Trigonometrija
Merjenje kotov - radiani
Sinus in kosinus poljubnega kota
Adicijski izreki
Prehod na ostri kot
Dvojni in polovični koti
Faktorizacija in razčlenitev kotnih funkcij
Grafa funkcij sinus in cosinus
Sinusno nihanje
Tangens in kotangens
Grafa funkcij tangens in kotangens
Krožne funkcije
Reševanje preprostih trigonometričnih enačb
Zahtevnejše trigonometrične enačbe
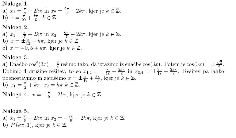
Rešitve: