Zlátu razmíerje Nej bo n šteuila useh sodátau, k šteuila Kálarjeuih, p pa šteuila Pasaučeuih. Po'r tem je n = k + p. Spartila sta ih pa táčmu furk'lcu:
n/k = (k + p)/k = k/p
Če uaznáčma x = k/p, dabima glih'nga
1 + 1/x = x
ka je prepišema u lípš furm:
x2 - x - 1 = 0
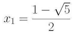
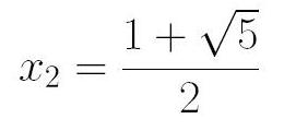
Ana níena rešitu je
![]()
ka tole ni za bena rába, ta druga, ta práua, pa je
Tú pamín, de j Kálar za sebe uabdo'ržau 1,6180339...-kat ueč sodatau, kot ih je prepustu Pasaucu. ![]()
Razmíeri
![]()
prájma zlátu razmíerje. Če níki zdelima na tá uiža, gauarima, de sma tista ríč zdelil u zlátmu rízu.
Duí prekuot'nc u prauilnmu píetkot'nku se met sába síkata u zlátmu rízu.
![]()