Z juho bomo napolnili skoraj 24 zajemalk polkrožne oblike.


Potek reševanja:

  1. Izračunamo prostornino juhe v valjastem loncu:
  2. Vvalja = p .r2 .v

    Vvalja = p .100 . 10

    Vvalja = 1000 p cm3

     

  3. Izračunamo prostornino polkrožne zajemalke:
  4.  

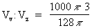
  5. Število zajemalk dobimo, če delimo obe prostornini:

Vv : Vz = 23,4

 

Z juho bomo napolnili 23,4 zajemalk.

Nazaj