Enačba linearne funkcije:
f(x) = kx + n
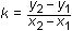
Smerni koeficient lin.f. skozi dve dani točki:

Pogoj vzporednosti:
k2 = k1
Pogoj pravokotnosti:

Tri oblike enačbe premice:
Eksplicitna:
y = kx + n
Implicitna:
ax + by + c =0
Segmentna:

Naklonski kot premice:
tg α = k
Kot med premicama:

Kazalo