The Lorentz Factor Calculator

Lorentzov člen (kalkulator) - The Lorentz Factor Calculator

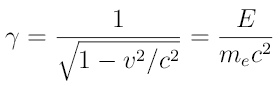
Lorentzov člen gama (γ) se zapiše kot:

Vnesi hitrost sistema, delca v [m/s] ali vrednost za Lorentzov člen in za izračun klikni na ali na .
Za hitrost C = je privzeta vrednost C = 299792458 m/s, a v levo polje lahko napišete vrednost 1 in podate hitrost v deležu svet. hitrosti, recimo β = v/c = 0.9 (ali recimo 100 in za v/c = 90 ...).
v = [m/s] ali delež β=v/C GAMA (γ) =
Delež hitrosti svetlobe v/c =

Naj bo v < 299792458 [m/s] (manj kot hitrost svetlobe c = 299792458 m/s, večinoma vrednost zaokrožimo na 300000000 m/s)!


Lorentzov člen γ se bistveno poveča, razlikuje od 1, pri hitrostih 1/3 svetlobne in več. Pri hitrosti 0.9 svetlobne, doseže gama vrednost približno 2.3 in od tukaj naprej z večanjem hitrosti Lorentzov člen strmo narašča. To pomeni, da se pri pospeševalnikih (recimo elektronov) dokaj hitro približamo 90 % svetlobne hitrosti, a od tukaj naprej se mora vložiti ogromno energije, da se (recimo samo na kak promil) približamo svetlobni hitrosti. Od tod tudi veliki stroški pri gradnji pospeševalnikov. Polna energija delca je namreč sorazmerna s členom gama (E = mγc2). Zgolj kinetična energija pa je: Ek = mc2(γ - 1).
Glej spodnji graf.

http://www.physics.princeton.edu/~mcdonald/examples/lep.pdf
Primera
A) V pospeševalniku "Large Electron–Positron Collider (LEP)" v Cernu so leta 1989 za Lorentzov faktor gama dosegli vrednost že kar γ = 88000 (E = mγc2 = 45 GeV vložene energije deljene z mirovno maso elektrona m*c2 = 511 keV). To pomeni, da so elektrone pospešili do izjemnih hitrosti:
v = 0.9999...*c, čisto blizu svetlobne. Pozneje so šli celo do energij 100 Gev.

B) Nadgradnja pospeševalnika v Cernu.
V pospeševalniku LHC (Large Hadron Collider - prvi zagon leta 2008, v letu 2012 so potrdili Higgsovih bozonov) pa vsak proton doseže energijo kar Ek = 7 TeV = 7 1012 eV (seveda se načrtuje tudi višje energije). Protoni potujejo v nasprotnih smereh in v določenih točkah se curka iz obeh tunelov križata - trčita (animacija spodaj) - in tako se pri trkih sprosti ogromno energije, delcev, katerih potrditev iščemo - prvi cilj je bil seveda tudi Higgsovih bozonov.


Masa protona je precej večja od mase elektrona in je produkt mase in kvadrata svetlobne hitrosti kar: mc2 = 9,383·10-4 TeV. Vrednost Lorentzovega člena je, kljub precej večji energiji, zato manjša. Sledi izračun.
γ = Ek/(mc2) = 7 TeV/9,383·10-4 TeV = 7460
Hitrosti protonov pa so še zmeraj zelo visoke v = 0,999999991·c, tako praktično velja: v ≈ c.

Da ustvarimo tako izjemno centripetalno silo, skrbi 1232 magnetnih dipolov nameščenih v osmih lokih. Vsak dipol ima magnetno delovanje na dolžini 14,3 m, kar da skupno dolžino:
1232 × 14,3 = 17618 m
Tako bolj natančno določimo t. i. polmer ukrivljenosti ("bending radius"): Rb =17618m/(2π)
Rb = 2804 m
Zakaj je bolje pospeševati protone, kot elektrone? Odgovor podajo spodnje enačbe (Larmorjeva formula o sevanju pospešenega električnega naboja).

Pri elektronih, ker so lahki, sicer hitreje dosežemo visoke hitrosti. A vsako krožno gibanje je hkrati pospešeno gibanje in naboji tako med kroženjem sevajo - to pa pomeni izgube, ki jih je potrebno nadomestiti. Zgornja enačba kaže, da je moč sevanja sorazmerna z γ4 in tako je sevanje elektronov 1013 večje od krožečih protonov. ρ je polmer kroženja.
Za elektrone so zato bolj primerni linearni pospeševalniki.

http://www.lhc-closer.es/taking_a_closer_look_at_lhc/0.relativity


Relativnost je nadgradnja klasične mehanike - glej: relativnost_in_vesolje_nekaj_primerov_03.pdf
ali stran
Zakaj astronomija - in zakaj tudi v šoli? (XIII)


Lorentzov faktor (člen γ) je funkcija hitrosti. Začne se z 1 in se približa neskončnosti, ko se bližamo hitrosti svetlobe c. Noben masni delec ne more doseči svetlobne hitrosti.
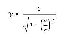
Lorentzov člen γ se zapiše kot:




Nazaj na HTML ukaze.
Nazaj na Internet in HTML navodila.

ZV