Trigonometrija

Merjenje kotov - radiani Sinus in kosinus poljubnega kota Adicijski izreki Prehod na ostri kot Dvojni in polovični koti
Faktorizacija in razčlenitev kotnih funkcij Grafa funkcij sinus in cosinus Sinusno nihanje Tangens in kotangens Grafa funkcij tangens in kotangens
Krožne funkcije Reševanje preprostih trigonometričnih enačb Zahtevnejše trigonometrične enačbe

 

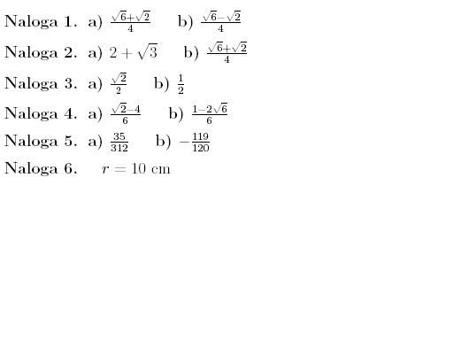
Rešitve: