Površina piramide meri 144 cm2.


Potek reševanja:

a2 = 36 cm2

a = 6 cm

 

 

 

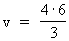
  1. Iz razmerja a : v = 3 : 4 izračunamo v = AV:
  2. 3.v = 4.a

    v = AV = 8 cm

     

  3. P = O + pl

Plašč sestavljajo štirje pravokotni trikotniki ABV, BDV, CDV in DAV. Vsakemu izračunamo ploščino po obrazcu .

BV2 = AB2 + AV2

BV2 = 36 + 64

BV2 = 100

BV = 10 cm

BV = DV

 

in še površina:

P = 36 + 24 + 30 + 30 + 24

P = 144 cm2

Nazaj