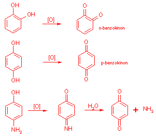
Kinoni

---------------------------------------------------------------------------------------------
Lastnosti:
-kinon je svetlorumena trdna snov s močnim vonjem
-v kemijskih reakcijah se obnaša kot nenasičeni ketoni, vključujoč adicijo
-v reakciji z metanolom dobijo 2,5 dimetoksikinon