Eksponentna funkcija in logaritem

Eksponentna funkcija - definicija Lastnosti in graf eksponentne funkcije Eksponentna enačba Definicija logaritma in računanje z logaritmi
Eksponentna neenačba in zahtevnejše eksponentne enačbe Število e in eksponentna rast Logaritemska enačba in neenačba
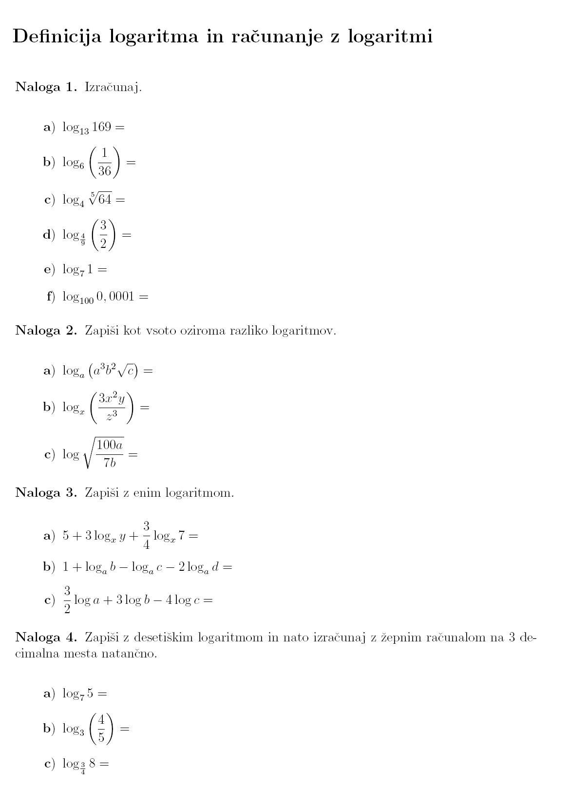
Logaritemska funkcija in njen graf Premiki in raztegi grafa logaritemske funkcije Uporaba logaritemske funkcije

 

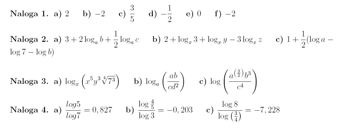
Rešitve: