Prvi stožec ima večji polmer.


Potek reševanja:

 Prvi stožec:

s = 1,5 cm, dolžina loka pa je enaka obsegu osnovne ploskve:

1,75p = 2p .r

 

Drugi stožec:

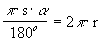
s = 1 cm, dolžina loka pa je enaka obsegu osnovne ploskve:

 

 

Primerjajmo oba polmera po velikosti:

  in

Polmer prvega stožca je večji od polmera drugega stožca.

Nazaj