Reši naslednje naloge s hiperbolo. Čeprav so nalogam dodane tudi rešitve, upam, da se jih ne boš prehito poslužil.
 
 

  1. Poišči koordinate temen in gorišč hiperbole .

  2.  

     

    Hiperbola ima realno polos a=12 in imaginarno b=5. Linearna ekscentričnost . Torej velja  in .

  3. Napiši enačbo hiperbole pri kateri
    1. imajo gorišča koordinate , realna polos pa meri 3 enote.
    2. imajo gorišča koordinate , realna polos pa meri 4 enote.


    Velja a=3, e=4. Izračunamo  in dobimo enačbo 
    Ker sta gorišči na ordinarni osi je realna polos b=4, e=5. Izračunamo  in dobimo enačbo 

  4. Napiši enačbo hiperbole, če je razmerje njenih polosi 3:4 in e=15.

  5.  

     

    Pri tej hiperboli velja in . Če rešimo sistem enačb dobimo a=9 in b=12. Enačba se glasi .
    Lahko pa je razmerje tudi b:a=3:4 in v tem primeru dobimo .
     
     
     

  6. Napiši enačbo enakoosne hiperbole, ki poteka skozi točko A(10,-8).

  7.  

     

    Za enakoosno hiperbolo velja a=b. koordinate točke vstavimo v enačbo , izračunamo a=6 in dobimo enačbo .
     


  8. Točki  in  pripadata hiperboli. Napiši njeno enačbo.

  9.  

     

    Vstavimo koordinati obeh točk v enačbo hiperbole in izračunamo  in 

  10. Poišči enačbo asimptot hiperbole, če je njena realna polos 4, razdalja med gorišči pa je 10.

  11. Imamo dve možnosti: realna polos je lahko a ali b. V prvem primeru torej velja a=4 in e=5. Izračunamo b=3 in dobimo asimptoti z enačbo .
    Če pa je realna polos b, se stvari obrnajo in imata asimptoti enačbo 

  12. Določi enačbo hiperbole, če je razdalja med goriščema enako , enačbi asimptot pa sta .

  13.  

     

    Iz podatkov dobimo sistem enačb  in . Ta sistem ima rešitev . Ker ne vemo, katera polos je realna, imamo dve rešitvi 

  14. Točka  leži na hiperboli, točka B(4,3) pa na njeni asimptoti. Določi enačbo hiperbole.

  15.  

     

    Koordinate točke A vstavimo v enačbo hiperbole, koordinate točke B pa v enačbo njene asimptote. Iz slednje lahko izrazimo  in ga vstavimo v enačbo . Dobimo a=8 in b=6 ter enačbo hiperbole 

  16. Določi presečišča asimptote hiperbole  s krožnico, ki ima središče v desnem gorišču te hiperbole in vsebuje koordinatno izhodišče.

  17. Hiperbola ima  in b=2. Njeni asimptoti sta , gorišče F(4,0). Krožnica, ki ima središče v tem gorišču in poteka skozi koordinatno izhodišče, ima r=4. Enačba krožnice je . Če rešimo sitem enačb (enačba krožnice in vsaka od asimptot) dobimo presečišča A(0,0),  in .

  18. Hiperbola vsebuje točko , njena realna polos meri a=4. Napiši enačbo normal, ki potekajo iz levega gorišča hiperbole na njene asimptote.

  19.  

     

    V enačbo hiperbole vstavimo a=4 in koordinati točke A. Izračunamo b=3 in e=5. Asimptoti imata smerna koeficienta in . Smerni koeficient normale je obraten in nasproten in . Določimo torej premici z danima smernima koeficientoma,ki potekata skozi levo gorišče F(-5,0). Rešitvi sta in 

  20. Na hiperboli  določi točke, katerih radij-vektorja (daljici iz točke do gorišč) sta pravokotna.

  21.  

     

    Če naj bo v iskani točki A pravi kot in sta F1 in F2 gorišči, lahko konstruiramo točko A tako F2, da narišemo (pol)krog nad daljico F1F2 (izrek o kotu v polkrogu). Krožnica ima polmer  in enačbo . Ta seče hiperbolo v štirih točkah s koordinatami 

  22. Točka M deli razdaljo med goriščema hiperbole  v razmerju |F1M|:|MF2|=2:3, kjer je F1 levo gorišče hiperbole. Skozi točko M je konstruirana premica z naklonskim kotom 1350 na os x. Določi, kje seče ta premica asimptoti hiperbole.

