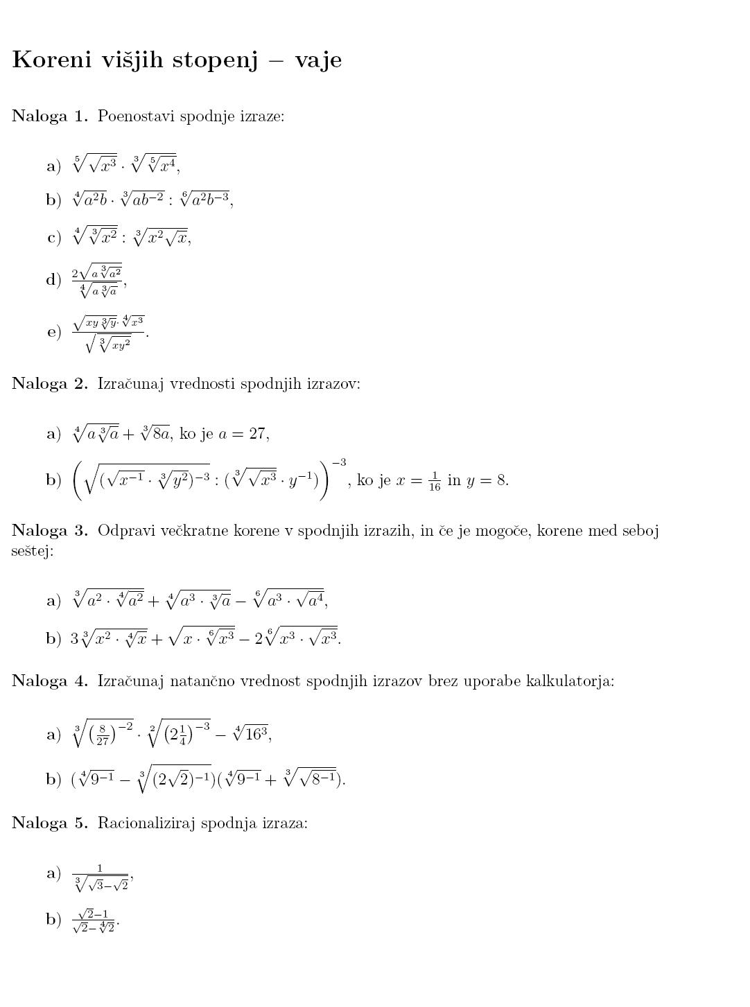
Potence in koreni

Potence z racionalnimi eksponenti Kvadratni koren Koreni višjih stopenj Koreni višjih stopenj - vaje
Potence s celimi eksponenti Potence s celimi eksponenti - vaje Iracionalne enačbe  

 

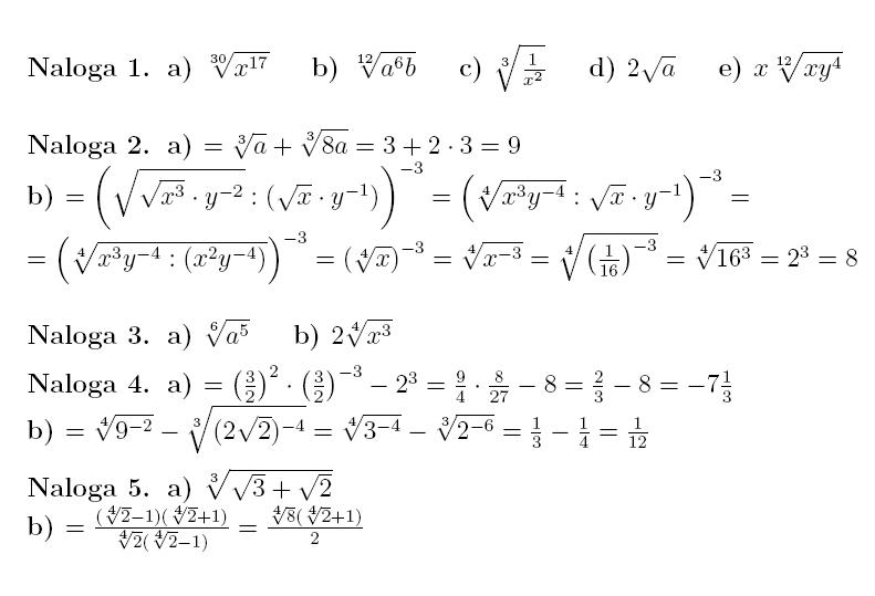
Rešitve: