|
V prejšnjem
poglavju smo pogledali predmete, ki se gibljejo s stalno hitrostjo.
Če predmet med svojim gibanjem spreminja hitrost pravimo da pospešuje.
V tem poglavju si bomo pogledali nekaj stvari o pospeških.
Kaj
je pospeševanje?
Povprečni pospešek in trenutni pospešek
Graf hitrost-čas
Opravljena pot in enakomerno pospeševanje
Pospeševanje zaradi gravitacije
Kaj
je pospeševanje?
Ko se hitrost
nekega predmeta spreminja, pravimo da predmet pospešuje. Pospešek
nam pokaže spremembo hitrosti v določenem času. Hitrost se meri
v metrih na sekundo (m/s), pospešek pa se meri v metrih na sekundo
na sekundo (m/s)/s ozirima v m/s^2 in je lahko pozitiven (predmetu
se hitrost povečuje) ali negativen (predmetu se hitrost zmanjšuje).

Povprečni pospešek in trenutni pospešek.
Povprečni pospešek
je razmerje med spremembo hitrosti in pretečenim časom.
Primer: Če avtomobil,
ki stoji na mestu v 5 sekundah dobi hitrost 5m/s je njegov povprečni
pospešek

Trenutni pospešek
pa je pospešek v nekem določenem trenutku.

Graf hitrost-čas
Tangenta (dotikalnica)
grafa hitrost-čas nam pove trenutni pospešek.

.Primer: Trenutni
pospešek na spodnjem grafu, ko je t=3, je 3m/s/s, ker ima graf v
točki t=3 nagib 3.


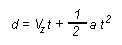
Opravljena pot in enakomerno pospeševanje
Površina pod
grafom hitrost-čas nam predstavlja opravljeno pot. Enačba se tako
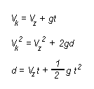
glasi

kjer je Vz začetna hitrost, Vk pa končna, površina trikotnika pa
je 1/2 * višina * dolžina.

Končna hitrost
predmeta, ki pospešuje enakomerno je tako

Opravljeno pot
lahko izračunamo tudi z naslednjo enačbo

Končno hitrost
pa prav tako lahko izračunamo po tejle enačbi


Pospeševanje zaradi gravitacije
Galileo je prvi
ugotovil, da imajo predmeti, ki padajo proti Zemlji enak pospešek
9,80 m/s/s, ne glede na njihovo maso. Gravitacijski pospešek označimo
s črko g, ki ima vrednost 9,80 m/s/s.
Če torej odvržemo
svinčnik, se bo obnašal takole:
| Čas
(s) |
Hitrost
(m/s) |
Opravljena
pot (m) |
| 0 |
0 |
0 |
| 1 |
9,8 |
4,9 |
| 2 |
19,6 |
19,6 |
| 3 |
29,4 |
44,1 |
| 4 |
39,2 |
78,4 |
Tako za vse
prejšnje enačbe a lahko nadomestimo z g


|