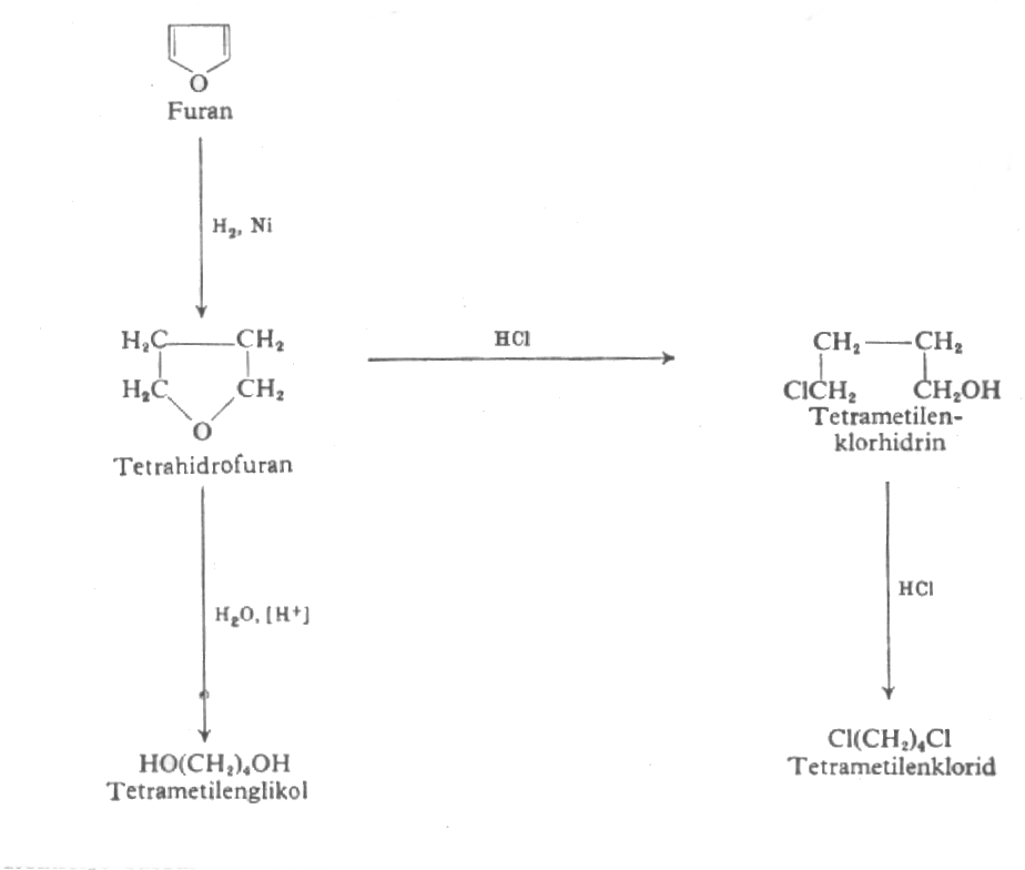
Reakcije furana