Odvod

Definicija odvoda Pravila za odvajanje Potenčne funkcije Odvod sestavljene funkcije
Odvod inverzne funkcije Geometrijski pomen odvoda Tangente stožnic Kot med krivuljama
Odvod implicitne funkcije Naraščanje, padanje, stacionarne točke in ekstremi  

 

 

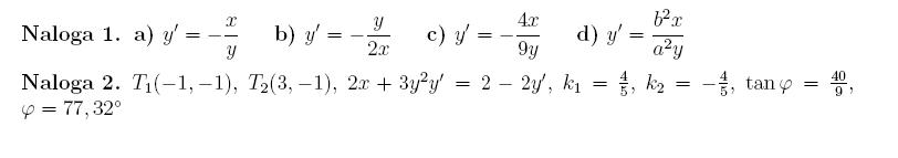
Rešitve: