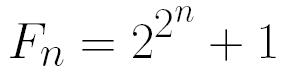
Fermátaua šteuila Francús Píeto'r Fermát (1601-1665) je uakúl líta 1640 níki sautau, de sa šteuila furma
![]()
sáma prašteuila, če not pa uo'rst utoknema n = 0, 1, 2, 3, .... Rís dabima lpú píet prašteuil:
F0 = 3, F1 = 5, F2 = 17, F3 = 257, F4 = 65 537. Po'r F5 = 4 294 967 297 pa ni jemu prou. Líta 1732 ga j Ojler, ka j bi dama ntu Šuic, najdu: F5 = 4 294 967 297 = 641·6700417. Šteuila 4 294 967 297 se dá rascpit n zatú ni prašteuila. Štuosau pa še ni blu kanc. Šele líta 1880 sa trafil, de F6, ka j še bel gramazajnsku šteuila, tud ni prašteuila. Da líta 1905 je blu tríba pačákat, de sa narbel brihtne glauíe spaznále, de tud deuíetntridesetmístnu šteuila F7 ni prašteuila. De j uosnsedndesetmístnu šteuila F8 tut táku, sa zuídl že líta 1908. Šele z nuobl računaunkam sa ih pa zarís rascpil.
S Fermátajm šteuilam je znau Gaus pauídat, kíere prauilne uečkotnike se dá načo'rtat le z raunilam mpa cíerklam. Tut prauiln sedn'najstkotnk je ták, zatú je teu, de ga mu z majzlnam uklíešeje na negou spamenik.