EKO projekt v šolskem letu 2003/04
![]()

gija smo obravnavali naslednje vsebine:V tem šolskem letu nadaljujemo z aktivnostmi, ki smo si jih zastavili lani, ko smo prvič vstopali v mrežo slovenskih ekošol. Letos smo dodali našemu letnemu programu temo "Energija in botanika". V projektu Ener
Varčevanje z energijo, energija vetra,
Varčevanje z vodo in energijo, energija vetra,
Varčevanje z vodo in energijo,
Porabniki in varčevanje z energijo,
Sonce - vir energije,
Vpliv osvetljenosti na stanovanjske prostore,
Čisto okolje,
Izvedba ocene o porabi vode v šoli,
Poraba vode, električne energije in kurilnega olja v šoli,
Energetski pretvornik - vetrni motor,
Toplotne izgube,
Energija skozi likovni izraz,
Zdravilna zelišča,
Dišavnice,
Popis rastlin v okolici šole.
Na osnovi raziskovanj smo pripravili varčevalne ukrepe in izdelali energetske nalepke.
V projektu Botanika smo uredili okrasni zeliščni vrt, ki bo imel predvsem izobraževalne namene.
Označili smo drevesa, grmovnice in cvetlice z napisi imen. Zasadili smo tudi vrt z zdravilnimi rastlinami in dišavnicami. Tako bodo lahko nekatere učne ure potekale v naravi.Varčevanje z energijo, energija vetra
Mentorici: Anica Borko, Rozina Čuček
Z vetrnico in papirnatimi letali smo se odpravili na igrišče, kjer smo ugotavljali moč vetra. Pri preizkusu čolnička z vodnim kolesom smo si pripravili večjo posodo z vodo in jih postavili na vodno gladino. Vodno kolo se je zavrtelo in pognalo čolniček naprej.
Varčevanje z vodo in energijo, energija vetra
Mentorica: Polona Pangrčič
Učenci, ki so segrevali vodo v pokriti
posodi, so vodo segreli do vrelišča v 8 minutah. Ko so izmerili količino vode v posodi, je je bilo enako kot na začetku – 1 liter. Učenci, ki so segrevali vodo v odkriti posodi, so vodo segrevali 18 minut. Količina izmerjene vode po tem je bila 8,5 dl, oz. 850 ml. Ugotovili so tudi, da voda ni zavrela enako močno kot pri prvi skupini.
![]()
Učenci so se potrudili in so letala izdelali natančno, tako da so bila zelo aerodinamična in so dolgo letela po zraku. Tu so se že začele ugotovitve, kako bolje izkoristiti veter in zrak (zračni upor). Bolj kot je letalo aerodinamično, hitreje se lahko premika po zraku.
Varčevanje z vodo in energijo
Mentorica: Antonija Divjak
Ugotovili smo, da doma zbiramo deževnico. Da je največja poraba vode med vikendi, ko se največkrat pere perilo
. Takrat imajo največ časa za čiščenje in umivanje. Ugotovili smo tudi, da je voda potrebna v vsakdanjem življenju rastlinam, živalim ter ljudem in da premalo varčujemo z vodo. Zbirati moramo deževnico, da nam bo ostalo več pitne vode.
![]()
Sami smo izdelovali tudi vetrovne vreče. Postavili smo jih na dvorišče in opazovali smer in moč vetra.
Porabniki in varčevanje z energijo
Mentorica: Marinka Hren
Tudi pri vetrnicah nastaja električni tok. Energija ni samo draga, ampak močno onesnažuje okolje. Z energijo je potrebno varčevati.
Sonce - vir energije
Mentorica: Angelca Peklar
Sončna toplota segreva vodo in prst ter tako pospeši rast rastlin. rastline brez svetlobe ne tvorijo zelenih listov, ki proizvajajo kisik za dihanje. Po soncu in ob pomoči ure se lahko v naravi orientiramo. S pomočjo sonca merimo čas.
