Odstruženi del predstavlja 47,7% prostornine kocke.


Potek reševanja:

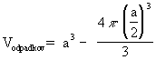
Polmer krogle je .

Prostornino odpadkov dobimo, če od prostornine kocke odštejemo prostornino krogle:

Vodpadkov » 47,66 a3

 

Odpadki predstavljajo celotne prostornine kocke.

To je: 47,7%.

Nazaj