









![]() |
![]() |





|








|
HeBurning.GIF |
CNO.GIF |
ComptonScattering.GIF |
Hburning.GIF |
Be7produce.gif |
Li7produce.gif |
Li6produce.gif |
PositronAnnihlation.GIF |
|
pncollide.GIF |
pncollidey.GIF |
ppchain.GIF |
alpha.carbon.gif |
|
HeNucleosynthesis1.GIF |
HeNucleosynthesis2.GIF |
nuclear.gif |
nuclear.gif |

Iz: http://ircamera.as.arizona.edu/NatSci102/lectures/supernovae.htm
V spomin, in memoriam: Marjani Deržaj ORION Čez tisoč let, ko naju več ne bo, bo spet prav tak večer, kot je nocoj. Na modrem nebu daljen in svetal spet kot nocoj bo Orijon sijal. Zeleni hrast ki pošumeva v noč, takrat prastaro temno bo drevo šumel bo v vetru kot teman spomin na ta večer, ko stala sva pod njim. Skoz mrak bo trepetala istih zvezd srebrna luč le mladi par, ki se bo tu takrat objel bo drug prav kot nocoj v pomladni mrak sijal bo orion in prav takrat kot jaz morda bo rekla deklica kako je daleč, kako je lep, kako blešči se njegovih sedem zvezd. Čez tisoč let, ko naju ne bo več, na nebu Orion sijal bo še poljubi me za tisoč dolgih let ko mlad par se bo poljubil spet. Tekst: Gregor Strniša | ||||
![]() Galileo Galilei 15. februar 1564, Pisa Italija , † 8. januar 1642. |
![]() |
![]() Karol Wojtyla 18. maj 1920, Wadowice pri Krakovu, Poljska, † 2. april 2005 |
||
Karol se je rodil na dan Sončevega mrka (18.5.1920) in bil z njim pokopan (8.4.2005).
Za datume mrkov glej efemeride - k nastanku nebesne mehanike je veliko prispeval Galilei, predvsem pa Johannes Kepler.
![]() Papež Karol je bil drugi zelo vpliven politik (karizma), ki je priznal novonastalo državo Slovenijo, našo domovino (priznanje se je zgodilo 13.1.1992, to je slabih 6 mesecev po končani osamosvojitveni vojni za Slovenijo). Astronomija, tudi amaterska, se je v svobodni Sloveniji izjemno razvila. Imamo na desetine društev in astronomskih krožkov. Velikemu Galileiju se je Karol opravičil, ker je bil sodni postopek, s strani cerkve, proti Galileiju potvorjen, nepravilen in krivičen (Galileo Galilei je moral svoja stara leta preživeti v hišnem priporu). Zanimivo, znanstveno pot je Galileiju tlakoval drug veliki Poljak, Nikolaj Kopernik. Krog se je tako sklenil - in vendar se premika, vrti, je izjavil Galilei (E pur si muove). Zanimivo, ne Kepler in ne Kopernik, zaradi svojega znanstvenega dela, nista imela težav s cerkvenim pravom (Kepler je bil protestant, a je delal pri katoličanih in celo z jezuiti). Svet je poln znanstvenih in medčloveških skrivnosti. Pomenljivo je, da je Evropski prostor, zahodni svet, kjub vsem zgodovinskim zablodam (nekateri menijo, da ravno zaradi njih), enormno vplival na razvoj znanosti, mišljenja, tehnike itn. Ali bo to za Evropo in Svet morebiti celo pogubno? Dejstvo je, da skoraj ves svet želi posnemati Evropo, po razvitosti, mišljenju, dobrinah, večina ljudi bi se kar preselila v Evropo - nasprotnega toka, iz zahodnega sveta v ostale civilizacije, pa zaenkrat skoraj ni. Kaj je to na Evropi, ki je tako notranje razklana in se mnogi hudujejo nad njeno "mračno" preteklostjo in sedanjostjo, da vsi želijo prav k "nam"? ![]() Galilei skicira Sonce vsak dan, od 2. do 26. junija 1612. Danes smo njegove skice animirali, res prepričljiv dokaz, da se Sonce premika, vrti. Iz: http://www.thursdaysclassroom.com/index_03feb00.html http://www.law.umkc.edu/faculty/projects/ftrials/galileo/galileo.html |
||||
Vsako človeško udejstvovanje, vsak projekt, je veriga znanih in neznanih dogodkov in ljudi iz preteklosti in sedanjosti. Da nek proces steče, teče ali pa se nenadoma ustavi, je dovolj: majhen dogodek, beseda, sprememba klime v družbi, trenutno počutje, bežno srečanje, drobna informacija itn, vseh teh vplivov, dogodkov, "slučajev" ponavadi ne prepoznamo. Zakaj astronomija?! Zdi se, da smo Ljudje le bežen trenutek v času Vesolja, tako neznatni, pa vendar, ko gledamo v zvezdno Nebo, gledamo milijarde let v preteklost in hkrati napovedujemo dogodke milijarde let v prihodnost, ko našega rodu morebiti več ne bo, ko se bomo vrnili nazaj med zvezdni prah* Ljudje marsičesa ne razumemo, se sprašujemo o smislu lastnega bivanja, se zavedamo - ponavadi z grenkobo v srcu - svoje lastne minljivosti in končnosti, pa vendar se zdi, da ima vse smisel, še več, predrzno celo pomislimo, da Vesolje skozi Človeka osmisljuje samo sebe* Tudi če tega ne moremo dokazati, je ta misel, ta skrivnost, morebiti vredna Življenja* Bodimo Otroci, glejmo v Nebo* |
||||