Vpliv osvetljenosti na stanovanjske prostore
Mentorica: Marjanca Golob
Idealna bi bila prisojna lega parcele. V spalne prostore naj posije jutranje sonce. V bivalne prostore naj posije sonce opoldan in popoldan. Najprimernejši vhod je s severne strani, če je tudi cesta na severni strani.
Čisto okolje
Mentorica: Kristina Kaučič
Z vodo ne varčujemo samo v sušnih obdobjih. Pri umivanju rok ne odpiramo vodovodne pipe do konca. Namestimo zbiralec deževnice za zalivanje rož in zelenic. Ko nas v učilnici greje sonce, ne potrebujemo druge toplote.
Izvedba ocene o porabi vode v šoli
Mentorica: Cvetka Bezjak
Ugotovili smo, da pipe puščajo zaradi dotraja
nosti ali zaradi obilnega vodnega kamna. Namerno odprtih pip nismo našli.Iztekanje vode iz pipe pripomore k njeni največji izgubi. Pregledali smo jih 32 in iz 14 pip je voda odtekala po kapljicah ali v manjših curkih. To pa predstavlja kar veliko izgubo vode in seveda porabo električne energije, saj odteka tudi topla voda. S tem pa je tudi večja poraba denarja.
Da bomo redno zapirali pipe, smo izdelali piktograme, ki nas bodo na to opominjali.
Poraba vode, električne energije in kurilnega olja v šoli
Mentorja: Marjan Žmavc, Oto Hren
Porabo navedenih virov energije smo izračunali na podlagi enomesečnih meritev porabe posameznih energij.
Ugotovili smo, da se največ energije porabi v zimskih mesecih, predvsem elektrike in kurilnega olja.Mnenja smo, da bi lahko porabo zmanjšali ob boljši izolaciji šolskih prostorov in bolj ozaveščenem delovanju vseh subjektov, ki živijo in delajo v naši šoli.
POVP
REČNA PORABA ELEKTRIKE
1. števec
2. števec
Dnevna poraba
127,6 kwh
73,1kwh
515,3 kwh
139,7 kwh
Mesečna poraba
2425 kwh
1389 kwh
9791 kwh
2655 kwh
POVPREČNA PORABA KURILNEGA OLJA
167,1 l
5285,7 l
Sezonska poraba(7 mesecev)
37.000 l
Energetski pretvornik - vetrni motor
Mentor: Mirko Galun
Zelo primeren energetski pretvornik je vetrni motor. Podoben je klopotcu. Veter poganja eliso ali vetrnico, ki se zaradi tega vrti. Na vetrnici je pritrjena gred, na gredi je jermenica, ki je povezana z jermenom z jermenico generatorja. Ko se rotor generatorja vrti, se na priključkih generatorja pojavi električna napetost, ki poganja tok skozi električne porabnike. Električni generator tako pretvarja delo vetra v električno delo. Seveda je umestno, če vetrni motor postavimo na mestih, kjer pogosto piha dovolj močan veter.
Toplotne izgube
Mentor: Slavko Toplak
Projektna skupina spozna temeljne fizikalne pojme s področja toplote in toplotne prevodnosti. Teoretična spoznanja uporabi za izračun toplotnih izgub naše šole. Alternativne rešitve potrdi z eks
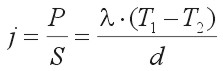
perimenti toplotnega izoliranja.Toplotna prevodnost snovi gostota toplotnega toka
Toplotno prevodnost snovi določa koeficient toplotne prevodnosti l . Enota toplotne prevodnosti W/mK pove, kolikšen je toplotni tok pri debelini stene 1m in temperaturni razliki 1 K (Kelvin).
![]()
Izračun toplotnih izgub za šolo
Toplotna prevodnost stene: j = 26W/m2
Izračun povprečnega toplotnega toka za celo šolsko zgradbo: P = 78 kW
Toplotne izgube v kurilni sezoni: Q = 1,2 .1012 J (joul)
Sproščena toplotna energija ( kurilno olje): Q = 1012 J (joul)
Primerjava izračuna [4] in [5] nam dobro potrjuje ocenjene vrednosti v izračunih, ustreznostdrugih merskih podatkov in navsezadnje pravilnost sklepanja, saj razlikovanje s faktorjem 0,2 ni veliko.
