|
Fizika v osnovni šoli |
Vsota nevzporednih sil
Kadar na neko telo delujeta dve sili, ki ne delujeta na telo pod istim kotom, določamo pri pouku fizike v osnovni šoli vsoto sil z risanjem.
Dve nevzporedni sili seštejemo tako, da silo, ki jo prištevamo vzporedno prenesemo v konec prve sile. Vsota - rezultanta sil (R) poteka od pričetka prve do konca druge sile.
|
![]()
|
Pri risanju se vedno vprašamo, ali smo risali dovolj natančno, saj že majhna napaka pri risanju lahko privede do velike napake rezultata. Napake so velike pri risanju vzporednic, ko sile prenašamo in najbolj izrazite pri kotih okoli 0 in 180 stopinj.
Rezultate risanja lahko preverimo tudi z izračuni. Enačbe za izračun so za osnovnošolce prezahtevne in presegajo raven njihovega znanja. Z dodatno pomočjo in uporabo sodobnih kalkulatorjev, ki omogočajo zapis enačb ter osebnega iračunalnika pa se lahko naučijo rezultanto tudi izračunati.
Kadar sili oklepata kot ki je manjši in enak 90 stopinjam računamo rezultanto po enačbi
|
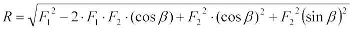
Kadar sili oklepata kot, ki je večji od 90 stopinj in manjši od 181 stopinj računamo rezultanto po enačbi
|
pri čemer je
![]()
Kako izračunate rezultanto sil s pomočjo osebnega računalnika
Za izračun potrebujete program Excel.
Na delovnem listu programa Excel zapolnite celice tako kot prikazuje sledeča slika.

Celice A3, B2 in C3 ostanejo prazne in omogočajo vnos podatkov v enoti Newton in stopinja. V celico D3 pa morate vpisati sledeči enačbi:
1. za izračun rezultante, ko je kot alfa manjši oziroma enak 90 stopinjam vpšemo enačbo
=SQRT(A3*A3+2*A3*B3*COS(RADIANS(C3))+B3*B3) |
2. za izračun rezultante sil, ki oklepata kot od 91 do 180 stopinj pa vpišemo enačbo
| =SQRT(A3*A3-2*A3*B3*COS(RADIANS(180-C3))+B3*B3*COS(RADIANS(180-C3))*COS(RADIANS(180-C3))+B3*B3*SIN(RADIANS(180-C3))*SIN(RADIANS(180-C3))) |
Oznaka A3 predstavlja celico s podatki prve sile, B3 celico s podatki druge sile in C3 celico s podatki o kotu. V celice vpisujemo sam številčne podatke brez oznak enot.