Kompleksna števila
V množici realnih števil ne moremo rešiti enačbe:
x2 = −1.
Če je
x pozitiven ali enak 0, rezultat kvadriranja ne more biti negativen. Če je
x negativen, pa predznak pri kvadriranju odpade in rezultat kvadriranja spet ne more
biti negativen. Tako vidimo, da leva stran ne more biti enaka desni niti za pozitiven
x niti
za negativen
x niti za
x = 0.
Če dopustimo možnost, da rešitev zgornje enačbe vseeno obstaja, ta rešitev nikakor ne more biti niti
pozitivna niti negativna niti enaka 0. Odločimo se, da rešitev zgornje enačbe označimo z oznako
i. To število imenujmo
imaginarna enota. Ker število
i ne more biti niti pozitivno niti negativno niti enako 0, vidimo, da
i sploh ne more biti
realno število.
Očitno ima zgornja enačba še eno rešitev, namreč
−i. Tudi število
−i ne more
biti realno število.
Če nadaljujemo z računanjem, dobimo še več števil, ki niso elementi množice

, npr.:
i + i = 2
i,
2
i + 3
i = 5
i ...
Vsa dobljena števila imajo obliko
bi
(za
b ∈

). Imenujemo jih
imaginarna števila.
Poskusimo tako število sešteti z običajnim realnim številom
a.
Dobljeni rezultat je število sestavljeno iz dveh delov: realnega in imaginarnega. Zapišemo ga kot vsoto:
a +
bi.
Taka števila imenujemo
kompleksna števila.
Množico kompleksnih števil označimo s

. Torej je:

= {
a +
bi;
a, b ∈

}
Poljubno kompleksno število
z lahko torej zapišemo v obliki:
z =
a +
bi
(
a, b ∈

).
Realno število
a, ki nastopa v tem zapisu, imenujemo
realna komponenta števila
z in to zapišemo:
Re
z =
a.
Realno število
b, ki nastopa v tem zapisu, imenujemo
imaginarna komponenta števila
z in to zapišemo:
Im
z =
b.
Če je imaginarna komponenta števila
z enaka 0, ima število
z samo realno komponento. V tem primeru je
število
z realno število. To pomeni, da realna števila razumemo kot podmnožico množice kompleksnih števil:

⊂
Geometrijska upodobitev kompleksnih števil
Realna števila smo upodobili na
realni osi. Ker realna števila realno os
popolnoma pokrijejo, je jasno, da kompleksnih števil ne moremo upodobiti na številski premici.
Za upodobitev kompleksnih števil potrebujemo ravnino z ustreznim koordinatnim sistemom. Na vodoravno os
(ki predstavlja realno os) nanašamo realna števila, na navpično os (ki jo imenujemo tudi imaginarna os)
pa nanašamo imaginarna števila.
Kompleksno število
a +
bi upodobimo s točko, ki ima koordinati
T(
a,
b).

Upodobitev kompleksnih števil s točkami ravnine je povratno enolična, torej: vsakemu kompleksnemu številu
pripada točno ena točka ravnine in vsaki točki ravnine pripada točno eno kompleksno število.
Ravnina je v tem smislu enakovredna množici kompleksnih števil, zato tako ravnino imenujemo tudi
kompleksna ravnina (oziroma po odkritelju tudi
Gaußova ravnina).
Včasih uporabljamo tudi geometrijsko upodobitev kompleksnih števil z ravninskimi
vektorji. Pri tem kompleksno število
a +
bi
upodobimo kot vektor, ki poteka od izhodišča do točke
T(
a,
b) (tj. krajevni
vektor točke
T(
a,
b)).
Računanje s kompleksnimi števili
-
Dve kompleksni števili seštejemo (oziroma odštejemo) tako, da med sabo seštejemo (odštejemo)
obe realni komponenti in potem še obe imaginarni komponenti. Torej:
(a + bi) + (c + di) =
(a+c) + (b+d)i
(a + bi) − (c + di) =
(a−c) + (b−d)i
Seštevanje kompleksnih števil geometrijsko ustreza seštevanju ustreznih krajevnih vektorjev: Če seštejemo
krajevna vektorja števil z in w, dobimo ravno krajevni vektor vsote z + w.
-
Dve kompleksni števili zmnožimo tako, da upoštevamo distributivnostni zakon (pomnožimo vsak člen prvega
oklepaja z vsakim členom drugega oklepaja) in pravilo
i 2 = −1.
Zgled:
(2 + 3i)(4 + 5i) =
8 + 10i + 12i + 15i 2 =
8 + 22i − 15 = −7 + 22i
Splošno:
(a + bi)(c + di) =
(ac − bd) + (ad+bc)i
-
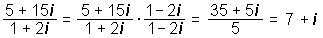
Pri deljenju kompleksnih števil si pomagamo tako, da deljenje zapišemo v obliki ulomka in potem
števec in imenovalec pomnožimo s konjugirano vrednostjo imenovalca.
Zgled:

-
Konjugirano vrednost kompleksnega števila a + bi dobimo tako, da spremenimo
predznak pri imaginarnem delu.
Konjugirana vrednost števila z = a + bi je torej
število

Za konjugiranje veljajo naslednje zakonitosti:

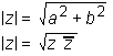
Absolutna vrednost kompleksnega števila
Absolutna vrednost kompleksnega števila
z je oddaljenost točke, ki predstavlja to število
v kompleksni ravnini, od izhodišča koordinatnega sistema. To je hkrati tudi dolžina krajevnega vektorja,
ki ponazarja to število v kompleksni ravnini.

Absolutno vrednost kompleksnega števila
z =
a +
bi
izračunamo po naslednjih dveh formulah:

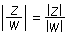
Za absolutno vrednost kompleksnega števila veljata naslednji dve lastnosti:
|
z w| = |
z| |
w|