  23.  

     

    Razdalja med goriščema hiperbole je enaka 2e=10. Točka M mora tojej imeti koordinate M(-1,0). Premica, ki oklepa naklonski kot 1350, ima smerni koeficient k=-1 in enačbo .
    Presečišče te premice z asimptoto  je točka , presečišče z asimptoto  pa je točka B(-4,3).

  24. Hiperbola ima isti gorišči kot elipsa  in asimptoti . Določi njeno enačbo.

  25.  

     

    Pri elipsi velja . Torej e=8, gorišči elipse (in hiperbole) sta . Iz enačbe asimptot dobimo pogoj , iz ekscentričnosti hiperbole pa . Sistem the dveh enačb ima rešitev , b=4. Enačba hiperbole se glasi .

  26. Dana je elipsa . Poišči enačbo hiperbole, ki ima gorišči v temenih, temeni pa v goriščih te elipse.

  27.  

     

    Elipsa ima veliko polos a=4 in ekscentričnost . Za hiperbolo bo torej veljalo ravno obratno realna polos  in ekscentričnost e=4. Izračunamo še imaginrano polos b=9 in zapišemo enačbo hiperbole 

  28. Iz gorišča hiperbole  je konstruirana normala na asimptoto. Izračunaj ploščino lika, ki je omejen s to normalo, asimptoto in abscisno osjo.

  29.  

     

    Ker je hiperbola simetrična, računamo lahko samo v enem gorišču: desno gorišče ima koordinate F(5,0). Asimptota ima enačbo , normala nanjo iz desnega gorišča pa (glej nalogo 10) . Asimptota in normala se sekata v točki . Pomembna je samo ordinata te točke, ki predstavlja višino trijotnika, ki ima za osnovnico razdaljo od koordinatnega izhodišča do gorišča. ploščina tega trikotnika je 18 enot.

  30. Napiši enačbo tangente na hiperbolo
    1. v točki M(x,9).
    2. v točki .


    a) Najprej izračunamo absciso točke M, ki je . V enačbo premice  vstavimo koordinato točke M(11,9) in rešujemo sistem enačb  in . Za neznanko x dobimo kvadratno enačbo . Če naj bo premica tangenta hiperbole, mora imeti enačba eno dvojno rešitev, torej mora biti njena diskriminanta enaka 0. To nas pripelje do rešitve  in tangente z enačbo . Postopek ponovimo še za točko z negativno absciso, kjer dobimo enačbo .
    b) Postopek je isti kot v prvem primeru, le da računamo le v točki z negativno absciso in dobimo rezultat .
    Opomba - če znamo uporabljati odvode, lahko nalogo rešimo z bistveno manj truda.


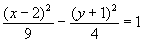
  31. Hiperbola ima enačbo . Določi ji koordinate središča, polosi in gorišča in jo konstruiraj.

  32.  

     

    Preoblikujemo enačbo hiperbole v , nato v  in končno v . Iz te enačbe lahko razberemo, da ima hiperbola središče S(1,2), realno polos a=3 in imaginarno b=2, ekscentričnostin enačbi asimptot . Konstrukcijo pa prepuščam pozornemu reševalcu nalog.

  33. Določi enačbo hiperbole, ki ima gorišči F1(-10,2) in F2(16,2), njena realna polos pa je a=12.

  34.  

     

    Ker je središče natančno na sredini med goriščema, mora imeti koordinate S(3,2), ekscentričnost hiperbole pa je e=13. Izračunamo še imaginarno polos b=5 in že lahko zapišemo enačbo 

  35. Določi polosi, koordinate središča, temen in gorišč ter enačbi asimptot hiperbole z enačbo
     
    Enačbe preoblikujemo (kot v nalogi 17)
    a) 
    b) 
    c) 
    d) , (realna polos je b), 

20. Poišči enačbo hiperbole , ki vsebuje točki M in N, središče pa ima v točki S:
    1. M(1,-1), N(4,2), S(-1,-2)
    2. M(11,9), N(3,3), S(1,2)
    3. M(3,-2), N(7,-6), S(1,-1)
     
    Za p in q seveda vzamemo koordinati središča, nato vstavimo v enačbo koordinate obeh točk in rešimo sistem enačb, da dobimo a in b;

     NAZAJ DOMOV

     
     

    Oskar Jericijo - marec 2000