Iz pomaranče stisnemo 2,1 dl soka.


Potek reševanja:

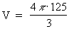
Izračunamo prostornino krogle s polmerom 5 cm:

V » 523,3 cm3

V = 0,523 dm3 = 0,523 l

 

Izračunamo 40% prostornine:

40% od 0,523 l = 0,2092 l

40% od 0,523 l » 2,1 dl

Nazaj