TEŽJE NALOGE

  1. V prostorčku za odgovor najprej zbriši zvezdico, nato pa vpiši odgovor.
  2. Vse odgovore zapisuj z malimi črkami, besede izpiši v celoti (ne uporabljaj oznak), številk pa ne piši z besedami.
  3. Pri nalogah, kjer je ponujenih več rešitev, klikni v krogec pred pravilno trditvijo.


Če želiš pri reševanju nalog poiskati pomoč v gradivu, izberi POMOČ.

Ko pomoči ne boš več potreboval, okno obvezno zapri!


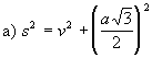
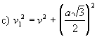
  1. V pravilni 6-strani piramidi z znanim osnovnim robom a in višino v izračunamo
  2. stranski rob po obrazcu:

    Pravilni odgovor je

    višino stranske ploskve pa po obrazcu:

    Pravilni odgovor je

     

  3. Površina pravilne 4-strane piramide je 7-krat večja od osnovne ploskve. Osnovni rob piramide meri 6 cm, višina stranske ploskve pa cm.

     

  4. Plašča pravilne 3-strane in pravilne 4-strane piramide sta enaka. Piramidi imata enaki višini stranskih ploskev. V kolikšnem razmerju sta osnovna robova tri in štiristrane piramide?
  5. * 3 : 4

    * 4 : 3

  6. Površina enakorobe 4-strane piramide meri cm2. Rob te piramide meri cm.

     

  7. Površina pravilnega četverca je cm2. Stranski rob te piramide meri cm.

     

  8. Površina pravilne 4-strane piramide meri 144 cm2, osnovna ploskev pa 64 cm2. Koliko cm3 meri prostornina te piramide?
  9. * 64

    * 80

  10. Višina stranske ploskve pravilne 4-strane piramide je enaka osnovnemu robu. Površina te piramide meri 75 cm2. Dolžina osnovnega roba je cm.

     

  11. Pravilna 3-strana piramida ima prostornino cm3. Višina piramide je enaka dolžini osnovnega roba. Osnovni rob te piramide meri cm.

     

  12. Kvader in piramida imata skladni osnovni ploskvi. Višina piramide je enaka dvema višinama kvadra. Razmerje med prostornino kvadra in prostornino piramide je
  13. * 3 : 1

    * 3 : 2

  14. Dani sta kocka ABCDEFGH in piramida, ki jo določajo oglišča kocke BGEF.

Prostornina kocke in prostornina piramide sta v razmerju .


Reševal si 11 nalog. Pravilno si odgovoril na vprašanj.


Vzemi list ali pa zvezek in se loti še malo daljših nalog:

 

 

Rešitev

 

 

Rešitev

 

Rezultata zaokroži na dve decimalki!

 

Rešitev

 

Piramida ima svoj vrh v presečišču telesnih diagonal kocke.

Izrazi z osnovnim robom a površino in prostornino tako nastalega telesa!

Rešitev

 

Vračam se na stran PIRAMIDE.