej razmišljamo o možnostih razvoja in odkrivanja življenja zunaj Zemlje. Na koncu pogled razširimo na
celotno vesolje in njegov razvoj ter na opazovanja prvih zvezd v mladem vesolju, kar je bilo še nedavno
onkraj naših zmožnosti.
Delo je pisano za študente na začetku študija fizike, velik del pa je na nivoju, ki je dostopen tudi širši javnosti.
Tematika je široka in obravnava tudi sveža odkritja, kar pomeni, da so nekateri strokovni izrazi v slovenščini
zapisani prvič. Zato sta na koncu slovensko-angleški in angleško-slovenski slovarček strokovnih izrazov,
kot tudi stvarno in imensko kazalo, ter kazali imen nebesnih teles in vesoljskih odprav in teleskopov,
omenjenih v besedilu. V knjigi omenjene spletne povezave so navedene na strani https://zono.books.fmf.uni-lj.si/.
Založbi: SIGMA in UČILA (različna leta)
SIG75 KRATKA ZGODOVINA ČASA,
SIG52 BERILO H KRATKI ZGODOVINI ČASA
STEPHENA HAWKINGA
SIG54 ČRNE LUKNJE IN OTROŠKA VESOLJA
ter drugi eseji
DMFA04 ILUSTRIRANA KRATKA ZGODOVINA ČASA
UČI01 VESOLJE V OREHOVI LUPINI
UČI
04 VESOLJE V OREHOVI LUPINI
UČI05 NA RAMENIH VELIKANOV,
Zgodovinski mejniki v fiziki in astronomiji
Ranzinger, Dintinjana, Mikuž NAŠE NEBO "LETO", Astronomske efemeride

ASTRONOMSKA OPAZOVANJA
Kako v astronomiji s preprostimi napravami opazujemo in merimo (Presek)
Založba - DMFA

DO NEWTONOVIH ZAKONOV
Ob tristoletnici Principov (Presek)
Založba - DMFA

EUREKA!
Fizika delcev, snovi in vesolja
Roger J. Blin - Stoyle
Založba - DMFA
Revije (neastronomske), ki občasno pišejo o astronomiji:
Življenje in tehnika
Obzornik za matematiko in fiziko
Presek
Gea
Proteus
Astronomske vsebine na SPLETU.

Mednarodno leto astronomije 2009 (MLA2009)
- vesolje je nad tabo, odkrij ga
International Year of Astronomy 2009 (IYA2009)
- The aim of the Year is to stimulate worldwide interest, especially among young
people, in astronomy and science
under the central theme "The Universe, Yours to Discover".
http://www.fiz.uni-lj.si/astro/astronomija/zapiski.html
http://www.fiz.uni-lj.si/astro/learn.html
http://www.kvarkadabra.net/index.php?topic=astronomija
http://lizika.pfmb.uni-mb.si/observatorij/
http://www2.arnes.si/~svinta/povsnar.htm
http://www2.arnes.si/~gljsentvid10/zveka98.html
http://www2.arnes.si/~gljsentvid10/zgo_ast2.html
http://www2.arnes.si/~gljsentvid10/ast_pog.html
http://www2.arnes.si/~gljsentvid10/aclanki.html
http://www.kvarkadabra.net/index.html?/vesolje/animacije/astro.htm
http://www.fiz.uni-lj.si/~prsa/astro/seminarji/astronomska_noc.doc
http://fizika.uni-mb.si/urniki_datoteke/diplome/opazovanje_nocnega_neba.pdf
- nekaj vaj iz praktične astronomije
http://www.pef.uni-lj.si/gorani/terenske.html
http://www.fiz.uni-lj.si/astro/comets/apod/archivepix.html
Nekateri podatki o planetih, razdalje, masa ...
Vnesi velikost Sonca in izračunaj
ostale dimenzije in razdalje (javakalkulator).
http://www.zrsss.si/maja/razisdej/naloge/rac/seko/teleskop/teleskop.htm
http://www.fmf.uni-lj.si/~seliger/pedag1.htm
http://predmeti.fmf.uni-lj.si/ndo
http://predmeti.fmf.uni-lj.si/astronomija
Astronomske vsebine na SPLETU v tujih jezikih.
Pregled zvezd in okolice, tudi karte
Vesolje v učilnici
A TEACHER'S GUIDE TO THE UNIVERSE.
Seznam slovenskih astronomov, wikipedia
Zorko Vičar
Nazaj na domačo
stran.