Uporabne povezave


Uporabni programi


Opomba

Za ogled in pravilen prikaz strani priporočamo uporabo brskalnika Firefox, ki si ga lahko snamete na tem naslovu.
Večina datotek bo podana v pdf-formatu, program za ogled datotek tega tipa lahko snamete tukaj.


Graf racionalne funkcije

- naloge v1 (Marta Pliberšek, Jasmina Markež)

 

Primož Riegler, prof., 10. april 2006


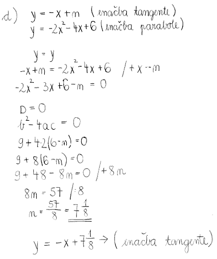
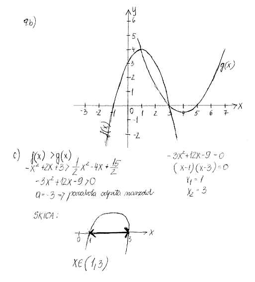
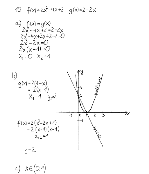
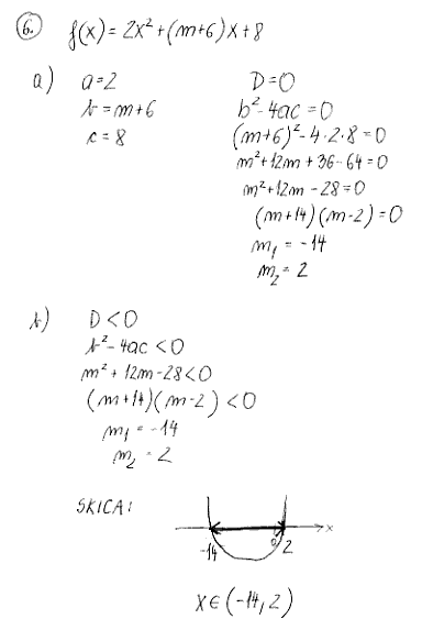
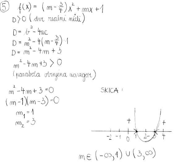
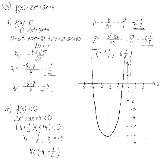
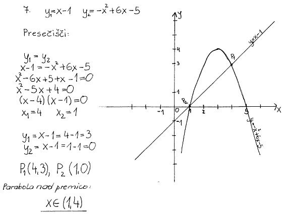
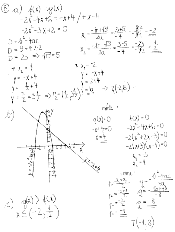
Kvadratna neenačba - rešitve

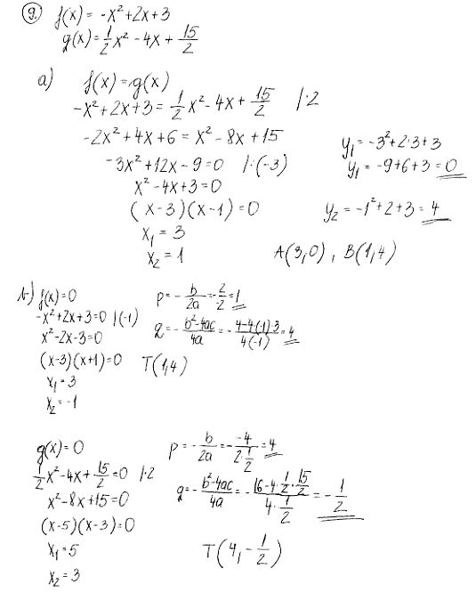
Dijakinje 3.b-oddelka: Jasmina, Marta in Tina, so prispevale rešitve delovnega lista na zgoraj omenjeno temo.

Za ogled posamezne naloge klikni številko (rešitve so shranjene kot slike nizke ločljivosti):


1, 3, 4, 5, 6, 7, 8/a-c, 8/d, 9/a-b, 9/b(graf)-c, 10


V primeru nejasnosti se obrnite na svojega profesorja matematike.


Primož Riegler, prof., 25. januar 2006



Geometrijska telesa. Prizma

Zelo na kratko o geometrijskih telesih, površini in prostornini geometrijskih teles. Nekaj malega tudi o prizmah, z nekaj primeri nalog ... » tukaj

OPOMBA: Dokument je shranjen v pdf-formatu in zaščiten z geslom ;)


Primož Riegler, prof., 25. januar 2006