Previous Section

Part 1: Observations of Global Properties
Part 2: Homogeneity and Isotropy; Many Distances; Scale Factor
Part 3: Spatial Curvature; Flatness-Oldness; Horizon
Part 4: Inflation; Anisotropy and Inhomogeneity

FAQ | Tutorial : Part 1 | Part 2 | Part 3 | Part 4 | Age | Distances | Bibliography | Relativity

Homogeneity and Isotropy

The Cosmological Principle:

The Universe is Homogeneous and Isotropic

To say the Universe is homogeneous means that any measurable property of the Universe is the same everywhere. This is only approximately true, but it appears to be an excellent approximation when one averages over large regions. Since the age of the Universe is one of the measurable quantities, the homogeneity of the Universe must be defined on a surface of constant proper time since the Big Bang. Time dilation causes the proper time measured by an observer to depend on the velocity of the observer, so we specify that the time variable t in the Hubble law is the proper time since the Big Bang for comoving observers.

Many Distances

With the correct interpretation of the variables, the Hubble law (v = HD) is true for all values of D, even very large ones which give v > c. But one must be careful in interpreting the distance and velocity. The distance in the Hubble law must be defined so that if A and B are two distant galaxies seen by us in the same direction, and A and B are not too far from each other, then the difference in distances from us, D(A)-D(B), is the distance A would measure to B. But this measurement must be made "now" -- so A must measure the distance to B at the same proper time since the Big Bang as we see now. Thus to determine Dnow for a distant galaxy Z we would find a chain of galaxies ABC...XYZ along the path to Z, with each element of the chain close to its neighbors, and then have each galaxy in the chain measure the distance to the next galaxy at time to since the Big Bang. The distance to Z, D(us to Z), is the sum of all these subintervals:

Dnow = D(us to Z) = D(us to A) + D(A to B) + ... D(X to Y) + D(Y to Z)
And the velocity in the Hubble law is just the change of Dnow per unit time. It is close to cz for small redshifts but deviates for large ones. The space-time diagram below repeats the example from Part 1 showing how a change in point-of-view from observer A to observer B leaves the linear velocity vs. distance Hubble law unchanged:
linear v-vs-D
space-time with lightcones

but now showing the lightcones. Note how the lightcones must tip over along with the worldlines of the galaxies, showing that in these cosmological variables the speed of light is c with respect to local comoving observers.

The time and distance used in the Hubble law are not the same as the x and t used in special relativity, and this often leads to confusion. In particular, galaxies that are far enough away from us necessarily have velocities greater than the speed of light:

wide view
The light cones for distant galaxies in the diagram above are tipped over past the vertical, indicating v > c. The
space-time diagram below shows a "zero" (really very low) density cosmological model plotted using the Dnow and t of the Hubble law.
Omega=0 space-time

Worldlines of comoving observers are plotted and decorated with small, schematic lightcones. The red pear-shaped object is our past light cone. Notice that the red curve always has the same slope as the little light cones. In these variables, velocities greater than c are certainly possible, and since the open Universes are spatially infinite, they are actually required. But there is no contradiction with the special relativistic principle that objects do not travel faster than the speed of light, because if we plot exactly the same space-time in the special relativistic x and t coordinates we get:
Omega=0 model in SR coordinates

The grey hyperbolae show the surfaces of constant proper time since the Big Bang. When we flatten these out to make the previous space-time diagram, the worldlines of the galaxies get flatter and giving velocities v = dDnow/dt that are greater than c. But in special relativistic coordinates the velocities are less than c. We also see that our past light cone crosses the worldline of the most distant galaxies at a special relativistic distance x = c*to/2. But the Hubble law distance Dnow, which is measured now, of these most distant galaxies is infinity (in this model). Furthermore, this galaxy with infinite Hubble law distance and hence infinite Hubble law velocity is visible to us, since in this model the observable Universe is the entire Universe. The relationships between the Hubble law distance and velocity (Dnow & v) and the redshift z for the zero density model are given below:
v = HoDnow
Dnow = (c/Ho)ln(1+z)
1+z = exp(v/c)
Note that the redshift-velocity law is not the special relativistic Doppler shift law
1+z = sqrt[(1+v/c)/(1-v/c)]
which only applies to special relativistic coordinates, not to cosmological coordinates.

While the Hubble law distance is in principle measurable, the need for helpers all along the chain of galaxies out to a distant galaxy makes its use quite impractical. Other distances can be defined and measured more easily. One is the angular size distance, defined by

theta = size/DA    so   DA = size/theta
where "size" is the transverse extent of an object and "theta" is the angle (in radians) that it subtends on the sky. For the zero density model, the special relativistic x is equal to the angular size distance, x = DA.

Another important distance indicator is the flux received from an object, and this defines the luminosity distance DL through

Flux = Luminosity/(4*pi*DL2)
A fourth distance is based on the light travel time: Dltt = c*(to-tem). People who say that the greatest distance we can see is c*to are using this distance. But Dltt = c*(to-tem) is not a very useful distance because it is very hard to determine tem, the age of the Universe at the time of emission of the light we see. And finally, the redshift is a very important distance indicator, since astronomers can measure it easily, while the size or luminosity needed to compute DA or DL are always very hard to determine. The redshift is such a useful distance indicator that it is a shame that science journalists conspire to leave it out of stories: they must be taught the "5 w's but no z" rule in journalism school.

