Kombinatorika
Pravilo vsote:
Če imamo na voljo
m možnosti iz prve skupine in
n možnosti iz druge skupine,
izbrati pa želimo točno eno možnost iz prve
ali iz druge skupine, potem imamo na izbiro
skupno
m + n možnosti.
Pravilo produkta ali
Osnovni izrek kombinatorike:
Če imamo na voljo
m možnosti iz prve skupine in
n možnosti iz druge skupine,
izbrati pa želimo eno možnost iz prve
in hkrati eno iz druge skupine, potem imamo na izbiro
skupno
m n možnosti.
Permutacije
Permutacije so razporeditve danih
n elementov na
n prostih mest.
Če so vsi elementi med seboj različni, so to
permutacije brez ponavljanja.
Število permutacij brez ponavljanja izračunamo po formuli:
Pn =
n (
n - 1) · · · 3 · 2 · 1
V formuli nastopa računska operacija »zmnoži vsa naravna števila od 1 do
n«.
To računsko operacijo imenujemo
faktoriela ali
fakulteta in jo označimo
n !
Torej:
n ! =
n (
n - 1) · · · 3 · 2 · 1
oziroma
Pn =
n !
(Opomba: Zaradi računskih razlogov definiramo faktorielo tudi za število 0 in sicer
0
! = 1.)
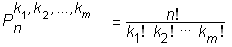
Permutacije s ponavljanjem so permutacije elementov, ki niso vsi med sabo različni.
Pri tem lahko nastopa celo več skupin med sabo enakih elementov. Recimo, da je v prvi taki skupini
k1 enakih elementov, v drugi
k2 enakih elementov, ...,
v
m-ti pa
km enakih elementov. Potem število permutacij s ponavljanjem
izračunamo po formuli:
Variacije
Variacije brez ponavljanja so razporeditve
n različnih elementov na
r prostih mest.
Pri tem je
r <
n, zato ostane nekaj elementov nerazporejenih.
Število variacij brez ponavljanja izračunamo po formuli:
Variacije s ponavljanjem so razporeditve, pri katerih poskušamo na
r prostih mest razporediti
elemente
n različnih vrst. Pri tem se lahko element določene vrste v razporeditvi pojavi poljubno mnogokrat.
Število variacij s ponavljanjem izračunamo po formuli:
Kombinacije
Če pri variacijah zanemarimo vrstni red in opazujemo samo, kateri elementi so izbrani, dobimo
kombinacije.
Kombinacije brez ponavljanja so izbire
r (različnih) elementov izmed
n različnih elementov,
ki so na voljo.
Število kombinacij brez ponavljanja izračunamo po formuli:

Izraz, ki nastopa na desni strani zgornje formule, lahko označimo tudi z
binomskim simbolom:
Kombinacije s ponavljanjem dobimo, če pri variacijah s ponavljanjem zanemarimo vrstni red. To so torej izbire,
kjer izbiramo
r elementov izmed
n, vendar pa lahko isti element izberemo tudi večkrat (poljubno
mnogokrat).
Število kombinacij s ponavljanjem izračunamo po formuli: