Točke D, E in F naj bodo po vrsti razpolovišča stran
ic BC=a, AC=b in AB=c. Označimo trilinearne koordinate točke D z 0 : m : n. Ker sta ploščini trikotnikov ABD ter CAD enaki, velja
.
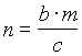
Od tod sledi
. Torej je:
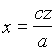
Enačba premice skozi A in D (to je nosilke težiščnice na stranico
BC=a) je:
oziroma by - cz = 0
Podobno dobimo enačbo nosilke težiščnice na stranico
AC=b (premica skozi B in E): ax - cz = 0 ,nosilka težiščnice na stranico
AB=c (premica skozi C in F) pa: cx - by = 0 . Te tri premice potekajo skozi skupno točko, saj zadoščajo pogoju konkurenčnosti (tri premice skozi skupno točko):
Sedaj lahko (na drug način) poiščemo še trilinearne koordinate težišča, ki smo jih
že izpeljali . Rešitev sistema treh enačb težiščnic: by - cz = 0; ax - cz = 0; ax - by = 0 je
,
. Torej je:
