Alkeni
So nenasičeni aciklični ogljikovodiki z dvojno vezjo,splošna formula je CnH2n
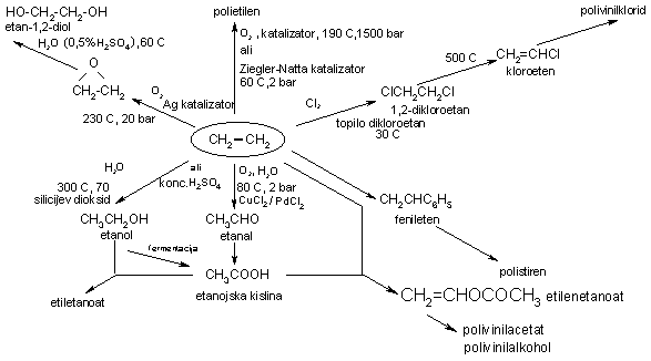
eten CH2=CH2

-brezbarven plin z vonjem po nafti
-je najpomebnejši petrokemijski vmesni produkt

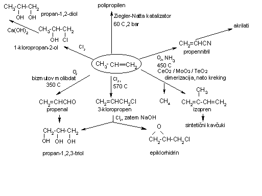
propen CH2=CH-CH3

-plin, zelo pomembna surovina za nadaljno predelavo
1-buten CH2=CH-CH2-CH3

| 1-penten. | CH2=CH-CH2-CH2-CH3 |
| 1-heksen. | CH2=CH-CH2-CH2-CH2-CH3 |
| 1-hepten | CH2=CH-CH2-CH2-CH2-CH2-CH3 |
| 1-okten | CH2=CH-CH2-CH2-CH2-CH2-CH2-CH3 |
Alkadieni
So ogljikovodiki, ki imajo po dve dvojni vezi,splošna formula je CnH2n-2
| 1,3-butadien | CH2=CH-CH=CH2 |
| 1,4-heksadien | CH2=CH-CH2-CH=CH-CH3 |
| 1,5-heksadien | CH2=CH-CH2-CH2-CH=CH2 |