Računanje z izrazi

Algebrski ulomki Enačbe z alg. ulomki Kvadrat in kub dvočlenika Obravnavanje neenačb Pascalov trikotnik Razstavljanje in izpostavljanje
Razstavljanje dvočlenika Razstavljanje tričlenika Razstavljanje štiričlenika Veččleniki Zahtevnejši veččleniki

 

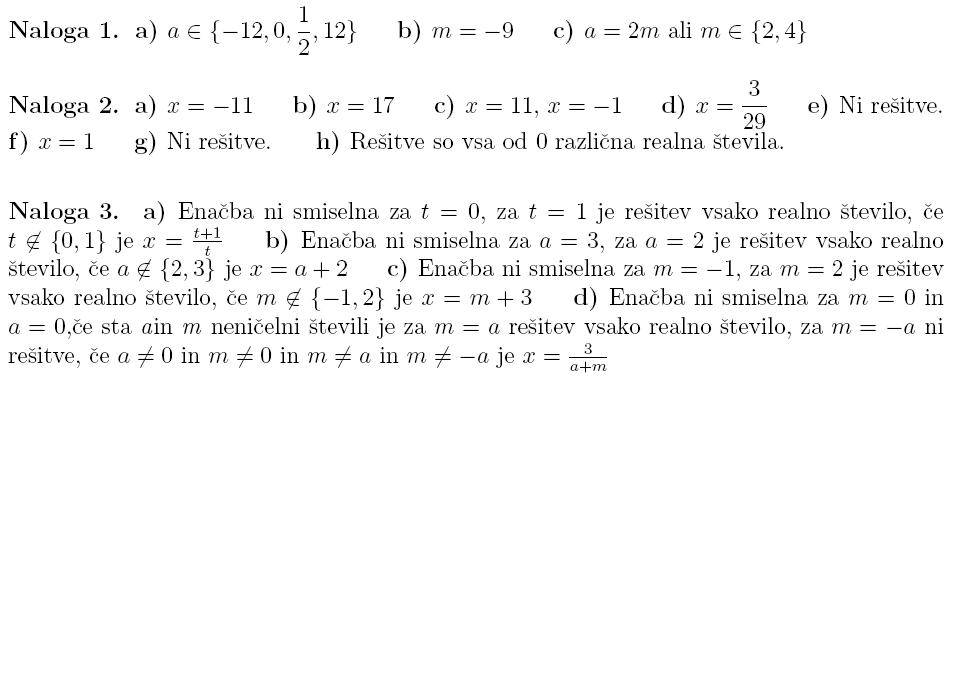
Rešitve: