Temperatura tal - enačba letnega hoda na različnih globinah
Interactive Average Soil Temperature Calculator.
Enaka aplikacija, a brez grafa.
|
Enaka aplikacija, z grafom (brez vh. podatkov).
Kalkulator ocene zemeljskih temperatur je izdelal 19. nov. 2012:
Vičar Zorko
Spodaj je nekaj splošne teorije in konstant glede zemeljskih temperatur!
Kasudova odvisnost temperature v globini zemlje (Z) v odvisnosti od letnega časa (t) je iz vira:
Kasuda, T., and Archenbach, P.R. 1965. Earth Temperature and Thermal Diffusivity at
Selected Stations in the United States, ASHRAE Transactions, Vol. 71, Part 1.
-----------------------------------------------------------------
Legenda:
---------
- T - temperatura tal v določeni globini [°C]
Tmean - povprečna letna temperatura zraka [°C]
- Z - globina od površine tal [m]
- alfa - toplotna difuznost tal [m^2/dan drugače m^2/s],
- tyear - je dan v letu (od 1 do 365 dni),
- tshift - je število dni od začetka leta do minimuma letne temperature (okrog 40 dni)
- Tamp = (Tmo_max – Tmo_min)/2 -
kjer je Tmo_max maksimalna temperatura (mesečna povprečna vrednost maksimumov, večinoma za avgust)
in
Tmo_min je minimalna temperatura (mesečna povprečna vrednost minimumov, večinoma za februar),
najbolje je umeriti mejne vrednosti z meritvami.
Alfa je razmerje med toplotno prevodnostjo zemlje in "toplotno kapaciteto - v bistvu kapaciteto na volumen"
(s produktom specifične toplote Cp in gostote snovi ro)
- enota za alfa je [m^2/s].
Toplotna (termična) difuzivnost
snovi pove, kako hitro se prenaša
toplota po določenem materialu (časovna odzivnost).
SLEDI PRIBLIŽNA POT DO KASUDOVE ENAČBE IN NEKAJ MERITEV
V splošnem velja, da se temperatura tal z globino spreminja,
(sprememba) temperaturni gradient je odvisen
od sestave tal, časovni ritem pa daje seveda energija Sonca - višina Sonca,
ki tudi določa letne čase.
Tako lahko pričakujemo sinusni časovni ritem in eksponentno odvisnot
temperature v odvisnosti od globine (difuzija).
V resnici so
realne razmere bolj zapletene, to kaže zgornja slika različnih vplivov
na stanje tal in v globini.
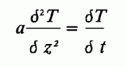
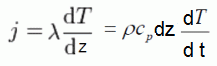
Kasudova enačba je v bistvu rešitev Fourierove diferencialne
enačbe toplotne prevodnosti.
V grobem velja, da je gostota toplotnega toka skozi površino S zaradi prevajanja P/S = j = lam*dT/dz
enaka pretočeni
gostoti toplote dQ/(S*dt) = dm*Cp*dT/(S*dt) skozi volumen dV= S*dz zemlje (opazujemo prispevke
tankih plasti dz). To je toplotno ravnovesje
- sevanje smo zanemarili, predpostavili smo, da ni toplotnih izvirov,
in da je v tleh najpomebnejše prevajanje po globini z, ...
(glej poenostavljeno sliko zgoraj - prikaz na nivoju molekul, termično nihanje).
Če torej zelo poenostavimo, velja:
dm*Cp*dT/(S*dt) = dm*dz*Cp*dT/(S*dz*dt) = (dm/dV)*dz*Cp*dT/dt,
od koder sledi:
Toplotni tok v smeri z (skozi presek S) da
končno obliko Fourierove diferencialne enačbe:
- kjer je
.
Resšitev je že zgoraj zapisana Kasudova enačba:
Tabela toplotne difuzivnosti (alfa) za različne vrste tal in vplivno območje - globina z.
| Toplotna | Toplotna | Cikel | Cikel |
| difuzivnost | difuzivnost | dnevno | letno |
| cm^2/s | m^2/dan | vpliv_do_z[m] | vpliv_do_z[m] |
| Skale, kamen | 0.02 | 0.1728 | 1.1 | 20.5 |
| Suhi pesek | 0.001 | 0.00864 | 0.3 | 4.5 |
| Mokri pesek | 0.01 | 0.0864 | 0.8 | 14.5 |
| Suha glina | 0.002 | 0.01728 | 0.4 | 6.5 |
| Mokra glina | 0.015 | 0.1296 | 0.95 | 18 |
alfa
0.0864 Mokri pesek
0.01728 Suha glina
--------------------
0.05184 - mešanica gline in peska (ocena za NM)


Potek temperature v globini tal.
Temperatura tal v globini okrog 10 m (velja za naše kraje) je kar približno
enaka
povprečni letni temperaturi.
Primer simulacije povprečnih dnevnih temperatur za Novo mesto.

Graf zemeljskih temperatur T(z,t) na različnih globinah
dobljen iz Kasudove enačbe -
oglej si excel izračune ter grafe, tudi tabele z meritvami v NM.
|
alfa_m*m/dan | T_zra_pov | T_amplituda | t_dan_minimuma |
| 0.056 | 11 | 15 | 50 |
Po enačbi:
T(z,t) = T_zra_pov - T_amplituda*exp(-z*(3.14159/(365*alfa))^0.5)*cos((2*3.14159/365)*(t_dan_v_letu - t_dan_minimuma -(z/2)*(365/(3.14159*alfa))^0.5))
Spodaj je graf realnih meritev zemeljskih temperatur za Novo mesto.

Graf zemeljskih temperatur za leto 2009 - realne meritve,
meteorološka postaja Novo mesto.

Graf zemeljskih temperatur za 39 let na globini enega metra - Novo mesto.
Merilno mesto Ljubljana, postavitev termometrov
- meritev zemeljskih temperatur
(globine: 2cm, 5cm, 10cm, 20cm, 30cm, 50cm, 100cm).
Meteorološka postaja Ljubljana - 19. november 2012.
Foto: Vičar Zorko
Dodatek - vir UNI-LJ

Pedološka karta Slovenije - sestava.

Pedološka karta Slovenije - povprečna globina tal.

Poljska kapaciteta tal (v mm za 1m tal) - EPK.

Pedološka karta Slovenije - kvaliteta tal (lahka, težka ilovnata, pesek, itn.).
Vir:
http://stari.bf.uni-lj.si/cpvo/Novo/SF_PodatkiTalSlovenije.htm
Stara verzija kalkulatorja.
Povzel: ZORKO Vičar
Komentarji so zaželjeni.
E-POŠTA, RFC-822: Zorko.Vicar@guest.arnes.si
Nazaj na domačo stran.