The predicted curve relating one distance indicator to another depends on the cosmological model. The plot of redshift vs distance for Type Ia supernovae shown earlier is really a plot of cz vs DL, since fluxes were used to determine the distances of the supernovae. This data clearly rule out models that do not give a linear cz vs DL relation for small cz. Extension of these observations to more distant supernovae have started to allow us to measure the curvature of the cz vs DL relation, and provide more valuable information about the Universe.

The perfect fit of the CMB to a blackbody allows us to determine the DA vs DL relation. Since the CMB is produced at great distance but still looks like a blackbody, a distant blackbody must look like a blackbody (even though the temperature will change due to the redshift). The luminosity of blackbody is

L = 4*pi*R2*sigma*Tem4
where R is the radius, Tem is the temperature of the emitting blackbody, and sigma is the Stephan-Boltzmann constant. If seen at a redshift z, the observed temperature will be
Tobs = Tem/(1+z)
and the flux will be
F = theta2*sigma*Tobs4
where the angular radius is related to the physical radius by
theta = R/DA
Combining these equations gives
DL2 = L/(4*pi*F)
    = (4*pi*R2*sigma*Tem4)/(4*pi*theta2*sigma*Tobs4)
    = DA2*(1+z)4
      or
 DL = DA*(1+z)2
Models that do not predict this relationship between DA and DL, such as the chronometric model or the tired light model, are ruled out by the properties of the CMB.

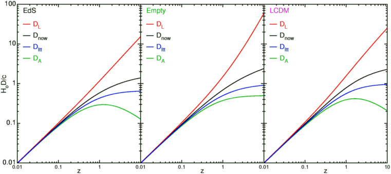
Here is a Javascript calculator that takes Ho, OmegaM, the normalized cosmological constant lambda and the redshift z and then computes all of the these distances. Here are the technical formulae for these distances. The graphs below show these distances vs. redshift for three models: the critical density matter dominated Einstein - de Sitter model (EdS), the empty model, and the accelerating Lambda-CDM model (LCDM) that is the current consensus model.


Note that all the distances are very similar for small distances, with D = cz/Ho, but the different types of distances deviate substantially at large redshifts. Also note that these deviations depend on what kind of Universe we live in. Precise measurements of deviations of DL from cz/Ho are what tell us that the expansion of the Universe is accelerating.

Scale Factor a(t)

Because the velocity or dDnow/dt is strictly proportional to Dnow, the distance between any pair of comoving objects grows by a factor (1+H*dt) during a time interval dt. This means we can write the distance to any comoving observer as

DG(t) = a(t)*DG(to)
where DG(to) is the distance Dnow to galaxy G now, while a(t) is universal scale factor that applies to all comoving objects. From its definition we see that a(to) = 1.

We can compute the dynamics of the Universe by considering an object with distance D(t) = a(t) Do. This distance and the corresponding velocity dD/dt are measured with respect to us at the center of the coordinate system. The gravitational acceleration due to the spherical ball of matter with radius D(t) is g = -G*M/D(t)2 where the mass is M = 4*pi*D(t)3*rho(t)/3. Rho(t) is the density of matter which depends only on the time since the Universe is homogeneous. The mass contained within D(t) is independent of the time since the interior matter has slower expansion velocity while the exterior matter has higher expansion velocity and thus stays outside. The gravitational effect of the external matter vanishes: the gravitational acceleration inside a spherical shell is zero, and all the matter in the Universe with distance from us greater than D(t) can be represented as union of spherical shells. With a constant mass interior to D(t) producing the acceleration of the edge, the problem reduces to the problem of a body moving radially in the gravitational field of a point mass. If the velocity is less than the escape velocity, the expansion will stop and recollapse. If the velocity equals the escape velocity we have the critical case. This gives

v = H*D = v(esc) = sqrt(2*G*M/D)
    H2*D2 = 2*G*(4*pi/3)*rho*D2  or

rho(crit) = 3*H2/(8*pi*G)
For rho less than or equal to the critical density rho(crit), the Universe expands forever, while for rho greater than rho(crit), the Universe will eventually stop expanding and recollapse. The value of rho(crit) for Ho = 71 km/sec/Mpc is 9E-30 = 9*10-30 gm/cc or 6 protons per cubic meter or 1.4E11 = 1.4*1011 solar masses per cubic Megaparsec. The latter can be compared to the observed 1.85E8 = 1.85*108 solar luminosities per Mpc3, requiring a mass-to-light ratio of 760 in solar units to close the Universe. If the density is anywhere close to critical most of the matter must be too dark to be observed. Current density estimates suggest that the matter density is between 0.2 to 1 times the critical density, and this does require that most of the matter in the Universe is dark.

Next Section

Ned Wright's home page

FAQ | Tutorial : Part 1 | Part 2 | Part 3 | Part 4 | Age | Distances | Bibliography | Relativity

© 1996-2009 Edward L. Wright. Last modified 12 Jun 2009