- Vstavi ustrezne besede, da bodo izjave pravilne
:
Krogla ima eno mejno ploskev, ki jo imenujemo sfera ali .
Osni presek krogle je .
Najdaljša daljica v krogli je krogle.
- Krogla nastane z vrtenjem polkroga okrog osi, kot kaže slika
:
|

|
|
- a) Površino krogle izračunamo po obrazcu:
|
a) P = 3p .r2 |
b) P = 4p .r2 |
c) P = 6p .r2 |
Pravilni odgovor je .
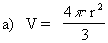
b) Prostornino krogle izračunamo po obrazcu:
|

|
b) V = p .r3 |

|
Pravilni odgovor je
- Površina krogle s polmerom 10 cm meri
p cm2.
- Žog
ica za tenis ima premer 6 cm. Njena površina meri p cm2.
- Prostornina krogle s polmerom 6 cm meri p cm3.
Odgovarjal si na 9 vprašanj. Pravilnih je
odgovorov.
Vzemi list ali zvezek in reši še malce daljšo nalogo:
- Polmer Zemlje meri približno 6400 km. Kolikšna je njena
površina?
Rešitev
Nadaljeval bom s srednje zahtevnimi nalogami.
Vračam se na stran
KROGLA.