Predavanja so bila v najvisji predavalnici TIC-a (Turistcno informacijskega cenra).
Kljub oblacnemu vremenu je bila predavalnica nabito polna, saj se je srecanja udelezilo
okrog 80 ljudi. Okrog 15h so se zacela predavanja. Bilo je pet daljsih pedavanj
(Herman Mikuz, Javor Kac, Igor Ziberna, Furio Pieri in Maruno Tumpic) in
predstavitve organiatorjev (Matej, Teja in Primoz).
Zelo zanimivi so bili Hermanovi posnetki istega dela neba, pri neprimerni in primerni
javni razsvetljavi ulic. Potrebno je apelirati na državni zbor, da sprejme ustrezen zakon
o pravilni postavitvi in izbiri javne razsvetljave.

Glej tudi pobudo: Pobuda za temno nebo
Dark Sky Slovenia
Med čakanjem na jasno noč smo si ogledali film Vesna (prikupna slovenska klasika), romatičen Stanjel ponoči,
Ferarijev vrt,itn. Štanjel je res prelepa kamnita kraška vas (premalo cenjena in obiskana),
škoda, da ni več starega gradu.
Okrog 20.30 smo zakljucili s predavanji. Najbolj zagrizeni pa smo ob caju in roladah
cakali na jasnino do 3h zjutraj, ki je nazalost nismo docakali.
Messierjev maraton na Limbarski Gori 2004.
Glej tudi uradno stran dogodka.
Štanjel - predstavitev



![]() |
![]() |
![]() |
![]() |
Primerjalna slika iz 17.2.2004.
|
Primerjalna slika iz 17.2.2004.
|












![]() Galaksija M 31 v Andromedi. |
![]() Galaksiji M 81 in M 82. |
![]() Orionova meglica M 42. |
![]() Meglica Alnitak IC 434 ob zeti z Oriona. |
![]() Alnitak IC 434, desno konjska glava. |
![]() Alnitak IC 434, desno konjska glava. |


