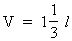
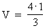
V pravilno 4-strano piramido lahko zlijemo 1 liter vode.


Potek reševanja:

Ker je prostornina piramide večja od 1 litra, vanjo lahko zlijemo liter vode.

Nazaj