Izoliranje zunanjih sten šole s 5cm debelim stiroporom
Z izračuni smo prišli do rezultata, da bi se s tovrstnim izoliranjem zmanjšale toplotne izgube v povprečju za 44%. V enem letu bi prihranili okrog 1,5 milijonov tolarjev. Pomembno je, da se dobra izolacija izvede ob sami gradnji, saj bi bili kasnejši investicijski posegi bistveno dražji. S stališča ekološke zavesti in varčevanja z energijo oz. z zalogami energetskih virov je smotrno izvajati tudi dodatna izoliranja zgradb.
Merjenje toplotnih prevodnosti nekaterih materialov
Tri pločevinaste posode v obliki kocke napolnimo z vročo vodo. Vodo izberemo zaradi visoke toplotne kapacitivnosti. Potem dve taki telesi izoliramo s stiroporom in siporeksom z debelino stene 10cm. Nato v časovnih presledkih merimo temperaturo vode v vseh treh posodah in podatke zapisujemo v tabelo. Temperatura okolice je 19°C.
Iz meritev smo izračunali koeficienta toplotne prevodnosti za siporeks 0,1W/m2 in za stiropor 0,04W/m2.
Energija skozi likovni izraz
Mentor: Mitja Stanek
Gre za kulturo odpadka, s katerim lahko opozorimo mimoidoče, da vse tudi ni za smeti. Kultura odpadkov je pojem iz objektne umetnosti, ki zajema izrabljene predmete skozi čas potrošnje v moderni masovni civilizaciji. Ti predmeti se z umetniško predelavo spremenijo v nove čiste estetske odnose in pri tem pridobijo nove funkcije, nove lastnosti in nove pomene. V svetu likovne umetnosti se ji posveča vedno več pozornosti.
Zdravilna zelišča
Mentor: Zdenka Bradač, Jasna Lipovž
Veliko zdravilnih zelišč uporabljamo v kulinariki ne samo za čaje. Dodajamo jih glavnih jedem, solatam, pecivu, domačemu jabolčnemu kisu, olivnemu olju, iz njih delamo vitaminske napitke, marmelade in kompote.
ČAJNE MEŠANICE
Iz različnih zelišč si lahko pripravimo čajne mešanice, ki pa morajo vsebovati ustrezne rastline in določene količine.
Tu je primer čajne mešanice zoper želodčne bolečine:
Korenina regrata – Radix Taraxaci 2 dag
List rmana – Folium Milleflii 4 dag
Zel pelina – Herba Absinthii 4 dag
Priprava: Poparek iz ene jedilne žlice čajne mešanice na čašo vode. Zaužijemo pol ure pred obroki po dve jedilni žlici čaja.
Dišavnice
Mentorici: Dragica Prosenjak, Irena Druzovič
Tradicionalno zeliščarsko znanje vse bolj izginja, povečuje pa se zanimanje za tradicionalne načine samozdravljenja. Gojena zelišča imajo estetsko in uporabno vrednost. Pretirano nabiranje zelišč v naravi lahko povzroči izginotje določenih rastlin.
TIMIJAN
Močno olesenela, grmičasta stebla so olistana z ozkimi sivozelenimi listi. Maja se razvijejo rožnati cvetovi. Timijan je trajnica in ima močno dišeči okus. Dodajamo ga mesnim jedem, enolončnicam, krompirju, divjačini. Vzamemo ga le ščepec; kuhamo ga z drugo hrano. Suh timijan shranjujemo v zaprte kozarce, svežega konzerviramo v kisu ali olju.
Popis rastlin v okolici šole
Mentor: Majda Toš, Irena Kolarič
V okolici šole so učenke popisale 30 različnih vrst rastlin. Rastline so označile s slovenskimi in latinskimi imeni ter jih uvrstile v družine. Določevale so jih s pomočjo ključa. Poleg imen so spoznale tudi zanimive podatke o rastišču, izvoru, posebnostih in značilnostih posameznih vrst ter o njihovi uporabnosti. Rastline so označile s tablicami.