Ogljikovi hidrati
Inulin
Je sestavljen iz fruktoznih enot, podoben je škrobu, najdemo ga v nekaterih rastli nah, npr.dalije. Z dodatkom klorovodikove kisline hidrolizira na monosaharid, katerega lahko dokažemo s Fehling I in II.

Hitin
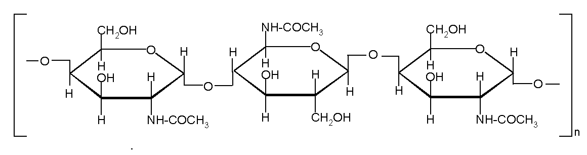
Hitin je oporni polisaharid, zlasti v žuželkah. V žuželkah gradi votle dele, je v obli ki tankih, prosojnih plasti na krilih ali pa v obliki debelih oklepov pri nekaterih hroščih. Razen tega ga najdemo še v gobah, deževnikih, glavonožcih, rakih.le
Šele z rastersko sliko elektronskega mikroskopa je vidna fina, ultrastruktura hitina.
Sestavljen je iz sladkornih enot, N-acetilacetil glukozamina. Rjava barva izhaja iz beljakovine sklerotina.

