uvod     zbiralne leče     razpršilne leče     optični instrumenti     naloge    

6. naloga

Iz dveh enakih tankih leč (vsaka ima goriščno razdaljo 1,5 cm) sestavimo preprost mikroskop; leči sta razmaknjeni 20 cm. Kolikšna je povečava tega mikroskopa za normalno oko? Kam moramo postaviti predmet, da vidimo skozi okular njegovo povečano sliko?


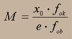
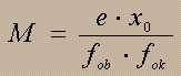
Označi pravo enačbo za izračun povečave mikroskopa!
a)
b)
c)
d)

S pravilno enačbo dobimo, da je povečava mikroslopa 189.


Sliko, ki jo daje mikroskop, moramo videti x0 pred okularjem. Vstavi v pravi vnosni vrstici podatka, ki bosta dala položaj "predmeta" pred okularjem.
(Objektiv ustvari realno in obrnjeno sliko, ki je "predmet" za okular.)
cm
cm
cm



V nadaljevanju je potrebno določiti položaj predmeta glede na objektiv.

Goriščna razdalja objektiva je znana tako, kot je tudi znan položaj slike objektiva (izračunan pri prejšnjem delu naloge).

Spet je potrebno uporabiti enačbo leče.

cm
cm
cm


uvod     zbiralne leče     razpršilne leče     optični instrumenti     naloge