GLEJ PROGRAM URADNE STRANI http://www.fizika2005.net/ in http://www.dmfa.si/PovzetkiDS2005.pdf
Med drugim bodo v letu 2005 naslednje aktivnosti:
- 3. februar 2005, dr. Tomaž Zwitter, Razdalje v vesolju / Fakulteta za matematiko in
fiziko, Univerza v Ljubljani
- 15. februar 2005, dr. Igor Serše, Magnetna resonanca v medicini, Pokrajinski muzej Ptuj
- 23. februar 2005, dr. Ferdinand Trenc, Motorji z notranjim izgorevanjem / Bežigrajska
knjižnica, Ljubljana
- 2. marec 2005, dr. Borut Bajec, Poenotenje sil / Politehnika Nova Gorica
- 10. marec 2005, dr. Klemen Kočevar, Fizika tablet / Mestni muzej Idrija
- 15. marec 2005, dr. Iztok Arčon, Rentgenska svetloba - -okno v svet
atomov / Dolenjski muzej, Novo mesto
- 5. april 2005, dr. Gvido Bratina, Organski polprevodniki /
Muzej novejše zgodovine Celje
- 13. april 2005, dr. Rudolf Podgornik, Fizika DNK / Pedagoška fakulteta,
Univerza v Mariboru
- 19. april 2005, dr. Marko Marinček, Uporaba laserjev / Pokrajinski muzej
Koper
Odnos A. Einsteina do mature
(Seveda je to le eden od pogledov, ki je delno posledica Einsteinovih
slabih izkusenj z maturo, a vsekakor vreden razmisleka).
NOČNA MORA Mature, ki sledi normalnemu obisku šole, nimam samo za nepotrebno, ampak celo za škodljivo. Za nepotrebno jo imam, ker brez dvoma lahko učitelji kake šole ocenijo zrelost mladega človeka, ki je več let obiskoval šolo. Vtis, ki so ga učitelji med časom šolanja dobili o učencu, in zagotovo veliko število pisnih izdelkov, ki jih je moral izdelati vsak učenec, dajo skupaj dovolj obširno podlago za oceno učenca, boljšo, kot jo lahko da še tako skrbno izveden izpit. Za škodljivo imam maturo iz dveh razlogov. Strah pred izpitom in velik obseg snovi, ki jo je treba zajeti s spominom, v znatni meri škodujeta zdravju številnih mladih ljudi. To dejstvo preveč dobro poznamo, da bi ga bilo treba na dolgo utemeljevati. Vseeno pa bi rad omenil znano zadevo, da številne Ijudi v zelo različnih poklicih, ki so v življenju uspeli in za katere ne moremo reči, da imajo šibke živce, do pozne starosti v sanjah muči strah pred maturo. Matura je škodljiva še zato, ker zniža raven poučevanja v zadnjih šolskih letih. Stvarno zaposlitev s posameznimi predmeti prerado nadomesti nekakšno bolj ali manj zunanje urjenje učencev za izpit, poglobitev pa nadomesti nekakšen bolj ali manj zunanji dril, ki naj razredu pred izpraševalci podeli določen sijaj. Zato proc z zrelostnim izpitom! A. Einstein Zapis, objavljen v časopisu Berliner Tageblatt 25. dedembra 1917.Zgornji zapis (prevod) je bil zavrnjen v neki strokovni slovenski reviji, čeprav ga je za objavo predlagal zelo eminenten naravoslovec. Če se strinjamo z zapisom ali ne, neobjava Einsteinove misli veliko pove o svobodi in kritičnosti duha naše dežele.
Odlomki iz knjig:
avtor 1: David Bodanis - E=mc2,
Življenjepis najslavnejše enačbe na svetu,
avtor 2: doktor prof. fizike Janez Strnad - Fiziki I,II,III,
avtor 3 ISAAC ASIMOV - Enciklopedija
znanosti in tehnike,
ostali viri: raziskovalna o Ernstu Machu - bil je rojen v Brnu,
veliko časa je preživel tudi NOVEM MESTU - Slovenija.
Imena nekaterih fizikov, ki so se ukvarjali s problemom časa, hitrosti svetlobe, s koordinatnimi sistemi, mehaniko ...
Italijan Galileo Galilei, Anglež Isac Newton, Faraday, Škot James Clerk Maxwell, Prus Albert A. Michelson ,
E.W. Morley, Irec George Francis Fitzgerald, Irec Joseph Larmor,
Nizozemec Hendrik Antoon Lorentz, Francoz Jules Henri Poincare,
Ernst Mach - Avstrijec - rojen v Brnu, veliko časa je preživel tudi v
Novem mestu, Albert
Einstein.
Henry Poincare ugotavlja:
"Po načelu relativnosti so zakoni fizike za 'mirujočega' opazovalca enaki kot za opazovalca,
ki se glede nanj giblje premo enakomerno in sploh ne moremo imeti možnosti, da bi dognali, ali nas
takšno gibanje nosi s seboj ali ne. Iz vseh teh rezultatov se mora razviti popolnova nova vrsta dinamike,
za katero bo značilna predvsem pravilo, da nobena hitrost ne meore preseči hitrosti svetlobe."
Poincarejevo načelo je do danes
doživelo toliko preizkusov, da ga povsem mirno lahko imenujemo zakon narave.
Irec George Francis Fitzgerald je opazil, da bi izid Michelosovih in Morleyevih poskusov
lahko pojasnili, če bi se vse razdalje v smeri gibanja Zemlje skrčile za faktor
g=1/(1-(v/c)2)1/2


- The Lorentz Contraction
- The Dilation of Time
Galileijeve transformacije
Lorentzove transformacije (že prej jih je izpeljal Irec Joseph Larmor, pogoj - hitrost svetlobe "c" je v vseh opazovalnih sitemih enaka)



The length of the energy-momentum
4-vector is given by

iz: http://hyperphysics.phy-astr.gsu.edu/hbase/relativ/vec4.html#c3
Lorentzov kalkulator.
iz
http://hyperphysics.phy-astr.gsu.edu/hbase/relativ/ltrans.html
Glej tudi: http://mathworld.wolfram.com/LorentzTransformation.html
Introduction to Special Relativity
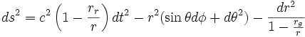
Splošna teorija relativnosti
Splošna teorija relativnosti (ali skrajšano STR) je fizikalna teorija gravitacije, ki jo je leta
1915 razvil in objavil Albert Einstein. Splošna teorija relativnosti razlaga gravitacijsko silo
kot posledico ukrivljenosti prostor-časa.
V splošni teoriji relativnosti je lastni čas funkcija Newtonovega absolutnega časa.
V Schwartzschildovi metriki:

ima na primer časovna spremenljivka vrednosti kot
.
GLEJ TUDI:
http://www.kvarkadabra.net/index.html?/vesolje/teksti/relativnost_splosna.htm


Življenjepisi iz:
http://www-groups.dcs.st-and.ac.uk/~history/Societies/LunarFeatures0.html
The Michelson-Morley Experiment
The Michelson-Morley Experiment. Michael Fowler U. Va. Physics ... Can we detect it?
Detecting the Aether Wind: the Michelson-Morley Experiment. ...
Za astronomski krožek: ZORKO Vičar
E-POŠTA, RFC-822: Zorko.Vicar@guest.arnes.si