Polmer stožca meri 5 cm.


Potek reševanja:

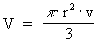
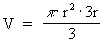
V = p . r3

r3 = 125

r = 5 cm

Nazaj