Integral

Nedoločeni integral in tabela integralov Pravila za integriranje in integracijske metode Določeni integral Lastnosti določenega integrala
Zveza med določenim in nedoločenim integralom Ploščine krivočrtnih likov Trapezna formula Uvedba nove spremenljivke v določeni integral

 

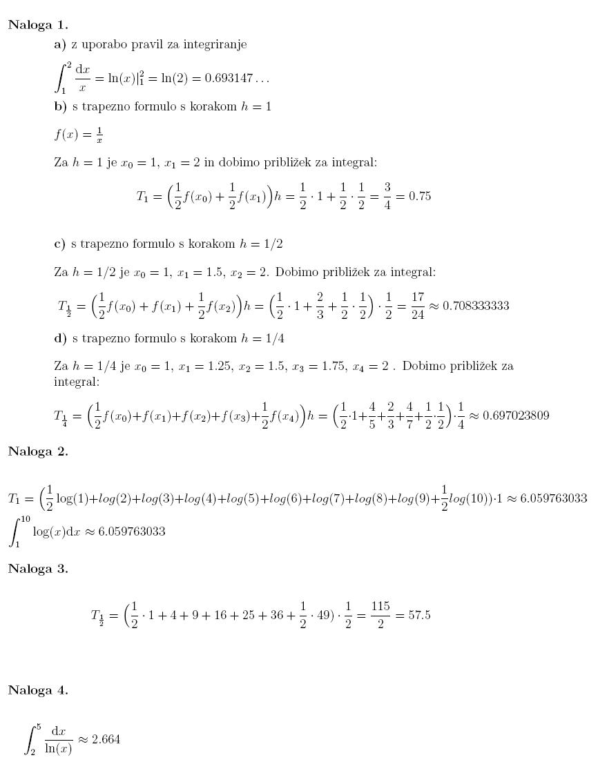
Rešitve: