Organska barvila
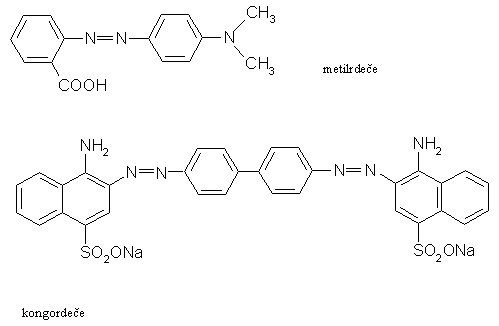
Azo barvila
Vsebujejo značilni kromofor: azo skupino (-N=N-),
konjugirano
z aromatskimi obroči.
Pridobivajo jih iz amino spojin z diazotiranjem. ki mu
sledi vezava intermediata na fenol ali na aromatski amin. Molekule monoazobarvil
vsebujejo eno, diazobarvil po dve, triazobarvil po tri in tetraazobarvil po štiri
azo skupine.

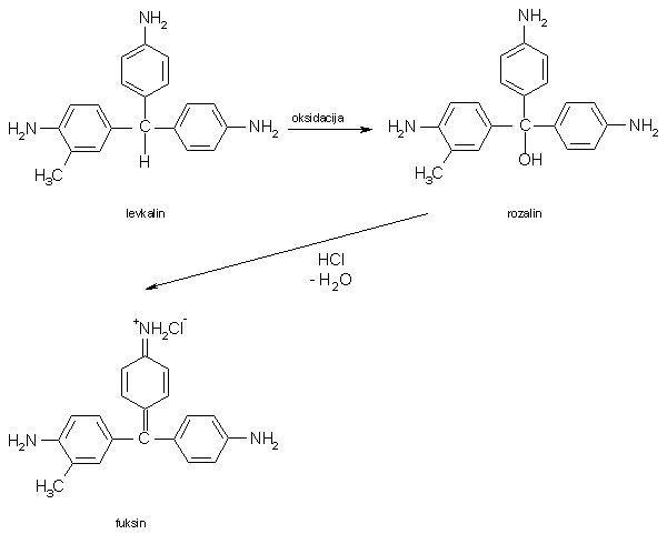
Trifenilmetanska barvila
Levko oblike trifenilmetanskih barvil so amino ali hidroksi derivati trifenilmetana. Z oksidacijo dobimo iz teh oblik brezbarvne baze( pri aminokislinah) ali kisline(pri hidroksilnih spojinah), iz teh pa nastanejo barvila, ko s kislinami tvorijo soli.


Pomembno podskupino tvorijo ftaleini, derivati ftalofenona:

Indigo in indigu podobna barvila(indigoidi)
Indigo je rastlinsko barvilo, najprej so ga pridobivali iz rastlin, ki vsebujejo glikozid indikan. Že od leta 1897 ga pridobivajo v velikih količinah sintezno, je klasično barvilo.
Čisti indigo ima temnomodre kristale, ki imajo bakreni lesk.iz indiga pripravljajo še levkoindigo, ki je uporaben kot modra barva za tkanine. Barva je svetlobno zelo odporna in se ne spere.
Antični purpur je 6,6-dibromindigo.
Rdeči tiondigo vsebuje žveplo namesto kisika.


Nastanejo iz aromatskih aminov in drugih spojin ob taljenju z žveplom ali polisulfidi . Običajno vsebujejo molekule več obročnih sistemov z žveplom ali dušikom.
Porfirinska barvila
So derivati porfirina. Večinoma gre za naravna barvila.
V to skupino sodijo:
Hemoglobin, rdeče krvno barvilo, proteid z barvno komponento hem, ki vsebuje železov ion, ter drugi encimi, ki vsebujejo železove ione.
Kloroplastin, zeleno listno barvilo, proteid z barvno skupino klorofil, ki vsebuje magnezijev ion.
Kobalamin, B12, rubinsko rdeča snov, vsebuje kobaltove ione.
Če se porfirinski obroč odpre, nastanejo žolčna barvila, ki ne vsebujejo kovinskih ionov, npr. oranžno obarvani bilirubin.
Porfirinskim barvilom so zelo sorodna umetna barvila ftalocianini, vsebujejo bakrove ali nikljeve ione. Te pigmente, večinoma so modri ali zeleni, uporabljajo kot svetlobno zelo obstojna barvila za tiskarske in tapetne barve, ter za barvanje polimerov v masi.